Submitted:
01 July 2024
Posted:
01 July 2024
You are already at the latest version
Abstract
Keywords:
1. Introduction
2. Materials and Methods
3. Results
3.1. Nickel Release
3.2. Titanium Release
3.3. Iron Release
3.4. Chromium Release
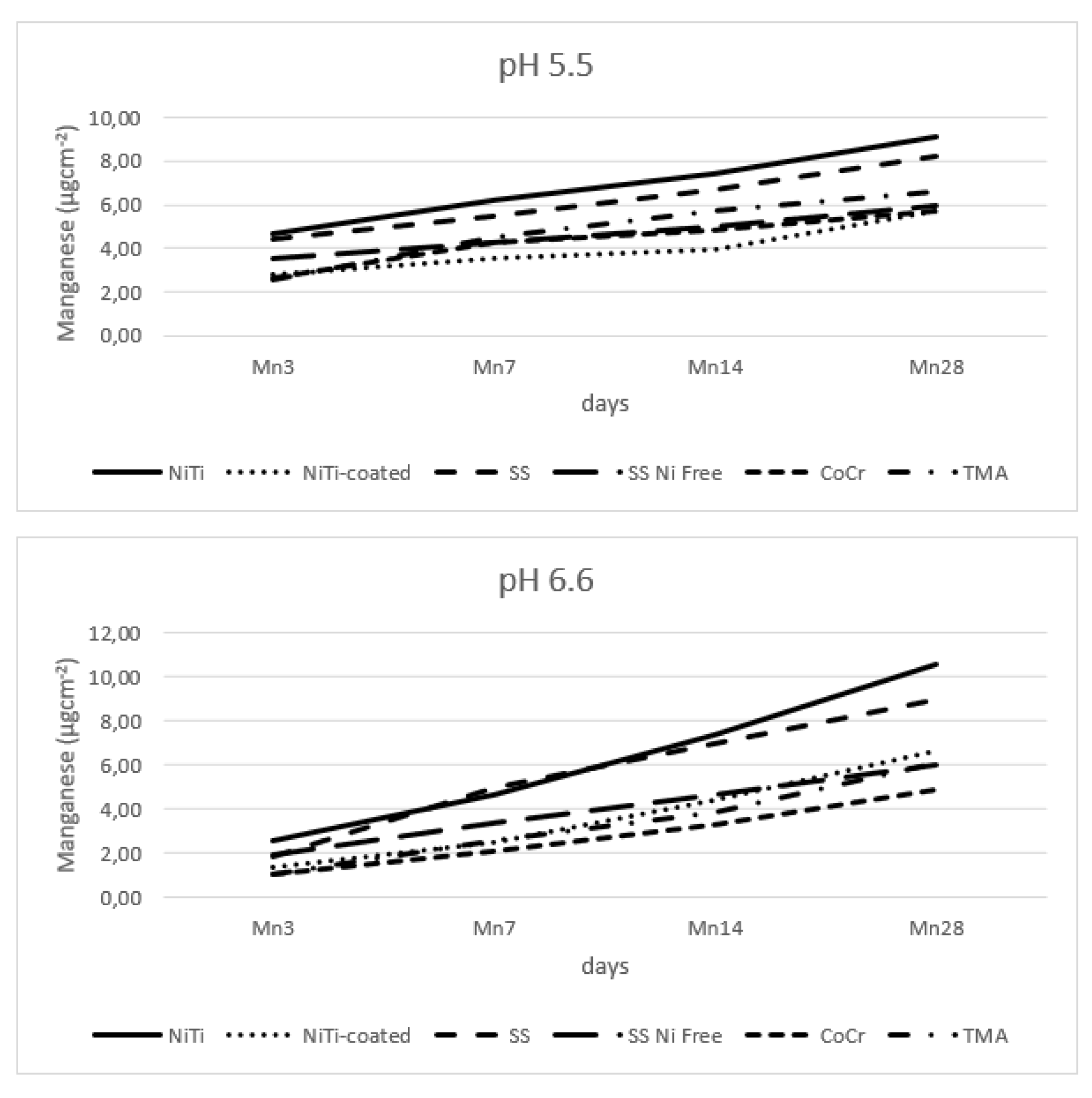
3.5. Manganese Release
3.6. Molybdenum Release
3.7. Cobalt Release
4. Discussion
5. Conclusions
Author Contributions
Funding
Data Availability Statement
Acknowledgments
Conflicts of Interest
References
- Upadhyay D, Panchal MA, Dubey RS, Srivastava VK. Corrosion of alloys used in dentistry: A review. Mat Sci Eng. 2006;432(1-2):1-11.
- Westphalen GH, Menezes LM, Prá D, Garcia GG, Schmitt VM, Henriques JA, Medina-Silva R. In vivo determination of genotoxicity induced by metals from orthodontic appliances using micronucleus and comet assays. Genet Mol Res. 2008;7(4):1259-66. PMID: 19065761. [CrossRef]
- Wichelhaus, A.; Geserick, M.; Hibst, R.; Sander, F.G. The effect of surface treatment and clinical use on friction in NiTi orthodontic wires. Dent. Mater. 2005, 21, 938–945. PMID: 15923033. [CrossRef]
- Quadras DD, Nayak USK, Kumari NS, Priyadarshini HR, Gowda S, Fernandes B. In vivo study on the release of nickel, chromium, and zinc in saliva and serum from patients treated with fixed orthodontic appliances. Dent Res J (Isfahan). 2019;16(4):209-215. PMID: 31303873; PMCID: PMC6596177.
- Prokisch H, Scharfe C, Camp DG 2nd, Xiao W, David L, Andreoli C, Monroe ME, Moore RJ, Gritsenko MA, Kozany C, Hixson KK, Mottaz HM, Zischka H, Ueffing M, Herman ZS, Davis RW, Meitinger T, Oefner PJ, Smith RD, Steinmetz LM. Integrative analysis of the mitochondrial proteome in yeast. PLoS Biol. 2004;2(6):e160. . Epub 2004 Jun 15. PMID: 15208715; PMCID: PMC423137. [CrossRef]
- Chikhale, R., Akhare, P., Umre, U., Jawlekar, R., Kalokhe, S., Badole, N., & Beri, A. In Vitro Comparison to Evaluate Metal Ion Release: Nickel-Titanium vs. Titanium-Molybdenum Orthodontic Archwires. Cureus, 2024 16(3), e56595. [CrossRef]
- Hosiner D, Gerber S, Lichtenberg-Fraté H, Glaser W, Schüller C, Klipp E. Impact of acute metal stress in Saccharomyces cerevisiae. PLoS ONE. 2014 Jan 9;9(1):e83330. PMID: 24416162; PMCID: PMC3886979. [CrossRef]
- Shemtov-Yona K, Rittel D, Levin L; et al. The effect of oral-like environment on dental implants’ fatigue performance. Clin Oral Implants Res. 2014;25:e166–70.
- Noguti J, de Oliveira F, Peres RC; et al. The role of fluoride on the process of Ti corrosion in oral cavity. Biometals. 2012;25:859–62.
- R. Messer, J. Wataha, Dental Materials: Biocompatibility, Editor(s): K.H. Jürgen Buschow, Robert W. Cahn, Merton C. Flemings, Bernhard Ilschner, Edward J. Kramer, Subhash Mahajan, Patrick Veyssière, Encyclopedia of Materials: Science and Technology, Elsevier, 2002, Pages 1-10, ISBN 9780080431529. [CrossRef]
- Schmalz G, Garhammer P. Biological interactions of dental cast alloys with oral tissues. Dent Mater. 2002 Jul;18(5):396-406. PMID: 12175579. [CrossRef]
- Tibau AV, Grube BD, Velez BJ, Vega VM, Mutter J. Titanium exposure and human health. Oral Sci Int. 2019;16:15–24. [CrossRef]
- Evrard L, Waroquier D, Parent D. Allergies to dental metals. Ti: A new allergen. Rev Med Brux. 2010;31:44–9.
- Lee J-J, Song K-Y, Ahn S-G; et al. Evaluation of effect of galvanic corrosion between nickel-chromium metal and Ti on ion release and cell toxicity. J Adv Prosthodont. 2015;7:172–7.
- REGULATION OF THE EUROPEAN PARLIAMENT AND OF THE COUNCIL amending Regulation (EU) 2017/852 on mercury as regards dental amalgam and other mercury-added products subject to export, import and manufacturing restrictions. Accessed on June 3, 2024: https://data.consilium.europa.eu/doc/document/PE-53-2024-INIT/en/pdf.
- Vaicelyte, A.; Janssen, C.; Le Borgne, M.; Grosgogeat, B. Cobalt–Chromium Dental Alloys: Metal Exposures, Toxicological Risks, CMR Classification, and EU Regulatory Framework. Crystals 2020, 10, 1151. [CrossRef]
- Katić V, Curković HO, Semenski D, Baršić G, Marušić K, Spalj S. Influence of surface layer on mechanical and corrosion properties of nickel-titanium orthodontic wires. Angle Orthod. 2014;84(6):1041-8. Epub 2014 Mar 21. PMID: 24654939; PMCID: PMC8638488. [CrossRef]
- Jusufi Osmani, Z.; Poljšak, B.; Zelenika, S.; Kamenar, E.; Marković, K.; Perčić, M.; Katić, V. Ion Release and Surface Changes of Nickel–Titanium Archwires Induced by Changes in the pH Value of the Saliva—Significance for Human Health Risk Assessment. Materials 2022, 15, 1994. [CrossRef]
- Iijima M, Muguruma T, Brantley W, Choe HC, Nakagaki S, Alapati SB, Mizoguchi I. Effect of coating on properties of esthetic orthodontic nickel-titanium wires. Angle Orthod. 2012;82(2):319-25. Epub 2011 Aug 9. PMID: 21827235; PMCID: PMC8867949. [CrossRef]
- Jamilian A, Moghaddas O, Toopchi S, Perillo L. Comparison of nickel and chromium ions released from stainless steel and NiTi wires after immersion in Oral B®, Orthokin® and artificial saliva. J Contemp Dent Pract 2014;15(4):403-6.
- Arndt M, Brück A, Scully T, Jäger A, Bourauel C. Nickel ion release from orthodontic Ni-Ti wires under simulation of realistic in-situ conditions. J Mater Sci. 2005;40:3659–67.
- R Core Team. R: A language and environment for statistical computing. R Foundation for Statistical Computing, 2013; Vienna, Austria. ISBN 3-900051-07-0, URL http://www.R-project.org/.
- Kline RB. Principles and practice of structural equation modelling. 2016; Guilford Press, New York, USA.
- Laird C, Xu X, Yu Q, Armbruster P, Ballard R. Nickel and chromium ion release from coated and uncoated orthodontic archwires under different pH levels and exposure times. J Oral Biosci. 2021;63(4):450-454. PMID: 34740833. [CrossRef]
- Edward Cho, Zuisei Kanno, Ikuo Yonemitsu, Hajime Kiyokawa, Nobutaka Ohira, Takashi Ono, Motohiro Uo, Effect of rhodium plating on the ion dissolution from nickel-titanium and pure nickel wires, Asian Pacific Journal of Dentistry, 2022, Volume 22, Issue 2, Pages 21-28. [CrossRef]
- Bonefeld CM, Nielsen MM, Vennegaard MT, Johansen JD, Geisler C, Thyssen JP. Nickel acts as an adjuvant during cobalt sensitization. Exp Dermatol. 2015;24(3):229-31. PMID: 25580744. [CrossRef]
- Fretwurst T, Buzanich G, Nahles S; et al. Metal elements in tissue with dental peri-implantitis: A pilot study. Clin Oral Implants Res. 2016;9:1178–86.
- Wachi T, Shuto T, Shinohara Y; et al. Release of Ti ions from an implant surface and their effect on cytokine production related to alveolar bone resorption. Toxicology. 2015;327:1–9.
- IARC Monographs on the Evaluation of Carcinogenic Risks to Humans. Chromium, Nickel and Welding. Volume 49. Available online: https://publications.iarc.fr/67 (accessed on 27 June 2024).
- National Toxicology Program. Available online: https://ntp.niehs.nih.gov/pubhealth/roc/index-1.html (accessed on 27 June 2024).
- Biological Responses to Metal Implants. FDA Report Published on September 2019. Available online: https://www.fda.gov/media/132446/download (accessed on 28 June 2024).
- Harischandra DS, Ghaisas S, Zenitsky G, Jin H, Kanthasamy A, Anantharam V, Kanthasamy AG. Manganese-Induced Neurotoxicity: New Insights Into the Triad of Protein Misfolding, Mitochondrial Impairment, and Neuroinflammation. Front Neurosci. 2019;13:654. PMID: 31293375; PMCID: PMC6606738. [CrossRef]
- Agency for Toxic Substances and Disease Registry. Division of Toxicology and Human Health Sciences. Environmental Toxicology Branch. U.S. Department of Health and Human Services. Toxicological profile for molybdenum: Draft for public comment.external link disclaimer April 2017.
- Köster R, Vieluf D, Kiehn M, Sommerauer M, Kähler J, Baldus S, Meinertz T, Hamm CW. Nickel and molybdenum contact allergies in patients with coronary in-stent restenosis. Lancet. 2000;356(9245):1895-7. Erratum in: Lancet 2001 Jan 27;357(9252):316. PMID: 11130387. [CrossRef]
- Jaishankar M, Tseten T, Anbalagan N, Mathew BB, Beeregowda KN. Toxicity, mechanism and health effects of some heavy metals. Interdiscip Toxicol. 2014; 7(2):60-72. PMID: 26109881; PMCID: PMC4427717. [CrossRef]
- Kim KT, Eo MY, Nguyen TTH, Kim SM. General review of titanium toxicity. Int J Implant Dent. 2019;5(1):10. PMID: 30854575; PMCID: PMC6409289. [CrossRef]
- Grosgogeat, B.; Vaicelyte, A.; Gauthier, R.; Janssen, C.; Le Borgne, M. Toxicological Risks of the Cobalt–Chromium Alloys in Dentistry: A Systematic Review. Materials 2022, 15, 5801. [CrossRef]








| Effect | DFn1 | DFd2 | F3 | p4 | ges5 |
|---|---|---|---|---|---|
| alloy | 1.0 | 16.00 | 703.27 | 0.000 | 0.967 |
| pH | 1.0 | 16.00 | 277.97 | 0.000 | 0.921 |
| time | 1.5 | 23.93 | 1946.00 | 0.000 | 0.975 |
| alloy:pH | 1.0 | 16.00 | 188.09 | 0.000 | 0.888 |
| alloy:time | 1.5 | 23.93 | 79.59 | 0.000 | 0.619 |
| pH:time | 1.5 | 23.93 | 1.31 | 0.280 | 0.026 |
| alloy:pH:time | 1.5 | 23.93 | 3.79 | 0.048 | 0.072 |
| Effect | DFn1 | DFd2 | F3 | p4 | ges5 |
|---|---|---|---|---|---|
| alloy | 1.00 | 16.00 | 116.44 | 0.000 | 0.852 |
| pH | 1.00 | 16.00 | 66.34 | 0.000 | 0.767 |
| time | 1.04 | 16.72 | 198.19 | 0.000 | 0.720 |
| alloy:pH | 1.00 | 16.00 | 26.27 | 0.000 | 0.566 |
| alloy:time | 1.04 | 16.72 | 83.05 | 0.000 | 0.518 |
| pH:time | 1.04 | 16.72 | 111.83 | 0.000 | 0.592 |
| alloy:pH:time | 1.04 | 16.72 | 66.41 | 0.000 | 0.462 |
| Effect | DFn1 | DFd2 | F3 | p4 | ges5 |
|---|---|---|---|---|---|
| alloy | 1.00 | 16.00 | 105.94 | 0.000 | 0.864 |
| pH | 1.00 | 16.00 | 338.63 | 0.000 | 0.953 |
| time | 1.78 | 28.46 | 10382.57 | 0.000 | 0.962 |
| alloy:pH | 1.00 | 16.00 | 0.91 | 0.355 | 0.052 |
| alloy:time | 1.78 | 28.46 | 783.81 | 0.000 | 0.657 |
| pH:time | 1.78 | 28.46 | 123.36 | 0.000 | 0.232 |
| alloy:pH:time | 1.78 | 28.46 | 18.75 | 0.000 | 0.044 |
| Effect | DFn1 | DFd2 | F3 | p4 | ges5 |
|---|---|---|---|---|---|
| alloy | 1.00 | 16.00 | 19.68 | 0.000 | 0.534 |
| pH | 1.00 | 16.00 | 2.73 | 0.118 | 0.137 |
| time | 1.17 | 18.74 | 1062.00 | 0.000 | 0.820 |
| alloy:pH | 1.00 | 16.00 | 0.08 | 0.785 | 0.004 |
| alloy:time | 1.17 | 18.74 | 67.33 | 0.000 | 0.224 |
| pH:time | 1.17 | 18.74 | 92.44 | 0.000 | 0.284 |
| alloy:pH:time | 1.17 | 18.74 | 11.91 | 0.002 | 0.049 |
| Effect | DFn1 | DFd2 | F3 | p4 | ges5 |
|---|---|---|---|---|---|
| alloy | 1.00 | 16.0 | 448.72 | 0.000 | 0.963 |
| pH | 1.00 | 16.0 | 115.28 | 0.000 | 0.869 |
| time | 1.07 | 17.2 | 656.49 | 0.000 | 0.760 |
| alloy:pH | 1.00 | 16.0 | 2.30 | 0.149 | 0.117 |
| alloy:time | 1.07 | 17.2 | 18.04 | 0.000 | 0.080 |
| pH:time | 1.07 | 17.2 | 58.63 | 0.000 | 0.221 |
| alloy:pH:time | 1.07 | 17.2 | 2.11 | 0.164 | 0.010 |
| Effect | DFn1 | DFd2 | F3 | p4 | ges5 |
|---|---|---|---|---|---|
| alloy | 1.00 | 16.0 | 2952.04 | 0.000 | 0.994 |
| pH | 1.00 | 16.0 | 1143.87 | 0.000 | 0.986 |
| time | 1.28 | 20.4 | 188.40 | 0.000 | 0.321 |
| alloy:pH | 1.00 | 16.0 | 1129.63 | 0.000 | 0.985 |
| alloy:time | 1.28 | 20.4 | 160.17 | 0.000 | 0.286 |
| pH:time | 1.28 | 20.4 | 83.23 | 0.000 | 0.173 |
| alloy:pH:time | 1.28 | 20.4 | 76.17 | 0.000 | 0.160 |
Disclaimer/Publisher’s Note: The statements, opinions and data contained in all publications are solely those of the individual author(s) and contributor(s) and not of MDPI and/or the editor(s). MDPI and/or the editor(s) disclaim responsibility for any injury to people or property resulting from any ideas, methods, instructions or products referred to in the content. |
© 2024 by the authors. Licensee MDPI, Basel, Switzerland. This article is an open access article distributed under the terms and conditions of the Creative Commons Attribution (CC BY) license (http://creativecommons.org/licenses/by/4.0/).