Submitted:
06 July 2024
Posted:
08 July 2024
You are already at the latest version
Abstract
Keywords:
1. Introduction
1.1. Fundamentals of the Polishing Process
- Dispersion and independent movement of dispersed particles within the solvent medium.
- Electrochemical equilibrium of the particles with the solvent leads to the realization of surface charge on the particles.
- Motion of the particles suspended in bulk occurs due to electrophoresis.
- A layer of finite shear strength rigid layer of particles is deposited on the electrode.
2. Materials and Methods
- Grit sizes: 600, 1000, 1200, 1500, 2000, and 3000.
- Tool rotational speed: 100, 150, 200, 300, 400, 800, 1000, 1200, 1400, 1500, 1600, 1800 rpm.
- Polishing times: 6, 8, 10, 12, 14, 15, 20, and 30 minutes.
- Axial Loads: 8, 10, 12, 15, 20 newtons
- Supply voltage: 5, 10, 15, and 20 volts.
3. Results and Discussion
3.1. SS304




3.1.1. Effect of Polishing Time
3.1.2. Effect of Axial Loading
3.1.3. Effect of Rotating Speed of the Polishing Tool
3.1.4. Effect of Feed Rate

3.1.5. Effect of Voltage between the Auxiliary Electrode and Polishing Tool
3.2. SS316L

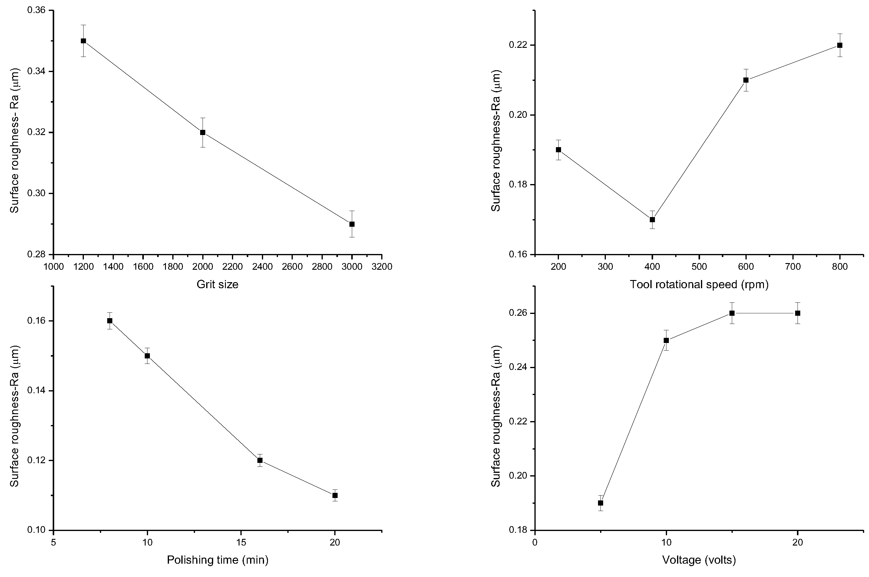
3.2.1. Effect of Grit Size
3.2.2. Effect of Axial Loading
3.2.3. Effect of Rotating Speed of the Polishing Tool
3.2.4. Effect of Polishing Time
3.3. Alumina Ceramics
3.3.1. Effect of Grit Size
3.3.2. Effect of Axial Loading
3.3.3. Effect of Rotating Speed of the Polishing Tool
3.3.4. Effect of Polishing Time
4. Conclusions
Supplementary Materials
Author Contributions
Funding
Data Availability Statement
Acknowledgments
Conflicts of Interest
References
- J. Ikeno, Y. Tani, and H. Sat0, “Development of Highly Homogeneous Pellets Applying Electrophoretic Deposi-tion of Ultrafine Abrasives for Nanometer Grinding,” CIRP Ann.- Manufactur. Technol, vol. 43, pp. 319–322, 1994. [CrossRef]
- R. Saraf, S. P. Yadav, and M. Sadaiah, “Precision Photochemical Machining,” in Micro and Precision Manufac-turing, vol. 1, Kapil Gupta, Ed., Springer, 2018, pp. 41–70. [CrossRef]
- R. Saraf and S. P. Yadav, “Fundamentals of bare-metal stents,” in Functionalised Cardiovascular Stents, Elsevier, 2018, pp. 27–44. [CrossRef]
- V. K. Jain, “Magnetic field assisted abrasive based micro-/nano-finishing,” J Mater Process Technol, vol. 209, no. 20, pp. 6022–6038, Nov. 2009. [CrossRef]
- M. Das, V. K. Jain, and P. S. Ghoshdastidar, “Nanofinishing of flat workpieces using rotation-al-magnetorheological abrasive flow finishing (R-MRAFF) process,” International Journal of Advanced Manufactur-ing Technology, vol. 62, no. 1–4, pp. 405–420, Sep. 2012. [CrossRef]
- V. K. Jain, “Abrasive-based nano-finishing techniques: An overview,” Machining Science and Technology, vol. 12, no. 3, pp. 257–294, Jul. 2008. [CrossRef]
- D. Keck, S. Ravi, S. Yadav, and R. Martinez-Duarte, “The Effect of Different System Parameters on the Movement of Microbial Cells Using Light-Induced Dielectrophoresis,” Micromachines (Basel), vol. 15, no. 3, p. 342, Feb. 2024. [CrossRef]
- S. P. Yadav and R. S. Pawade, “Manufacturing Methods Induced Property Variations in Ti6Al4V Using High-Speed Machining and Additive Manufacturing (AM),” Metals (Basel), vol. 13, no. 2, p. 287, Jan. 2023. [CrossRef]
- R. Kundiya et al., “Analysis of hole characteristics in Mechanical Micro Drilling of CFRP-Ti6Al4V Stack Compo-site.
- P. A. McKeown, “The Role of Precision Engineering in Manufacturing of the Future,” CIRP Annals, vol. 36, no. 2, pp. 495–501, 1987. [CrossRef]
- S. Khalaj Amnieh, P. Mosaddegh, and A. Fadaei Tehrani, “Study on magnetic abrasive finishing of spiral grooves inside of aluminum cylinders,” International Journal of Advanced Manufacturing Technology, vol. 91, no. 5–8, pp. 2885–2894, Jul. 2017. [CrossRef]
- J. Ikeno, Y. Tani, and A. Fukutani, “Development of Chipping-Free Dicing Technology Applying Electrophoretic Deposition of Ultrafine Abrasives,” CIRP Annals, vol. 40, no. 1, pp. 351–354, 1991. [CrossRef]
- S. Yadav, A. Saraf, and M. Sadaiah, “Analysis of Undercut for SS304 in Photochemical Machining,” in Proceed-ings of the International Conference on Communication and Signal Processing 2016 (ICCASP 2016), Paris, France: Atlantis Press, 2017, pp. 284–289. [CrossRef]
- M. Ravi Sankar, V. K. Jain, and J. Ramkumar, “Rotational abrasive flow finishing (R-AFF) process and its effects on finished surface topography,” Int J Mach Tools Manuf, vol. 50, no. 7, pp. 637–650, Jul. 2010. [CrossRef]
- S. C. Jayswal, V. K. Jain, and P. M. Dixit, “Modeling and simulation of magnetic abrasive finishing process,” In-ternational Journal of Advanced Manufacturing Technology, vol. 26, no. 5–6, pp. 477–490, Sep. 2005. [CrossRef]
- W. C. Chen, K. L. Wu, and B. H. Yan, “A study on the application of newly developed magneto-elastic abrasive to improving the surface roughness of the bore,” International Journal of Advanced Manufacturing Technology, vol. 73, no. 9–12, pp. 1557–1566, 2014. [CrossRef]
- H. Yan, H. J. Tzeng, F. Yuan Huang, Y. C. Lin, and H. M. Chow, “Finishing effects of spiral polishing method on micro lapping surface,” Int J Mach Tools Manuf, vol. 47, no. 6, pp. 920–926, 07. 20 May. [CrossRef]
- Y. Tani, T. Saeki, Y. Samitsu, K. Kobayashi, and Y. Sato, “lnfeed Grinding of Silicon Wafers Applying Electro-phoretic Deposition of Ultrafine Abrasives,” CIRP Annals, vol. 47, pp. 245–248, 1998. [CrossRef]
- H. P. Tsui, B. H. Yan, W. Te Wu, and S. T. Hsu, “A study on stainless steel mirror surface polishing by using the electrophoretic deposition method,” Int J Mach Tools Manuf, vol. 47, no. 12–13, pp. 1965–1970, Oct. 2007. [CrossRef]
- Arvind Chavan, Yogesh Gaikhe, Sandeep Huddedar, and Raju Pawade, “3D Surface Characterization of Elec-trophoretic Deposition Assisted Polishing of SS316L,” Journal of Applied Sciences, vol. 12, no. 10, pp. 929–937, 2012. [CrossRef]
- H. Yan, H. J. Tzeng, F. Yuan Huang, Y. C. Lin, and H. M. Chow, “Finishing effects of spiral polishing method on micro lapping surface,” Int J Mach Tools Manuf, vol. 47, no. 6, pp. 920–926, 07. 20 May. [CrossRef]
- M. J. González-Morales, R. Mahillo-Isla, E. Gago-Ribas, and C. Dehesa-Martínez, “Complex polar coordinates in electromagnetics,” J Electromagn Waves Appl, vol. 25, no. 2, pp. 389–398, Jan. 2011. [CrossRef]
- H. Fong and D. H. Reneker, “Elastomeric Nanofibers of Styrene-Butadiene-Styrene Triblock Copolymer,” 1999.
- S. Yadav, A. Sangoi, and R. Pawade, “Development of Mathematical Model and Characterization of Internal Surface obtained by Elasto-Abrasives Magneto-spiral Finishing (EAMSF),” J Manuf Sci Eng, pp. 1–25, Jul. 2022. [CrossRef]
- M. A. Skotnikova, N. A. Krylov, and A. A. Popov, “Structural and Phase Transformation in Metals at High-Speed Cutting and Tool Wear,” in Procedia Engineering, Elsevier Ltd., 2017, pp. 777–782. [CrossRef]
- T. F. Mao, S. C. Yang, F. C. Tsai, J. C. Hung, and B. H. Yan, “Experimental investigation of abrasive jet polishing on the free-form machined surfaces of SKD61 mold steel using SiC particles,” Materials and Manufacturing Pro-cesses, vol. 25, no. 9, pp. 965–973, Sep. 2010. [CrossRef]
- S. P. Yadav, H. Shaikh, and R. S. Pawade, “Assessment of Optical Performance of Aspheric Germanium Lens Manufactured Using Single Point Diamond Turning,” in Volume 1: Processes, American Society of Mechanical Engineers, Jun. 2017. [CrossRef]
- R. Mohan and N. R. Babu, “Ultrafine finishing of metallic surfaces with the ice bonded abrasive polishing pro-cess,” in Materials and Manufacturing Processes, Apr. 2012, pp. 412–419. [CrossRef]
- Y. B. Tian, Z. W. Zhong, S. T. Lai, and Y. J. Ang, “Development of fixed abrasive chemical mechanical polishing process for glass disk substrates,” International Journal of Advanced Manufacturing Technology, vol. 68, no. 5–8, pp. 993–1000, Sep. 2013. [CrossRef]
- M. R. Sankar, V. K. Jain, and J. Ramkumar, “Experimental investigations into rotating workpiece abrasive flow finishing,” Wear, vol. 267, no. 1–4, pp. 43–51, Jun. 2009. [CrossRef]
- D. P. Updike and A. Kalnins, “Contact Pressure Between an Elastic Spherical Shell and a Rigid Plate,” Journal of Applied Mechanics-Transactions of the ASME, pp. 1110– 1114, 1972, [Online]. Available: http://asmedigitalcollection.asme.org/appliedmechanics/article–pdf/39/4/1110/5452680/1110_1pdf.
- M. A. Skotnikova, V. P. Artemyev, S. A. Shasherina, O. V. Paitova, and G. V. Tsvetkova, “Tribotechnical properties of nanostructured coppernickel coatings,” in Lecture Notes in Mechanical Engineering, Pleiades journals, 2019, pp. 61–71. [CrossRef]
- S. Witharamage et al., “Corrosion-resistant metallic coatings for aluminum alloys by cold spray,” Corros Sci, vol. 209, Dec. 2022. [CrossRef]
- M. A. Skotnikova, G. V. Tsvetkova, and N. A. Krylov, “Tribological properties of nanostructured diffusion layers of metal coatings,” in Key Engineering Materials, Trans Tech Publications Ltd., 2017, pp. 446–450. [CrossRef]
- S. Yadav, R. Waikar, R. Pawade, and S. Joshi, “Experimental analysis of orthogonal micro-machined surface features and chip morphology of AISI1215 steel by using EBSD method,” in Proceedings of the International Con-ference on Communication and Signal Processing 2016 (ICCASP 2016), Paris, France: Atlantis Press, 2017, pp. 304–310. [CrossRef]
- Q. Yuan, H. Qi, and D. Wen, “Numerical and experimental study on the spiral-rotating abrasive flow in polish-ing of the internal surface of 6061 aluminium alloy cylinder,” Powder Technol, vol. 302, pp. 153–159, Nov. 2016. [CrossRef]
- M. Wani, V. Yadava, and A. Khatri, “Simulation for the prediction of surface roughness in magnetic abrasive flow finishing (MAFF),” J Mater Process Technol, vol. 190, no. 1–3, pp. 282–290, Jul. 2007. [CrossRef]
- S. Singh and H. S. Shan, “Development of magneto abrasive flow machining process,” 2002.
- M. R. Sankar, S. Mondal, J. Ramkumar, and V. K. Jain, “Experimental investigations and modeling of drill bit-guided abrasive flow finishing (DBG-AFF) process,” International Journal of Advanced Manufacturing Technology, vol. 42, no. 7–8, pp. 678–688, Jun. 2009. [CrossRef]
- K. K. Kar, N. L. Ravikumar, P. B. Tailor, J. Ramkumar, and D. Sathiyamoorthy, “Performance evaluation and rheological characterization of newly developed butyl rubber based media for abrasive flow machining process,” J Mater Process Technol, vol. 209, no. 4, pp. 2212–2221, Feb. 2009. [CrossRef]
- R. S. Pawade, M. Rayte, P. Ingle, and S. Paritkar, “Some investigations on surface characteristics of SS304 using electrophoretic deposition assisted polishing (EDPAP),” in Proceedings of the 3rd International and 24th AMTDR Conference, B. Satyanarayana and K. Ramji, Eds., Vizag, Dec. 2010.
- Rabinowicz, L. A. Dunn, and P. G. Russell, “A Study of Abrasive Wear under Three-Body Conditions,” Wear, vol. 4, pp. 345–355, 1961.
- R. S. Walia, H. S. Shan, and P. Kumar, “Enhancing AFM process productivity through improved fixturing,” In-ternational Journal of Advanced Manufacturing Technology, vol. 44, no. 7–8, pp. 700–709, Oct. 2009. [CrossRef]
- Xi and, D. Zhou, “Modeling surface roughness in the stone polishing process,” Int J Mach Tools Manuf, vol. 45, no. 4–5, pp. 365–372, Apr. 2005. [CrossRef]
- S. Mali and A. Manna, “Simulation of surface generated during abrasive flow finishing of Al/SiCp-MMC us-ing neural networks,” in International Journal of Advanced Manufacturing Technology, Aug. 2012, pp. 1263–1268. [CrossRef]
- R. S. Walia, H. S. Shan, and P. Kumar, “Parametric optimization of Centrifugal Force-Assisted Abrasive Flow Machining (CFAAFM) by the Taguchi method,” Materials and Manufacturing Processes, vol. 21, no. 4, pp. 375–382, Jul. 2006. [CrossRef]
- V. B. Vukkum, J. Christudasjustus, T. Y. Ansell, A. Nieto, and R. K. Gupta, “Influence of carbon nanotubes on mi-crostructure and corrosion performance of additively manufactured 316L stainless steel,” Corros Sci, vol. 224, Nov. 2023. [CrossRef]
- M. A. Skotnikova, G. V. Tsvetkova, N. A. Krylov, E. K. Ivanov, V. V. Medvedeva, and N. V. Bezenkin, “Features of wear of abrasive grains depending on microcuttings speed of steels,” in Key Engineering Materials, Trans Tech Publications Ltd., 2016, pp. 189–194. [CrossRef]
- M. O’donnell, J. Budan, J. Mcguire, P. Jalagam, A. Kulkarni, and T. Y. Ansell, “Printing Hydrophobic Stainless Steel Graphene Composites,” in 2023 International Solid Freeform Fabrication Symposium, 2023, pp. 239–249. [CrossRef]
- Tsvetkova and, M. Skotnikova, “Engineering and research of wearability coating on the basis of high-strength steel,” in Proceedings of 9th International Scientific Conference, BALTTRIB 2017 - Dedicated to 100th Anniversary of Restitution of Lithuania, Aleksandras Stulginskis University, Jan. 2018; pp. 166–171. [CrossRef]
- Y. S. Gaikhe, A. M. Chavan, and R. S. Pawade, “Surface topography analysis in electrophoretic deposi-tion-assisted polishing of AISI 316L stainless steel,” Materials and Manufacturing Processes, vol. 28, no. 6, pp. 676–682, Jun. 2013. [CrossRef]
- R. S. Walia, H. S. Shan, and P. Kumar, “Enhancing AFM process productivity through improved fixturing,” In-ternational Journal of Advanced Manufacturing Technology, vol. 44, no. 7–8, pp. 700–709, Oct. 2009. [CrossRef]
- Kenda, J. Duhovnik, J. Tavčar, and J. Kopač, “Abrasive flow machining applied to plastic gear matrix polishing,” International Journal of Advanced Manufacturing Technology, vol. 71, no. 1–4, pp. 141–151, Mar. 2014. [CrossRef]
- B. H. Yan, K. L. Wu, F. Y. Huang, and C. C. Hsu, “A study on the mirror surface machining by using a mi-cro-energy EDM and the electrophoretic deposition polishing,” International Journal of Advanced Manufacturing Technology, vol. 34, no. 1–2, pp. 96–103, Aug. 2007. [CrossRef]
- N. Taniguchi, “Current status in, and future trends of, ultraprecision machining and ultrafine materials pro-cessing,” Annals of the ClRP, vol. 32, no. 2, pp. 573–582, 1983. [CrossRef]
- B. A. Shemyakinskiy, M. A. Skotnikova, Z. Wang, and A. A. Alkhimenko, “Studies of tribological and corrosion properties of coatings based on iron for light alloy drill pipes of aluminium alloys,” in Key Engineering Materials, Trans Tech Publications Ltd., 2019, pp. 709–715. [CrossRef]
- M. C. Santos, A. R. Machado, W. F. Sales, M. A. S. Barrozo, and E. O. Ezugwu, “Machining of aluminum alloys: a review,” International Journal of Advanced Manufacturing Technology, vol. 86, no. 9–12. Springer London, pp. 3067–3080, Oct. 01, 2016. [CrossRef]
- S. Jha and V. K. Jain, “Design and development of the magnetorheological abrasive flow finishing (MRAFF) pro-cess,” Int J Mach Tools Manuf, vol. 44, no. 10, pp. 1019–1029, Aug. 2004. [CrossRef]




Disclaimer/Publisher’s Note: The statements, opinions and data contained in all publications are solely those of the individual author(s) and contributor(s) and not of MDPI and/or the editor(s). MDPI and/or the editor(s) disclaim responsibility for any injury to people or property resulting from any ideas, methods, instructions or products referred to in the content. |
© 2024 by the authors. Licensee MDPI, Basel, Switzerland. This article is an open access article distributed under the terms and conditions of the Creative Commons Attribution (CC BY) license (https://creativecommons.org/licenses/by/4.0/).