Submitted:
01 July 2024
Posted:
03 July 2024
You are already at the latest version
Abstract
Keywords:
1. Introduction
2. Materials and Methods
2.1. Participants
2.2. Stimuli and Procedure
2.2.1. Linguistic Material
2.2.2. Task
2.2.3. EEG Recording
2.2.4. Analysis
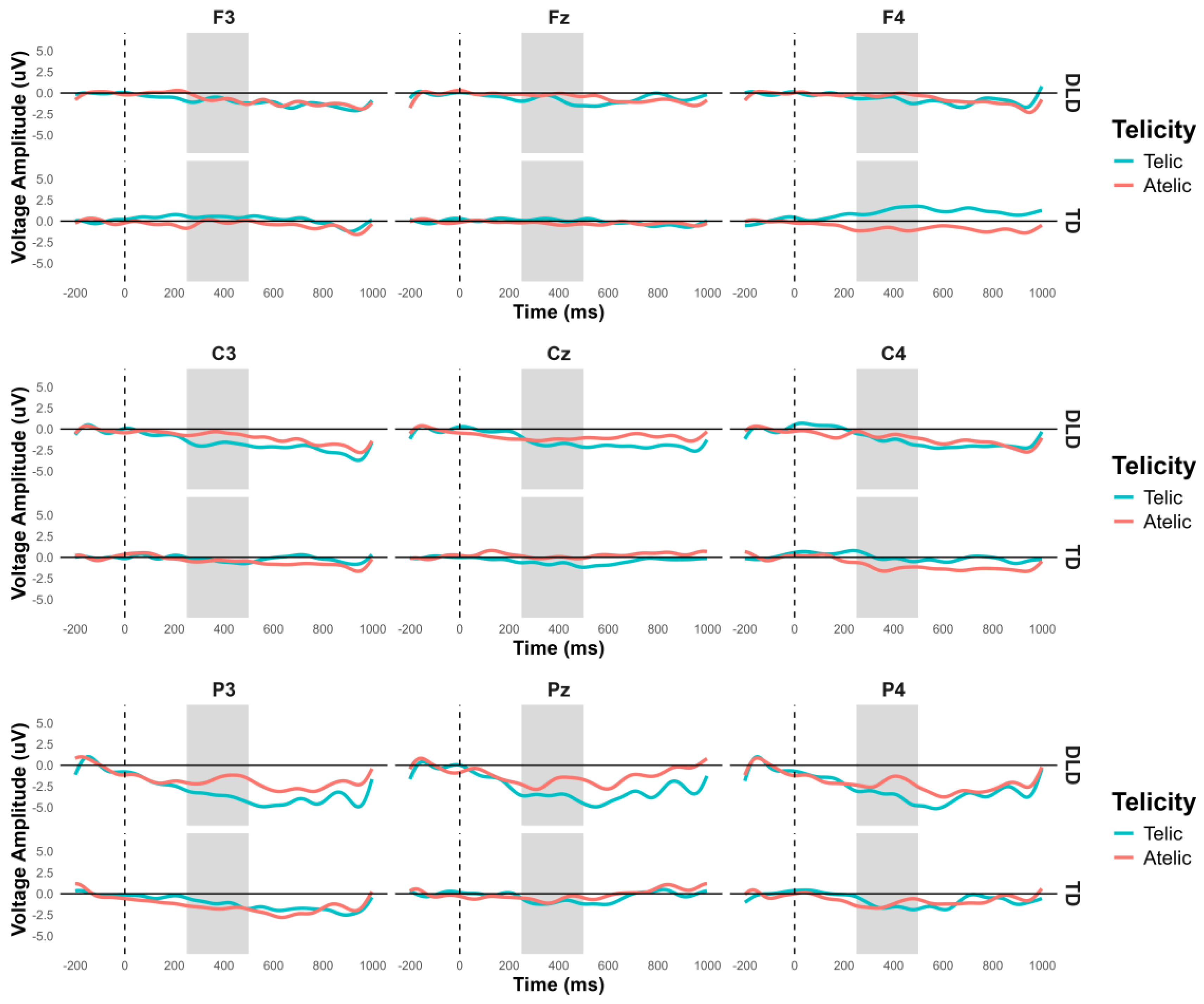
3. Results
3.1. ERP Results
3.1.1. N400 Effects In Verb
3.1.2. Post N400 Effects In Verb
3.1.3. N400 Effects in Direct Object
3.1.4. P600 Effects in Direct Object
3.2. Behavorial Results
4. Discussion
Discussion of Verb Results
Discussion Direct Object Results
Discussion Behavioral Results
5. Conclusions
Author Contributions
Funding
Institutional Review Board Statement
Informed Consent Statement
Data Availability Statement
Conflicts of Interest
References
- E. Aguilar-Mediavilla, L. Buil-Legaz, A. Esteller-Cano and J. Pérez-Castelló, “Desde el trastorno Específico del lenguaje (TEL) hasta el trastorno del Desarrollo del Lenguaje (TDL): un cambio de concepción sobre los trastornos del lenguaje (TDL): un cambio de concepción sobre los trastornos del lenguaje.,” Lengua, Sociedad y Comunicación, vol. 17, 2019.
- D. V. Bishop, M. J. Snowling, P. A. Thomson, T. Greenhalgh and C.-2. Consortium., “Phase 2 of CATALISE: A multinational and multidisciplinary Delphi consensus study of problems with language development: Terminology,” Journal of Child Psychology and Psychiatry, vol. 58, no. 10, pp. 1068-1080, 2017. [CrossRef]
- C. F. Norbury, D. Gooch, C. Wray, G. Baird, T. Charman, E. Simonoff, G. Vamvakas and A. Pickles, “The impact of non-verbal ability on prevalence and clinical presentation of language disorder: Evidence from a population study.,” J. Child Psychol and Psyc., vol. 57, no. 11, p. 1247–1257, 2016.
- L. Andreu, A. Igualada, N. Ahufinger and M. Sanz-Torrent, “La situación del trastorno específico del lenguaje en los países hispanohablantes,” Rev. Invest. Logopedia, vol. 12, no. 1, 2021.
- MINEDUC, “Informe de Necesidades Educativas Especiales 2017,” Ministerio de Educación de Chile, Santiago, 2018.
- J. Lee, P. Nopoulos and J. Tomblin, “Abnormal subcortical components of the corticostriatal system in young adults with DLI: A combined structural MRI and DTI study.,” Neuropsychologia, vol. 51, pp. 2154-2161, 2013. [CrossRef]
- M. Herbert, D. Ziegler, N. Makris, A. Bakardjiev, J. Hodgson, K. Adrien, D. Kennedy, P. Filipek and V. J. Caviness, “Larger brain and white matter volumes in children with developmental language disorder.,” Dev. Sci. , vol. 6, p. F11–F22, 2003. [CrossRef]
- C. Soriano-Mas, J. Pujol, H. Ortiz, J. Deus, A. López-Sala and A. Sans, “ Age-related brain structural alterations in children with specific language impairment.,” Hum. Brain Mapp. , vol. 30, p. 1626–1636, 2009. [CrossRef]
- N. Abbott and T. Love, “Bridging the Divide: Brain and Behavior in Developmental Language Disorder.,” Brain Sci., vol. 13, no. 1606, 2023. [CrossRef]
- J. Lee, A. Dick and J. Tomblin, “Altered brain structures in the dorsal and ventral language pathways in individuals with and without developmental language disorder (DLD).,” Brain Imaging Behav. , vol. 14, p. 2569–2586, 2020. [CrossRef]
- K. Watkins, F. Vargha-Khadem, J. Ashburner, R. Passingham, A. Connelly, K. Friston, R. Frackowiak, M. Mishkin and D. Gadian, “MRI analysis of an inherited speech and language disorder: Structural brain abnormalities.,” Brain, vol. 125, p. 465–478, 2002. [CrossRef]
- H. Lou, L. Henriksen and P. Bruhn, “Focal cerebral dysfunction in developmental learning disabilities.,” Lancet, vol. 335, pp. 8-11, 1990.
- L. B. Leonard, P. Deevy, S. Horvath, S. L. Christ, J. Karpicke and J. B. Kueser, “Can Retrieval Practice Facilitate Verb Learning in Children With Developmental Language Disorder and Their Peers With Typical Language Development?.,” J. Speech Lang. Hear. R., vol. 66, no. 4, p. 1309–1333., 2023. [CrossRef]
- S. Horvath and S. Arunachalam, “Optimal Contexts for Verb Learning,” Perspectives of the ASHA special interest groups, vol. 4, no. 6, p. 1239–1249, 2019.
- A. Castilla-Earls, A. Auza, A. T. Pérez-Leroux, K. Fulcher-Rood and C. Barr, “Morphological Errors in Monolingual Spanish-Speaking Children With and Without Developmental Language Disorders,” Language, speech, and hearing services in schools, vol. 51, no. 2, p. 270–281, 2020. [CrossRef]
- W. C. Krok and L. B. Leonard, “Past Tense Production in Children With and Without Specific Language Impairment Across Germanic Languages: A Meta-Analysis,” J. Speech Lang. Hear R., vol. 58, no. 4, p. 1326–1340, 2015. [CrossRef]
- P. Schulz, “Telicity in typical and impaired acquisition,” in Semantics in Language Acquisition., K. a. A. S. Syrett, Ed., John Benjamins Publishing Company., 2018.
- G. Morgan, M. Restrepo and A. Auza, “Comparison of Spanish morphology in monolingual and Spanish–English bilingual children with and without language impairment,” Bilingualism: Language and Cognition, vol. 16, no. 3, pp. 578-596, 2013. [CrossRef]
- P. Schulz, K. Wymann and Z. Penner, “The early acquisition of verb meaning in German by normally developing and language impaired children,” Brain and language,, vol. 77, no. 3, pp. 407-418, 2001. [CrossRef]
- P. Schulz and A. Wittek, “Opening doors and Sweeping floors: what children with specific language impairment know about telic and atelic verbs,” in BUCLD 27: Proceedings of the 27th annual Boston University Conference on Language Development, A. B. a. F. C. B. Beachley, Ed., Somerville, MA., Cascadilla Press, 2003, pp. 727-738.
- Z. Penner, P. Schulz and K. Wymann, “Learning the meaning of verbs: what distinguishes language-impaired from normally developing children,” Linguistics, vol. 41, no. 2, pp. 289-319, 2003. [CrossRef]
- L. B. Leonard and P. Deevy, “Tense and aspect in sentence interpretation by children with specific language impairment.,” Journal of Child Language, vol. 37, p. 395–418., 2010. [CrossRef]
- L. B. Leonard, “Time-related grammatical use by children with SLI across languages: Beyond tense.,” International journal of speech-language pathology, vol. 17, no. 6, p. 545–555., 2015. [CrossRef]
- J. Grinstead, P. Lintz, J. De la Mora, M. Cantú-Sánchez and B. Flores, “Prototypical tense-aspect alignment and the tense deficit in the spontaneous speech of Spanish-speaking children with SLI,” Probus, vol. 28, pp. 145-163, 2016. [CrossRef]
- B. Mertins, “The use of experimental methods in linguistic research: Advantages, problems and possible pitfalls. Slavic Languages in Psycholinguistics,,” pp. 15-33, 2016.
- J. Pijnacker, N. Davids, M. van Weerdenburg, L. Verhoeven, H. Knoors and P. Alphen, “Semantic Processing of Sentences in Preschoolers With Specific Language Impairment: Evidence From the N400 Effect.,” J. Speach Lang. Hear. R., vol. 60, no. 1, 2017. [CrossRef]
- É. Courteau, P. Royle and K. Steinhauer, “Number agreement processing in adolescents with and without developmental language disorder (DLD): evidence from event-related brain potentials. 1,” Scientific reports, vol. 13, no. 1, p. 22836, 2023.
- F. Faul, E. Erdfelder, A. Buchner and A. G. Lang, “Statistical power analyses using G*Power 3.1: Tests for correlation and regression analyses.,” Behavior Research Methods, vol. 41, pp. 1149-1160, 2009. [CrossRef]
- D. Pérez, P. Cáceres, S. Cáceres, C. Calderón and B. Góngora, Instrumento de diagnóstico para los trastornos específicos del lenguaje en edad escolar, Valparaiso, Chile: Ediciones Universidad de Valparaíso, 2014.
- M. Corporation., Microsoft Clipchamp, 2023.
- M. Corporation, Microsoft PowerPoint, Versión 2405., 2023.
- I. Psychology Software Tools, [E-Prime 3.0], 2016.
- I. Psychology Software Tools, [Chronos], 2016.
- Core Team, “A Language and Environment for Statistical Computing. R Foundation for Statistical Computing, Vienna.,” pp. https://www.R-project.org., 2021.
- B. Leone-Fernandez, N. Molinaro, M. Carreiras and H. Barber, “Objects, events and ‘‘to be’’ verbs in Spanish – An ERP study of the syntax–semantics,” Brain & Language, vol. 120, pp. 127-134, 2012.
- A. Field, Discovering Statistics Using IBM SPSS Statistics, Los Angeles, CA, USA: Sage Publications, 2013.
- A. Owen Van Horne, M. Fey and M. Curran, “Do the Hard Things First: A Randomized Controlled Trial Testing the Effects of Exemplar Selection on Generalization Following Therapy for Grammatical Morphology,” J Speech Lang Hear Res., vol. 60, no. 9, pp. 2569-2588, 2017. [CrossRef]
- A. Owen Van Horne and M. Green Fager, “Quantifying the relative contributions of lexical and phonological factors to regular past tense accuracy,” Int J Speech Lang Pathol., vol. 17, no. 6, pp. 605-616, 2015.
- N. Stuart and H. van der Lely, “Role of aspect in understanding tense: an investigation with adolescents with SLI,” Int J Lang Commun Disord., vol. 50, no. 2, pp. 187-201, 2015.
- É. Courteau, L. Martignetti, P. Royle and K. Steinhauer, “ERPs for Number Mismatches in Grammatical Sentences,” Front. Psychol., vol. 10, no. 1152, 2019.
- S. Kornilov, J. Magnuson, N. Rakhlin, N. Landi and E. Grigorenko, “Lexical processing deficits in children with developmental language disorder: An event-related potentials study,” Dev Psychopathol, vol. 27, no. 2, pp. 459-476, 2015. [CrossRef]
- J. Malins, A. Desroches, E. Robertson, R. Newman, L. Archibald and M. Joanisse, “ERPs reveal the temporal dynamics of auditory word recognition in specific language impairment,” Dev Cogn Neurosci, vol. 5, pp. 134-148, 2013. [CrossRef]
- N. Zapparrata, P. Brooks and T. Ober, “Developmental Language Disorder Is Associated With Slower Processing Across Domains: A Meta-Analysis of Time-Based Tasks,” J. Speech Lang. Hear. Res., vol. 66, no. 1, pp. 325-246, 2023. [CrossRef]
- H. Lowe, L. Henry, L. Müller and J. V. , “Vocabulary intervention for adolescents with language disorder: a systematic review,” Int J Lang Commun Disord., vol. 53, no. 2, pp. 199-217, 2018. [CrossRef]













| Variable | DLD (n=18) | TD (n=18) | Comparison | ||||
| M | SD | Min-Max | M | SD | Min-Max | ||
| Age (months) | 91.83 | 3.70 | 83-95 | 91.78 | 4.50 | 83-97 | t = -.04 p = 0.98 |
| IDTEL Score | 56.39 | 6.71 | 38-66 | 104.56 | 13.70 | 83-124 | t = -13.39 p = <0.001 |
| Variable | Telic-coherent | Telic-incoherent | Atelic-coherent | Atelic-incoherent |
|---|---|---|---|---|
| Sentence | Papá gana la carrera/ Dad wins the race | Papá gana la carrera/ Dad wins the race | Papá corre la carrera/ Dad runs the race | Papá corre la carrera/ Dad runs the race |
| Video | Dad crosses the finish line | Another runner wins, dad is right behind him | Dad comes running | Dad is sitting watching the race |
Disclaimer/Publisher’s Note: The statements, opinions and data contained in all publications are solely those of the individual author(s) and contributor(s) and not of MDPI and/or the editor(s). MDPI and/or the editor(s) disclaim responsibility for any injury to people or property resulting from any ideas, methods, instructions or products referred to in the content. |
© 2024 by the authors. Licensee MDPI, Basel, Switzerland. This article is an open access article distributed under the terms and conditions of the Creative Commons Attribution (CC BY) license (http://creativecommons.org/licenses/by/4.0/).