Submitted:
09 July 2024
Posted:
10 July 2024
You are already at the latest version
Abstract
Keywords:
1. Introduction
2. Study Area
3. Computational Model and Method
3.1. Computational Model
3.2. Parameter and Constitutive Model
3.3. Boundary Condition and Layout of Monitoring Points
3.4. Ground Vibration Synthesis and Input
3.5. Design of Computational Scenarios
4. Results and Discussions
4.1. Analysis of Long-Term Creep Response of Slope before Earthquake
4.1.1. Stress Field
4.1.2. Displacement Field
4.2. Analysis of Long-Term Creep Response of Slope under Seismic Action
4.2.1. Stress Field
4.2.2. Displacement Field
4.2.3. Dynamic Response of Acceleration
5. Conclusions
- (1)
- The combined actions of creep and earthquake increase the risk of slope instability. The increase in amplitudes leads to a looser and more broken rock structure and the overall stress value shows a decreasing trend. Especially, the maximum principal stress is reduced by 12.6% relative to the natural working condition. The shear strength is reduced and the risk of slope instability exists. Tensile and compressive stress are observed at the monitoring points on the slope surface, and all monitoring points in the slope are under compressive stress, making the slope surface more unstable compared to the interior of the slope. The cataclastic rock areas located on the slope face show a combination of compressive and tensile conditions, with large tensile stress in the middle of the slope surface and at the slope shoulder, which could potentially cause destructive deformation if further impacts are caused by unfavorable external factors.
- (2)
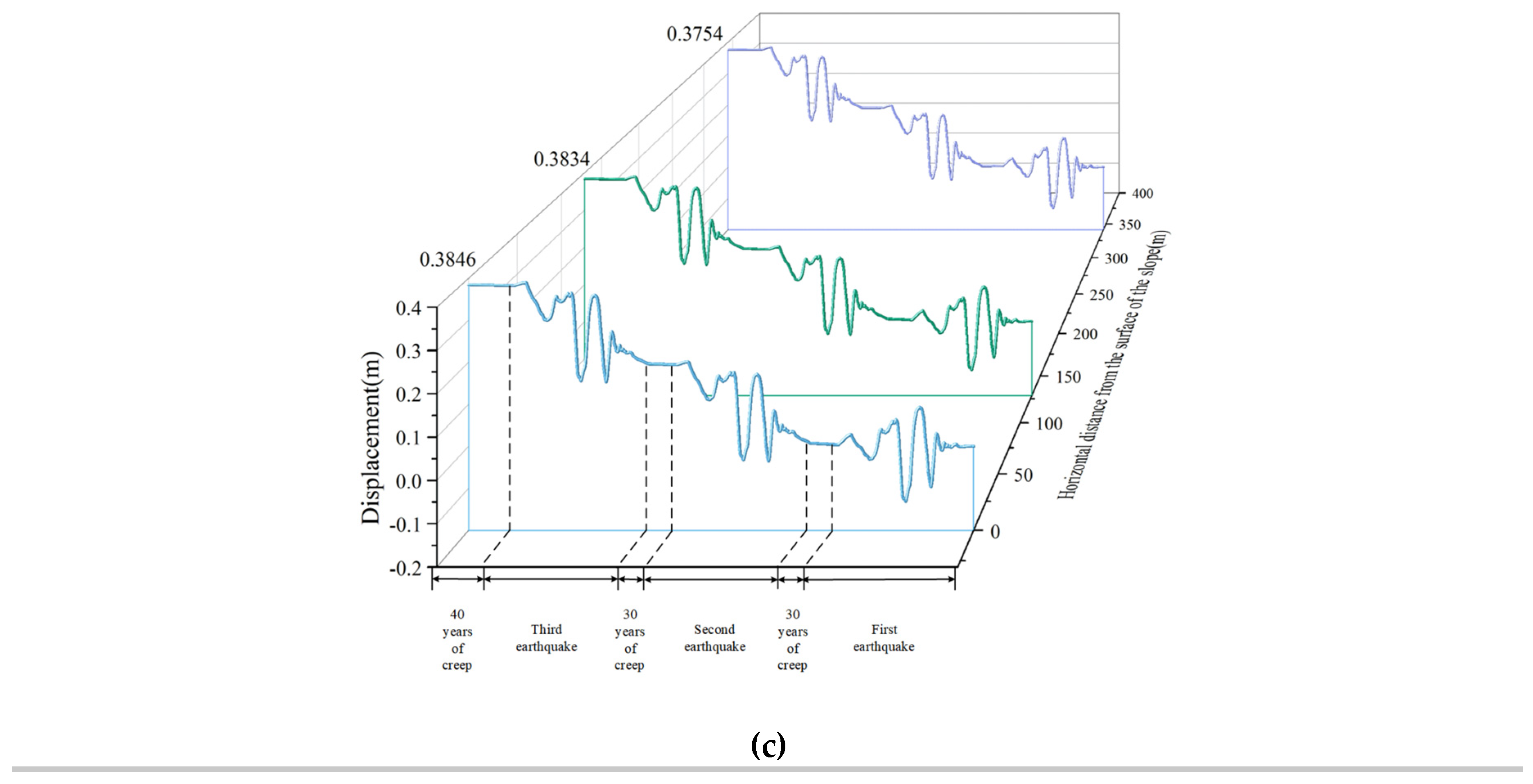
- With the continuous actions of earthquake and creep, when the amplitude increases, the overall displacement tends to increase, and the change curve is rhythmic, reaching the maximum at the top of the slope. It shows the elevation effect and surface-trend effect. Displacement is distributed in a stepwise manner, mainly in the slope shoulder, the shallow surface part of the slope, and at the top of the slope. Earthquakes and creep effects have the greatest impact on the upper and middle parts of the slope which are often places where cumulative damage and crack development begin. Earthquakes promote the development of creep. As the amplitude increases, the 100-year creep displacement tends to increase, and earthquakes have the greatest effect on the area of the middle of the slope surface. Multiple earthquakes coupled with the effects of creep have resulted in the accumulation of damage on the slope surface and in the slope, which could result in widespread landslides and damage in the future if further adverse external influences occur.
- (3)
- In the process of seismic wave propagation upward, the slope presents a delay effect due to inertia. The bigger the slope height is, the more obvious the delay effect is.
- (4)
- The nonlinear height amplification and wave characteristics are obvious in both horizontal and vertical directions. The acceleration response of seismic waves on the slope surface shows a trend of increasing, decreasing and then increasing with elevations, reaching a peak at the top of the slope. The upper part and the middle part of the slope surface have a larger increment and the seismic response is stronger. The ground motion response on the slope surface is obviously stronger than that in the slope. Therefore, it’s necessary to reinforce the middle and top of the slope surface to reduce the risk of instability. Vertical earthquake has a great effect on the dynamic response of the slope. Because of the resonance phenomenon of the slope, the MPGA of the vertical direction is obviously larger than that of the horizontal direction. The MPGA decreases with the increase of amplitudes. The occurrence of this phenomenon may be closely related to the nonlinear and damping characteristics of the rock slope and the frequency of seismic waves.
Author Contributions
Funding
Data Availability Statement
Conflicts of Interest
References
- Zhang, H.; Zhao, H.; Zhang, X.; Wang, T.; Li, H.; Wang, Y. Creep characteristics and model of key unit rock in slope potential slip surface. Int J Geomech. 2019, 19, 04019094. [CrossRef]
- Dong, J.; Li, L.; Mao, Q.; Zhao, J.; Wu, Q.; Xie, F. Prediction of long-term creep features of a supported expressway slope (Publication with Expression of Concern). Arabian Journal of Geosciences. 2020, 13, 1-11. [CrossRef]
- Li, A.; Deng, H.; Zhang, H.; Jiang, M.; Liu, H.; Xiao, Y.; Wen, J. Developing a two-step improved damage creep constitutive model based on soft rock saturation-loss cycle triaxial creep test. Natural Hazards. 2021, 108, 2265-2281. [CrossRef]
- Zhou, X.P.; Cheng, H. The long-term stability analysis of 3D creeping slopes using the displacement-based rigorous limit equilibrium method. Engineering Geology. 2015, 195, 292-300. [CrossRef]
- Sun, C.; Jin, C.; Wang, L.; Cai, J.; Li, J. Creep damage characteristics and slip law of weak-layer mudstone in an open mining slope. Bulletin of Engineering Geology and the Environment. 2023, 82, 399. [CrossRef]
- Zhen, Z.-X. Modified time-varying damage model with caputo fractional derivative on the creep destruction prediction of rock slope. Mathematical Problems in Engineering. 2021, 2021. [CrossRef]
- Bao, M.; Chen, Z.; Nian, G.; Zhang, L.; Zhu, T. Study on creep properties of weak layer rock of slope under damage coupling. Bulletin of Engineering Geology and the Environment. 2024, 83. [CrossRef]
- Li, R.; Ji, F.; Feng, W.; Wang, D.; Zhang, J. Shear creep characteristics and constitutive model of hidden non-persistent joints. Chinese Journal of Geotechnical Engineering. 2019, 41, 2253-2261. [CrossRef]
- Jiang, S.; Wen, B.; Jiang, X.; Li, R.; Zhao, C. A non-linear damage rheological constitutive model and its application to a giant slow-moving landslide. Hydrogeology & Engineering Geology. 2019, 46, 56-63. [CrossRef]
- Lei, Q.; Sornette, D. A stochastic dynamical model of slope creep and failure. Geophysical Research Letters. 2023, 50, e2022GL102587. [CrossRef]
- Bao, C.; Zhan, L.; Xia, Y.; Huang, Y.; Zhao, Z. Development trend and stability analysis of creep landslide with obvious slip zone under rainfall-taking Xinchang Xiashan basalt slope as an Example. Frontiers in Earth Science. 2022, 9, 1-11. [CrossRef]
- Jeng, C.J.; Chen, S.S.; Tseng, C.H. A case study on the slope displacement criterion at the critical accelerated stage triggered by rainfall and long-term creep behavior. Natural Hazards. 2022, 112, 2277-2312. [CrossRef]
- Vallet, A.; Charlier, J.B.; Fabbri, O.; Bertrand, C.; Carry, N.; Mudry, J. Functioning and precipitation-displacement modelling of rainfall-induced deep-seated landslides subject to creep deformation. Landslides. 2016, 13, 653-670. [CrossRef]
- Paul, K.; Bhattacharya, P.; Misra, S. Frictional control on accelerating creep during the slow-to-fast transition of rainfall-induced catastrophic landslides. Journal of Geophysical Research-Earth Surface. 2024, 129, e2023JF007213. [CrossRef]
- Delchiaro, M.; Della Seta, M.; Martino, S.; Nozaem, R.; Moumeni, M. Tectonic deformation and landscape evolution inducing mass rock creep driven landslides: the Loumar case-study (Zagros Fold and Thrust Belt, Iran). Tectonophysics. 2023, 846, 229655. [CrossRef]
- Luo, Y.; Li, J.; Hu, B. Flowing deformation of softrock & deformation and wreck of slope. In Proceedings of the 8th National Conference on Engineering Geology, Shanghai, China, 31 October 2008; pp. 226-229.
- Li, M.; Qiao, L.; Tian, Y.; Du, H. Analysis of deformation mechanism of soft rock composite slope in open-pit mine. Coal Science and Technology. 2021, 49, 108-113. [CrossRef]
- Dong, J.; Zhao, Y.; Liu, H.; Zhao, J.; Zhang, Z.; Chi, Q.; Yang, J. Creep characteristics of a strongly weathered argillaceous sandstone sliding zone and the disaster evolution mechanism of the Huaipa landslide, China. Applied Sciences-Basel. 2023, 13, 8579. [CrossRef]
- Sun, H.; Wu, H.; Ma, Z.; Yuan, Z.; Feng, K. Analysis of seismic damage modes of landslides containing tunnels under horizontal earthquake action. Geofluids. 2022, 2022, 6026316. [CrossRef]
- Yan, Z.; Zhang, S.; Zhang, X.; Zhang, L. Study of dynamic response of bedding rock slope under earthquake and influence of ground motion parameters. Chinese Journal of Rock Mechanics and Engineering. 2011, 30, 3522-3528.
- Chen, X.; Gong, W.; Zhong, X.; Qiu, J.; Li, Y. Dynamic reliability analysis of bedding rock slopes under horizontal and vertical earthquake actions. China Civil Engineering Journal. 2017, 50, 91-98,128. [CrossRef]
- Tang, H.; Wu, Z.; Che, A.; Yuan, C.; Deng, Q. Failure mechanism of rock slopes under different seismic excitation. Advances in Materials Science and Engineering. 2021, 2021, 8866119. [CrossRef]
- Song, D.; Che, A.; Zhu, R.; Ge, X. Dynamic response characteristics of a rock slope with discontinuous joints under the combined action of earthquakes and rapid water drawdown. Landslides. 2018, 15, 1109-1125. [CrossRef]
- Che, A.; Yang, H.; Wang, B.; Ge, X. Wave propagations through jointed rock masses and their effects on the stability of slopes. Engineering Geology. 2016, 201, 45-56. [CrossRef]
- Fan, C.; Wang, C.; Liu, H. Influences of the combined horizontal and vertical excitations on the seismic responses of tiered geosynthetic reinforced slope. Journal of Disaster Prevention and Mitigation Engineering. 2020, 40, 606-613. [CrossRef]
- Huang, C.; Wang, A.; Ren, W. Influence of time combination pattern of horizontal and vertical ground motions on slope seismic safety factor. Rock and Soil Mechanics. 2010, 31, 3404-3410. [CrossRef]
- Song, G.; Du, J.; Ke, J.; Deng, Q.; Liang, Y. Stability limit analysis of bedding rock slopes based on pseudo-dynamic method. China Earthquake Engineering Journal. 2019, 41, 931-938.
- Chen, X.; Gao, R.; Gong, W.; Li, Y.; Peng, Y. Time history analysis method for seismic reliability of bedding rock slopes based newmark-β method. China Journal of Highway and Transport. 2017, 30, 33-40. [CrossRef]
- Xu, N.; Li, T.; Dai, F.; Li, B.; Fan, Y.; Xu, J. Stability analysis on the left bank slope of Baihetan hydropower station based on discrete element simulation and microseismic monitoring. Rock and Soil Mechanics. 2017, 38, 2358-2367. [CrossRef]
- Dong, J.; Yang, J.; Wu, F.; Yang, G.; Huang, Z. Large-scale shaking table test research on acceleration response rules of bedding layered rock slope and its blocking mechanism of river. Chinese Journal of Rock Mechanics and Engineering. 2013, 32, 3861-3867.
- Bowa, V.M.; Xia, Y.; Yan, M.; Kabwe, E. Toppling of the jointed rock slope with counter-tilted weak planes influenced by the response to local earthquakes. International Journal of Mining and Mineral Engineering. 2018, 9, 302-320. [CrossRef]
- Yan, Z.; Li, Y.; Long, Z.; Zhai, J. Shearing action of anchorage interface of rock slope with soft layer under bidirectional coupled earthquake. Journal of Vibration and Shock. 2020, 39, 158-164. [CrossRef]
- Antwi Buah, P.; Zhang, Y.; He, J.; Yu, P.; Xiang, C.; Fu, H.; He, Y.; Liu, J. Evaluating the dynamic response and failure process of a rock slope under pulse-like ground motions. Geomatics Natural Hazards & Risk. 2023, 14, 2167613. [CrossRef]
- Xiong, S.; Li, D.-Q.; Liu, Y.; Du, W. Effect of weak intercalated layers on the seismic response of rock slopes based on numerical analysis. Journal of Earthquake Engineering. 2023, 27, 4595-4612. [CrossRef]
- Peng, Y. Research on stability of bedding rock slope under bidirectional earthquake. Master Thesis, Huazhong University of Science & Technology, Hubei, China, 2017.
- Liu, X.; He, C.; Liu, S.; Liu, Y.; Lu, Y.; Liu, Z. Dynamic response and failure mode of slopes with horizontal soft and hard interbeddings under frequent microseisms. Arabian Journal for Science and Engineering. 2018, 43, 5397-5411. [CrossRef]
- Li, X. The analysis of the stability of bedding slope under the effect of frequent seismic. Master Thesis, Chongqing University, Chongqing, China, 2015.
- Yang, Z.; Liu, S.; Liu, Y.; He, C.; Yang, W. Dynamic stability analysis of bedding and toppling rock slopes under repeated micro-seismic action. Chinese Journal of Geotechnical Engineering. 2018, 40, 1277-1286.
- Lysmer, J.; Kuhlemeyer, R.L. Finite dynamic model for infinite media. Journal of the engineering mechanics division. 1969, 95, 859-877. [CrossRef]
- Yuan, H.; Cao, P.; Wan, W.; Xu, W. Study on creep rules of soft and intricate ore-rock under step load and unload. Chinese Journal of Rock Mechanics and Engineering. 2006, 25, 1575-1581.
- Guo, X.; Wang, B.; Wang, Z.; Yu, J. Methods and practices for deformation prediction in high-stress soft rock tunnels considering creep characteristics. Chinese Journal of Geotechnical Engineering. 2023, 45, 652-660.
- Chu, Z.; Sun, Z.; Zhang, Y.; Weng, L. Viscoelastic-plastic analysis for a deep-buried soft rock tunnel considering longitudinal construction. 2023, 67, 55-61. [CrossRef]
- Davis, L.L.; West, L.R. Observed effects of topography on ground motion. Bulletin of the Seismological Society of America. 1973, 63, 283-298. [CrossRef]
- Cui, F.; Xu, Q.; Tan, R.; Yin, Y. Numerical simulation of collapsing and sliding response of slope triggered by seismic dynamic action. Journal of Tongji University(Natural Science). 2011, 39, 445-450.
- Xu, G.; Yao, L.; Gao, Z.; Li, Z. Large-scale shaking table model test study on dynamic characteristics and dynamic responses of slope. Chinese Journal of Rock Mechanics and Engineering. 2008, 27, 624-632.
- Yang, B.; Yang, X.; Yang, T.; Wang, R.; Zhou, D. Shaking table model test on dynamic response and failure process of shatter-burst sliding slope under earthquake load 2018, 37, 3279-3290. [CrossRef]
- Xu, M.; Yu, X.-y.; Zhao, Y.-p.; Hu, J.-j.; Zhang, X.-t. Analysis of seismic dynamic response and failure mode of bedding rock slope with laminated fractured structure. Rock and Soil Mechanics. 2023, 44, 362-372. [CrossRef]





















| Category of rock | Volume Weight /(kN·m-3) |
Cohesion c/(MPa) |
Frictional Angle φ/(°) |
Elasticity modulus E/(GPa) |
Poisson ratio μ |
|---|---|---|---|---|---|
| Fragmented and strongly weathered quartz schist | 25 | 0.4 | 32 | 2 | 0.32 |
| Weakly weathered quartz schist | 27.1 | 1.2 | 48 | 35 | 0.21 |
| Weakly weathered granite | 26 | 1.6 | 50 | 30 | 0.22 |
| Weakly weathered crushed granite | 25.5 | 0.6 | 37 | 15 | 0.25 |
| Slightly weathered granite | 26.4 | 1.8 | 52 | 40 | 0.20 |
| Category of rock | Maxwell shear modulus EM/GPa |
Kelvin shear modulus EK/GPa |
Maxwell viscosity ηM/(GPa·s) |
Kelvin viscosity ηK/(GPa·s) |
|---|---|---|---|---|
| Fragmented and strongly weathered quartz schist | 1.15 | 0.98 | 16400 | 4570 |
| Year | Magnitude | Epicenter area | Calculated intensity |
Seismic precautionary intensity |
|---|---|---|---|---|
| 1908 | 8.2 | Abroad | 5.8 | 7 |
| 1950 | 8.6 | Chayu and Medog in Tibet | 7.5 | 8 |
| 1951 | 6 | Chamdo in Tibet | 5.2 | 6 |
| 1953 | 5.5 | Basu in Tibet | 7.2 | 8 |
| 1984 | 5.1 | The southwest region of Markham in Tibet | 5.9 | 7 |
| 1997 | 5.2 | The southwest region of Zuo Gong in Tibet | 5.3 | 6 |
| 2008 | 8 | Wenchuan in Sichuan | 4.9 | 6 |
| 2010 | 7.4 | Yushu in Qinghai | 5.3 | 6 |
| 2017 | 6.9 | Milin in Tibet | 5.5 | 7 |
| Amplitude | 0.05g | 0.1g | 0.3g | |
|---|---|---|---|---|
| Order of action | ||||
| 1 | 34s earthquake action | 34s earthquake action | 34s earthquake action | |
| 2 | 25-year creep effect | 30-year creep effect | 50-year creep effect | |
| 3 | 34s earthquake action | 34s earthquake action | 34s earthquake action | |
| 4 | 25-year creep effect | 30-year creep effect | 50-year creep effect | |
| 5 | 34s earthquake action | 34s earthquake action | ||
| 6 | 25-year creep effect | 40-year creep effect | ||
| 7 | 34s earthquake action | |||
| 8 | 25-year creep effect | |||
Disclaimer/Publisher’s Note: The statements, opinions and data contained in all publications are solely those of the individual author(s) and contributor(s) and not of MDPI and/or the editor(s). MDPI and/or the editor(s) disclaim responsibility for any injury to people or property resulting from any ideas, methods, instructions or products referred to in the content. |
© 2024 by the authors. Licensee MDPI, Basel, Switzerland. This article is an open access article distributed under the terms and conditions of the Creative Commons Attribution (CC BY) license (http://creativecommons.org/licenses/by/4.0/).