Submitted:
02 July 2024
Posted:
03 July 2024
You are already at the latest version
Abstract
Keywords:
1. Introduction
2. The Azo Dyes


3. Heterocyclic Azo Dyes
3.1. Heterocyclic Monoazo Dyes

3.2. Heterocyclic Diazo Dyes
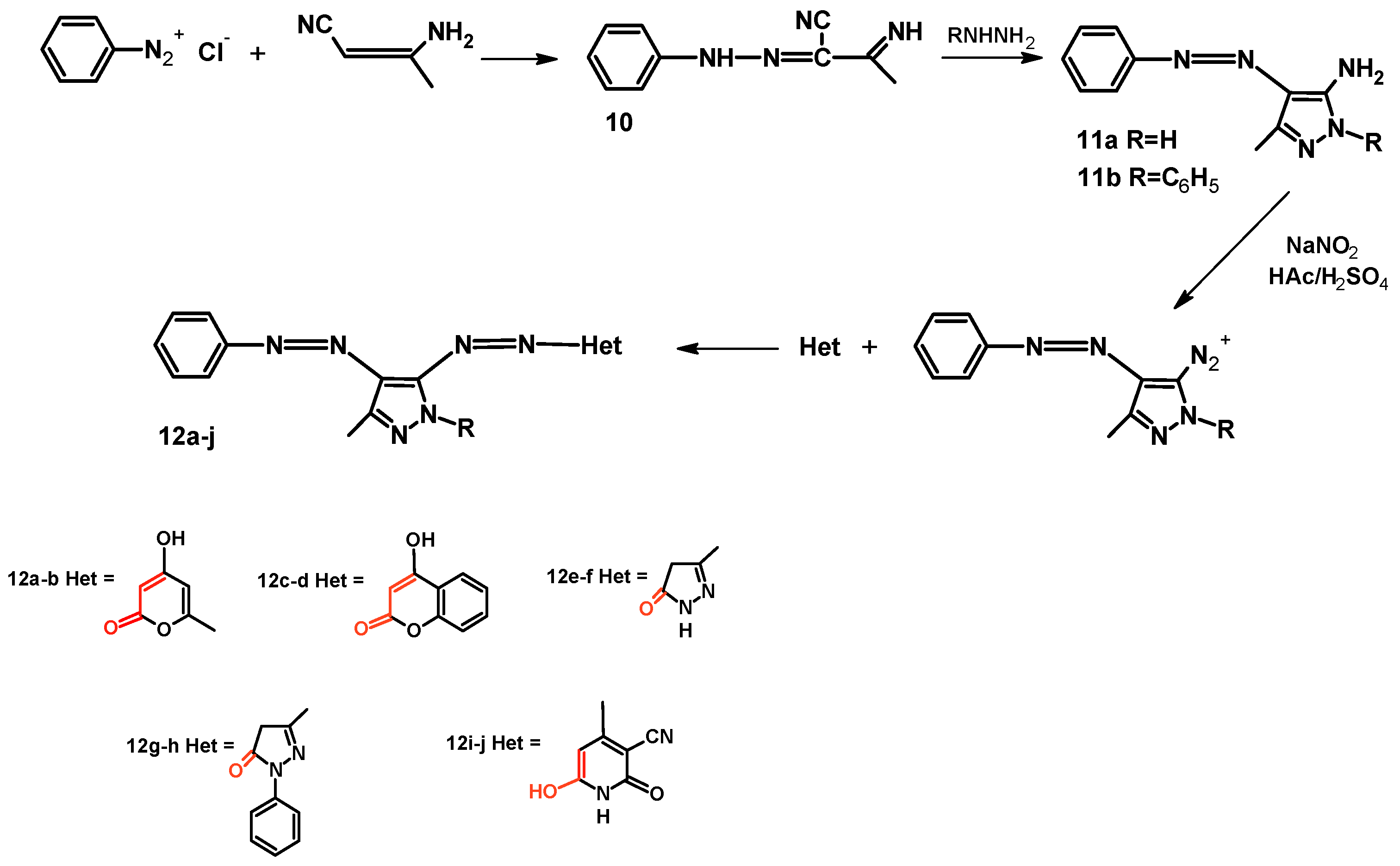
3.3. Heterocyclic Polyazo Dyes
4. Ecological Impacts and Sustainable Solutions for Heterocyclic Azo Dyes
5. Conclusions
References
- Saxena, S.; Raja, A.S.M. Natural Dyes: Sources, Chemistry, Application and Sustainability Issues. In: Muthu, S. (eds) Roadmap to Sustainable Textiles and Clothing. Textile Science and Clothing Technology. Springer, Singapore, 2014, pp. 37–80. [CrossRef]
- Patel, B. H. Natural Dyes. In Handbook of textile and industrial dyeing: Principles, processes and types of dyes, Dr. M. Clark, Woodhead Publishing Ltd,Cambridge, UK, 2011, 1, pp. 395 – 421.
- Waring, D. R. Heterocyclic Dyes and Pigments. Comprehensive Heterocyclic Chemistry, 1984, 1– 7(1), pp. 317–346.
- Winkler, F. The colour science of dyes and pigments, Adam Hilger Ltd, Bristol (England), 1983.
- Decelles, C. The story of dyes and dyeing, J. Chem. Educ., 1949, 26, p. 583.
- Salman, M.; Jabbar, A.; Farooq, S.; Bashir, I.; Rafiq, M. S. New heterocyclic azo-disperse dyes; their synthesis, characterization, application, photo physical properties and solvatochromic studies J. Mol. Struct., 2023, 1287, pp. 135664-135664.
- Griffiths, J. Color and Constitution of Organic Molecules, Academic Press, London, 1976.
- Hallas, G., Choi, J.-H. Synthesis and properties of novel aziridinyl azo dyes from 2-aminothiophenes—Part 2: Application of some disperse dyes to polyester fibres. Dyes Pigm., 40, 1999, 2-3, pp.119–129.
- Baroncini, M.; Groppi, J.; S. Corra, S.; Silvi, S.; Credi, A. Light-Responsive (Supra)Molecular Architectures: Recent Advances. Adv. Opt. Mater. 2019, 7, 1900392.
- Wu, W., Yao, L., Yang, T., Yin, R., Li, F., and Yu, Y. (2011) NIR-light-induced deformation of cross-linked liquid crystalpolymers using upconversion nanophosphors. J. Am. Chem. Soc., 2011, 133 (40), pp.15810–15813.
- Gregory, P. (1990). Classification of Dyes by Chemical Structure. In The Chemistry and Application of Dyes: Topics in Applied Chemistry, D. R. Waring, & G. Hallas (Eds.), Boston, MA: Springer, 1990, pp. 17-47.
- Towns, A.D. Developments in azo disperse dyes derived from heterocyclic diazo components, Dyes Pigm., 1999, 42(1), pp. 3-28.
- Patel, V. J.; Patel, M. P.; Patel, R. G. Synthesis and application of novel heterocyclic dyes based on 1l-amino-3-bromo-13H-acenaphtho[l,2-e]pyridazino[3,2-b]- quinazoline-13-one. J. Serb. Chem. Soc., 2002, 67, 727–734. [Google Scholar] [CrossRef]
- Patel, D.R.; Patel, K.C. Synthesis, characterization and application of quinazolinone based reactive dyes for various fibers. Fibers Polym. 2010, 11, 537–544. [Google Scholar] [CrossRef]
- Patel, D.R.; Patel, K.C. Synthesis of Some New Thermally Stable Reactive Dyes Having 4(3H)-quinazolinone Molecule for the Dyeing of Silk, Wool, and Cotton Fibers. Fibers Polym. 2011, 12, 741–752. [Google Scholar] [CrossRef]
- Patel, D.R.; Patel, K.C. Synthesis, characterization and in vitro antimicrobial screening of some new MCT reactive dyes bearing nitro quinazolinone moiety. J. Saudi Chem. Soc. 2015, 19 (4), pp. 347 – 359.
- Lellis, B.; Fávaro-Polonio, C. Z.; Pamphile, J. A.; Polonio, J. C. (2019). Effects of textile dyes on health and the environment and bioremediation potential of living organisms. Biotechnol. Res. Innov., 2019, 3(2), pp. 275–290.
- Malinauskiene, L.; Bruze, M.; Ryberg, K.; Zimerson, E.;Isaksson, M. Contact allergy from disperse dyes in textiles: a review. Contact Dermatitis. 2013, 68(2), pp. 65-75.
- Moreau, L.; Goossens, A. Allergic contact dermatitis associated with reactive dyes in a dark garment: a case report. Contact Dermatitis. 2005, 53(3) pp. 150-4.
- Miles, L.W.C. Textile printing, rev., 2nd ed.; Society of Dyers and Colourists: Bradford, England, 2003. [Google Scholar]
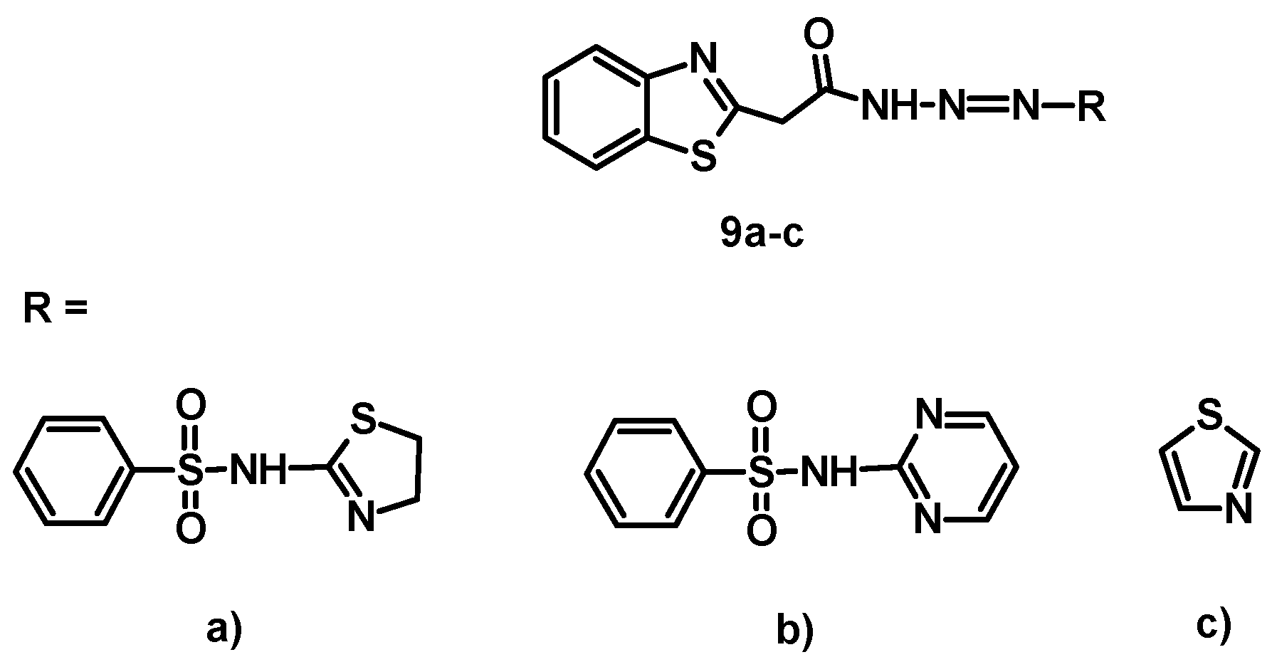
- Abdel Zaher, K. S.; Shaban, E.; Nawwar, G. A. M. Antibacterial Azo Dyes Containing Sulfa Drug Moieties and Their Colour Assessment on Printing Polyester Fabric ChemistrySelect, 2023, 8.
- National Center for Biotechnology Information. "PubChem Compound Summary for CID 6249, Ampicillin" PubChem, https://pubchem.ncbi.nlm.nih.gov/compound/Ampicillin (accessed 22 February, 2024).
- Benkhaya, S.; M'rabet, S.; El Harfi, A. Classifications, properties, recent synthesis and applications of azo dyes. Heliyon, 2020 ,6(1).
- Gunst, R. (1953). HETEROCYCLIC DISAZO DYESTUFFS (U.S. Patent No 2,686,178), U.S. Patent and Trademark Office.
- Fabian, W.M.F.; Timofei, S. Comparative molecular field analysis (CoMFA) of dye-fibre affinities. Part 2. Symmetrical bisazo dyes. J. Mol. Struct.: THEOCHEM, 1996, 362(2), pp.155-162.
- Matsui, M., et al. Fluorine-containing benzothiazolyl bisazo dyes-their application to guest-host liquid crystal displays, Liq. Cryst. 25(2), 1998, pp. 235-240.
- Karcı, F. Synthesis of disazo dyes derived from heterocyclic components. Color. Technol., 2005, 121(5), pp. 275-280.
- Hadjoudis, E., Mavridis, I. M. Photochromism and thermochromism of Schiff bases in the solid state: structural aspects. Chem Soc Rev, 2004, 33(9), pp. 579-588.
- Raczyńska E.D., Kosińska W., Ośmiałowski B., Gawinecki R. Tautomeric equilibria in relation to pi-electron delocalization. Chem. Rev., 2005, 105, pp. 3561–3612.
- Bártová, K., Císařová, I., Lyčka, A., Dračínský, M. Tautomerism of azo dyes in the solid state studied by 15N, 14N, 13C and 1H NMR spectroscopy, X-ray diffraction and quantum-chemical calculations, Dyes Pigm., 2020, 178, 108342.
- Bakan, E., Karci, F., Avinc, O. Synthetic Fiber Dyeing with Synthesized Novel Disperse Disazo Dyes Containing Methyl (-CH3) Group as an Auxochrome and Their Color Properties IJEAST, 2016, 10(1).
- Elnagdi, M. H.; Sallam, M. M. M.; Fahmy, H. M.; Ibrahim, S. A. M.; Elias, M. A. M. Reactions with the Arylhydrazones of α-Cyanoketones: The Structure of 2-Arylhydrazono-3-ketimino-nitriles. Helv. Chim. Acta, 1976, 59(2), pp.551-557.
- Elnagdi, M. H.; Elgemeie, G. E.; Abd-elaal, F. A. E. Recent developments in the synthesis of pyrazole derivatives. Heterocycles (Sendai), 1985, 23(12), pp. 3121-3153.
- Benkhaya, S.; M'rabet, S.; El Harfi, A. Classifications, properties, recent synthesis and applications of azo dyes. Heliyon, 2020, 6(1), 03271.
- Naime, J.; Al Mamun, M. S.; Aly, M. A. S.; Maniruzzaman, M.; Badal, M. M. R.; Karim, K. M. R. Synthesis, characterization and application of a novel polyazo dye as a universal acid–base indicator. RSC Adv., ,2022, 12(43), pp. 28034-28042.
- Çanakçı, D. Synthesis, characterisation, solvatochromic behaviour and thermal decomposition kinetics of novel polyazo dyes containing amide group and their transition metal complexes. J. Mol. Struct., 2019, 1181, 493–506. [Google Scholar] [CrossRef]
- Nath, I.; Chakraborty, J., Abednatanzi, S.; Van Der Voort, P. A ‘Defective’Conjugated Porous Poly-Azo as Dual Photocatalyst. Catalysts, 2021, 11(9), pp. 1064.
- Zhang, J.; Khayatnezhad, M.; Ghadimi, N. Optimal model evaluation of the proton-exchange membrane fuel cells based on deep learning and modified African Vulture Optimization Algorithm. Energy Sources, Part A, 2022, 44(1), pp. 287-305.
- Bo, G.; Cheng, P.; Dezhi, K.; Xiping, W.; Chaodong, L.; Mingming, G.; Ghadimi, N. (2022). Optimum structure of a combined wind/photovoltaic/fuel cell-based on amended Dragon Fly optimization algorithm: a case study. Energy Sources, Part A, 2022, 44(3), pp. 7109-7131.
- Mijin, D. Ž.; Ušćumlić, G. S., Valentić, N. V.; Marinković, A. D. Synthesis of azo pyridone dyes. Hem. Ind., 2011, 65(5), pp. 517-532.
- Zouari-Mechichi, H.; Benali, J.; Alessa, A.H.; Hadrich, B.; Mechichi, T. Efficient Decolorization of the Poly-Azo Dye Sirius Grey by Coriolopsis gallica Laccase-Mediator System: Process Optimization and Toxicity Assessment. 2024, Molecules, 29, pp. 477.
- Chung, K.-T. Azo Dyes and Human Health: A Review. J. Environ. Sci. Health Part C, 2016, 34, 233–261. [Google Scholar] [CrossRef] [PubMed]
- Lellis, B.; Fávaro-Polonio, C.Z.; Pamphile, J.A.; Polonio, J.C. Effects of Textile Dyes on Health and the Environment and Bioremediation Potential of Living Organisms. 2019, Biotechnol. Res. Innov., 3, pp. 275–290.
- Pereira, L., & Alves, M. Dyes—environmental impact and remediation. Environmental protection strategies for sustainable development, 2012, pp. 111-162.
- Hussien, F. A. H. An eco-friendly methodology for the synthesis of azocoumarin dye using cation exchange resins. 2021, Heliyon, 7(11).
- Amjad, R.; Munawar, M. A.; Khan, S. R.; Naeem, M. Synthesis and Spectral Studies of Some Novel Coumarin Based Disperse Azo Dyes: Studies of Coumarin Based Azo Dyes. 2009, Pak. J. Sci. Ind. Res., 52(3), pp. 117-121.
- Al-Harby, N. F.; Albahly, E. F.; Mohamed, N. A. Kinetics, isotherm and thermodynamic studies for efficient adsorption of Congo Red dye from aqueous solution onto novel cyanoguanidine-modified chitosan adsorbent. 2021, Polymers, 13(24), 4446.
- Ali, A.E.; Chowdhury, Z.Z.; Devnath, R.; Ahmed, M.M.; Rahman, M.M.; Khalid, K.;Wahab, Y.A.; Badruddin, I.A.; Kamangar, S.; Hussien, M.; et al. Removal of Azo Dyes from Aqueous Effluent Using Bio-Based Activated Carbons: Toxicity Aspects and Environmental Impact. 2023, Separations, 10, 506.
- Fernandes, A.; Pinto, B., Bonardo, L.; Royo, B.; Robalo, M. P.; Martins, L. O. Wasteful Azo dyes as a source of biologically active building blocks. 2021, Front. bioeng. biotechnol., 9, 672436.
- Ravindiran, G., Sundaram, H., Rajendran, E. M., Ramasamy, S., Nabil, A. Z., & Ahmed, B. (2023). Removal of azo dyes from synthetic wastewater using biochar derived from sewage sludge to prevent groundwater contamination. Urban Climate, 49, 101502.















| 9a | 9b | 9c | Ampicillin | |
|---|---|---|---|---|
| Pseudomonas aeruginosa | 29 | 30 | 10 | 26 |
| Escherichia coli | 28 | 30 | 11 | 25 |
| Staphylococcus aureus | 29 | 30 | 9 | 21 |
| Bacillus subtilis | 26 | 20 | 9 | 26 |
| Polyester fabric printed with 9a |
Polyester fabric printed with 9b | Polyester fabric printed with 9c | Ampicillin | |
|---|---|---|---|---|
| Pseudomonas aeruginosa | 15 | 12 | 8 | 26 |
| Escherichia coli | 12 | 12 | 10 | 25 |
| Staphylococcus aureus | 12 | 14 | 9 | 21 |
| Bacillus subtilis | 16 | 12 | 8 | 26 |
Disclaimer/Publisher’s Note: The statements, opinions and data contained in all publications are solely those of the individual author(s) and contributor(s) and not of MDPI and/or the editor(s). MDPI and/or the editor(s) disclaim responsibility for any injury to people or property resulting from any ideas, methods, instructions or products referred to in the content. |
© 2024 by the authors. Licensee MDPI, Basel, Switzerland. This article is an open access article distributed under the terms and conditions of the Creative Commons Attribution (CC BY) license (http://creativecommons.org/licenses/by/4.0/).
