Submitted:
03 July 2024
Posted:
04 July 2024
You are already at the latest version
Abstract
Keywords:
1. Introduction
2. Calculation of LECR Spectrum
2.1. Theoretical Basis
2.1.1. Parker Transport Equation
2.1.2. Stellar Wind Velocity
2.1.3. Diffusion Coefficient
2.1.4. Boundary Conditions
2.2. Numerical Methods
2.3. Results
3. Calculation of Nuclear De-Excitation Line Emission
3.1. Calculation Method
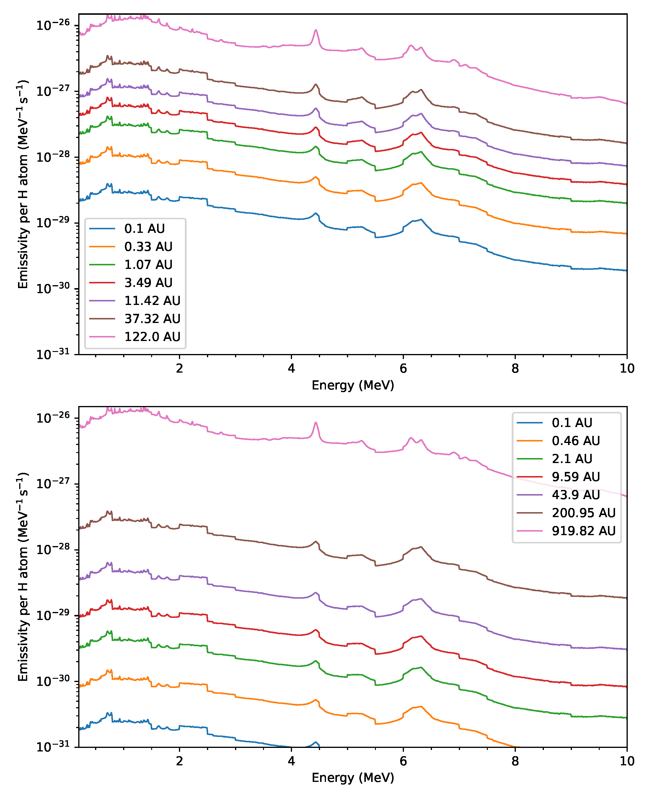
3.2. Results
4. Discussion
5. Summary and Outlook
Author Contributions
Funding
Institutional Review Board Statement
Informed Consent Statement
Data Availability Statement
Conflicts of Interest
Abbreviations
| CRs | cosmic rays |
| LECRs | low-energy cosmic rays |
| LIS | local interstellar spectrum |
Appendix A
References
- Becker Tjus, J.; Merten, L. Closing in on the origin of Galactic cosmic rays using multimessenger information. Physics Reports 2020, 872, 1. [Google Scholar] [CrossRef]
- Gabici, S. Low-energy cosmic rays: regulators of the dense interstellar medium. The Astronomy and Astrophysics Review 2022, 30, 4. [Google Scholar]
- Grenier, I.A.; Black, J.H.; Strong, A.W. The Nine Lives of Cosmic Rays in Galaxies. Annual Review of Astronomy and Astrophysics 2015, 53, 199. [Google Scholar] [CrossRef]
- Padovani, M. , Ivlev, A.V., Galli, D., et al. Impact of Low-Energy Cosmic Rays on Star Formation. Space Science Reviews 2020, 16, 29. [Google Scholar] [CrossRef]
- Williams, J.P.; Cieza, L.A. Protoplanetary Disks and Their Evolution. Annual Review of Astronomy and Astrophysics 2011, 49, 67. [Google Scholar] [CrossRef]
- Cleeves, L.I.; Adams, F.C.; Bergin, E.A. Exclusion of Cosmic Rays in Protoplanetary Disks: Stellar and Magnetic Effects. The Astrophysical Journal 2013, 772, 5. [Google Scholar] [CrossRef]
- Cleeves, L.I.; Bergin, E.A.; Adams, F.C. Exclusion of Cosmic Rays in Protoplanetary Disks. II. Chemical Gradients and Observational Signatures. The Astrophysical Journal 2014, 794, 123. [Google Scholar] [CrossRef]
- Padovani, M. , Ivlev, A.V., Galli, D., et al. Cosmic-ray ionisation in circumstellar discs. Astronomy & Astrophysics 2018, 614, A111. [Google Scholar]
- Glassgold, A.E. , Galli, D., Padovani, M. Cosmic-Ray and X-Ray Heating of Interstellar Clouds and Protoplanetary Disks. The Astrophysical Journal 2012, 756, 157. [Google Scholar] [CrossRef]
- Öberg, K.I. , Bergin, E.A. Astrochemistry and compositions of planetary systems. Physics Reports 2021, 893, 1. [Google Scholar] [CrossRef]
- Walsh, C. , Millar, T.J., Nomura, H. Chemical Processes in Protoplanetary Disks. The Astrophysical Journal 2010, 722, 1607. [Google Scholar] [CrossRef]
- Öberg, K.I. , Facchini, S., Anderson, D.E. Protoplanetary Disk Chemistry. Annual Review of Astronomy and Astrophysics 2023, 61, 287. [Google Scholar] [CrossRef]
- Ramaty, R.; Lingenfelter, R.E. Gamma-ray line astronomy. Nature 1979, 278, 127. [Google Scholar] [CrossRef]
- Ramaty, R.; Kozlovsky, B.; Lingenfelter, R.E. Nuclear gamma rays from energetic particle interactions. Astrophysical Journal Supplement Series 1979, 40, 487. [Google Scholar] [CrossRef]
- Kozlovsky, B. , Murphy, R.J., Ramaty, R. Nuclear Deexcitation Gamma-Ray Lines from Accelerated Particle Interactions. The Astrophysical Journal Supplement Series 2002, 141, 523. [Google Scholar] [CrossRef]
- Chupp, E.L. , Forrest, D.J., Higbie, P.R., et al. Solar Gamma Ray Lines observed during the Solar Activity of August 2 to August 11, 1972. Nature 1973, 241, 333. [Google Scholar] [CrossRef]
- Cliver, E.W. , Forrest, D.J., Cane, H.V., et al. Solar Flare Nuclear Gamma Rays and Interplanetary Proton Events. Astrophysical Journal 1989, 343, 953. [Google Scholar] [CrossRef]
- Vilmer, N. , MacKinnon, A.L., Hurford, G.J. Properties of Energetic Ions in the Solar Atmosphere from γ-Ray and Neutron Observations. Space Science Reviews 2011, 159, 167. [Google Scholar] [CrossRef]
- Ramaty, R. , Kozlovsky, B., Lingenfelter, R.E. Solar Gamma Rays. Space Science Reviews 1975, 18, 341. [Google Scholar] [CrossRef]
- Murphy, R.J. , Kozlovsky, B., Kiener, J., et al. Nuclear Gamma-Ray De-Excitation Lines and Continuum from Accelerated-Particle Interactions in Solar Flares. The Astrophysical Journal Supplement 2009, 183, 142. [Google Scholar] [CrossRef]
- Benhabiles-Mezhoud, H. , Kiener, J., Tatischeff, V., et al. De-excitation Nuclear Gamma-Ray Line Emission from Low-energy Cosmic Rays in the Inner Galaxy. The Astrophysical Journal 2013, 763, 98. [Google Scholar] [CrossRef]
- Liu, B.; Yang, R.-Z.; Aharonian, F. Nuclear de-excitation lines as a probe of low-energy cosmic rays. Astron. Astrophys. 2021, 646, A149. [Google Scholar] [CrossRef]
- Liu, B. , Yang, R.-z., He, X.-y., et al. New estimation of the nuclear de-excitation line emission from the supernova remnant Cassiopeia A. Monthly Notices of the Royal Astronomical Society 2023, 524, 5248. [Google Scholar] [CrossRef]
- Dogiel, V.A. , Tatischeff, V., Cheng, K.S., et al. Nuclear interaction gamma-ray lines from the Galactic center region. Astronomy and Astrophysics 2009, 508, 1. [Google Scholar] [CrossRef]
- Parker, E.N. The passage of energetic charged particles through interplanetary space. Planetary and Space Science 1965, 13, 9. [Google Scholar] [CrossRef]
- Rodgers-Lee, D.; Taylor, A.M.; Gallagher, S.; Vidotto, A.A.; Reichardt, C. The Galactic cosmic ray intensity at the evolving Earth and young exoplanets. Mon. Not. R. Astron. Soc. 2020, 499, 2124–2137. [Google Scholar] [CrossRef]
- Carolan, S.; Vidotto, A.A.; Loesch, C.; Coogan, P.; Fares, R.; Jeffers, S.; Marsden, S.; Morin, J.; Petit, P.; Reiners, A. The evolution of Earth’s magnetosphere during the solar main sequence. Mon. Not. R. Astron. Soc. 2019, 489, 5784–5801. [Google Scholar] [CrossRef]
- Jokipii, J.R. Propagation of cosmic rays in the solar wind. Reviews of Geophysics and Space Physics 1971, 9, 27. [Google Scholar] [CrossRef]
- Schlickeiser, R. Cosmic-Ray Transport and Acceleration. I. Derivation of the Kinetic Equation and Application to Cosmic Rays in Static Cold Media. The Astrophysical Journal 1989, 336, 243. [Google Scholar] [CrossRef]
- Cohen, O. , Drake, J.J., Kóta, J. The Cosmic-Ray Intensity near the Archean Earth. The Astrophysical Journal 2012, 760, 85. [Google Scholar] [CrossRef]
- Vos, E.E. , Potgieter, M.S. New Modeling of Galactic Proton Modulation during the Minimum of Solar Cycle 23/24. The Astrophysical Journal 2015, 815, 119. [Google Scholar] [CrossRef]
- Crank, J. , Nicolson, P., A practical method for numerical evaluation of solutions of partial differential equations of the heat-conduction type. Proceedings of the Cambridge Philosophical Society 1947, 43, 50. [Google Scholar] [CrossRef]
- Press, W.H. , Teukolsky, S.A., Vetterling, W.T., et al. Numerical recipes in FORTRAN. The art of scientific computing. 1992, Cambridge: University Press, |c1992, 2nd ed.
- Lam, S.K. , Pitrou, A., Seibert, S. Numba: A LLVM-based Python JIT Compiler. Proc. Second Workshop on the LLVM Compiler Infrastructure in HPC 2015, 1. [Google Scholar]
- Kelner, S.R. , Aharonian, F.A., Bugayov, V.V. Energy spectra of gamma rays, electrons, and neutrinos produced at proton-proton interactions in the very high energy regime. Physical Review D 2006, 74, 034018. [Google Scholar] [CrossRef]
- Kamae, T. , Karlsson, N., Mizuno, T., et al. Parameterization of γ, e±, and Neutrino Spectra Produced by p-p Interaction in Astronomical Environments. The Astrophysical Journal 2006, 647, 692. [Google Scholar] [CrossRef]
- Blumenthal, G.R. Gould, R.J. Bremsstrahlung, Synchrotron Radiation, and Compton Scattering of High-Energy Electrons Traversing Dilute Gases. Reviews of Modern Physics 1970, 42, 237. [Google Scholar] [CrossRef]
- Koning, A.J.; Hilaire, S.; Duijvestijn, M.C. TALYS-1.0. In Proceedings of the International Conference on Nuclear Data for Science and Technology, Nice, France, 22-27 April 2007; EDP Sciences: Les Ulis, France, 2007. [Google Scholar]
- Koning, A. , Hilaire, S. Goriely, S. TALYS: modeling of nuclear reactions. European Physical Journal A 2023, 59, 131. [Google Scholar] [CrossRef]
- Andrews, S.M. Observations of Protoplanetary Disk Structures. Annual Review of Astronomy and Astrophysics 2020, 58, 483. [Google Scholar] [CrossRef]
- Wardle, M. Magnetic fields in protoplanetary disks. Astrophysics and Space Science 2007, 311, 35. [Google Scholar] [CrossRef]
- Fujii, Y.I. Kimura, S.S. Cosmic-Ray Ionization Rate in Protoplanetary Disks with Sheared Magnetic Fields. The Astrophysical Journal Letters 2022, 937, L37. [Google Scholar] [CrossRef]
- Hughes, A.M. , Wilner, D.J., Andrews, S.M., et al. Empirical Constraints on Turbulence in Protoplanetary Accretion Disks. The Astrophysical Journal 2011, 727, 85. [Google Scholar] [CrossRef]
- Rosotti, G.P. Empirical constraints on turbulence in proto-planetary discs. New Astronomy Reviews 2023, 96, 101674. [Google Scholar] [CrossRef]
- Yi, S.-X. , Zhang, Z., Wang, X. Flares from Merged Magnetars: Their Prospects as a New Population of Gamma-Ray Counterparts of Binary Neutron Star Mergers. The Astrophysical Journal 2023, 955, 4. [Google Scholar] [CrossRef]
- Zhu, J. , Zheng, X., Feng, H., et al. MeV astrophysical spectroscopic surveyor (MASS): a compton telescope mission concept. Experimental Astronomy 2024, 57, 2. [Google Scholar] [CrossRef]
- De Angelis, A. , Tatischeff, V., Argan, A., et al. Gamma-ray astrophysics in the MeV range. Experimental Astronomy 2021, 51, 1225. [Google Scholar] [CrossRef]
- McEnery, J. , van der Horst, A., Dominguez, A., et al. All-sky Medium Energy Gamma-ray Observatory: Exploring the Extreme Multimessenger Universe. Bulletin of the American Astronomical Society 2019, 51, 245. [Google Scholar]
- Kierans, C.A. AMEGO: exploring the extreme multimessenger universe. Proceedings of the SPIE 2020, 11444, 1144431. [Google Scholar]
- Karwin, C.M. , Siegert, T., Beechert, J., et al. Probing the Galactic Diffuse Continuum Emission with COSI. The Astrophysical Journal 2023, 959, 90. [Google Scholar] [CrossRef]
- Lucchetta, G. , Ackermann, M., Berge, D., et al. Introducing the MeVCube concept: a CubeSat for MeV observations. Journal of Cosmology and Astroparticle Physics 2022, 08, 013. [Google Scholar] [CrossRef]
- Ferro, L. , Moita, M., Rosati, P., et al. Laue lenses: Focusing optics for hard X/soft Gamma-ray astronomy. The Sixteenth Marcel Grossmann Meeting. On Recent Developments in Theoretical and Experimental General Relativity, Astrophysics, and Relativistic Field Theories 2023, 3355.
- Svensmark, H. Cosmic rays and the biosphere over 4 billion years. Astronomische Nachrichten 2006, 327, 871. [Google Scholar] [CrossRef]
- Grießmeier, J.-M. , Tabataba-Vakili, F., Stadelmann, A., et al. Galactic cosmic rays on extrasolar Earth-like planets. I. Cosmic ray flux. Astronomy & Astrophysics 2015, 581, A44. [Google Scholar]
- Rodgers-Lee, D. , Taylor, A.M., Vidotto, A.A., et al. Stellar versus Galactic: the intensity of cosmic rays at the evolving Earth and young exoplanets around Sun-like stars. Monthly Notices of the Royal Astronomical Society 2021, 504, 1519. [Google Scholar] [CrossRef]
| 1 | |
| 2 | |
| 3 | |
| 4 |



| Element | Stellar Atmosphere | CRs |
|---|---|---|
| H | 1 | 1 |
| He | ||
| C | ||
| N | ||
| O | ||
| Ne | ||
| Mg | ||
| Al | ||
| Si | ||
| S | ||
| Ca | ||
| Fe |
Disclaimer/Publisher’s Note: The statements, opinions and data contained in all publications are solely those of the individual author(s) and contributor(s) and not of MDPI and/or the editor(s). MDPI and/or the editor(s) disclaim responsibility for any injury to people or property resulting from any ideas, methods, instructions or products referred to in the content. |
© 2024 by the authors. Licensee MDPI, Basel, Switzerland. This article is an open access article distributed under the terms and conditions of the Creative Commons Attribution (CC BY) license (http://creativecommons.org/licenses/by/4.0/).