Submitted:
26 June 2024
Posted:
27 June 2024
You are already at the latest version
Abstract

Keywords:
1. Introduction
2. Materials and Methods
2.1. Data Collection
2.2. Data Handling
3. Results
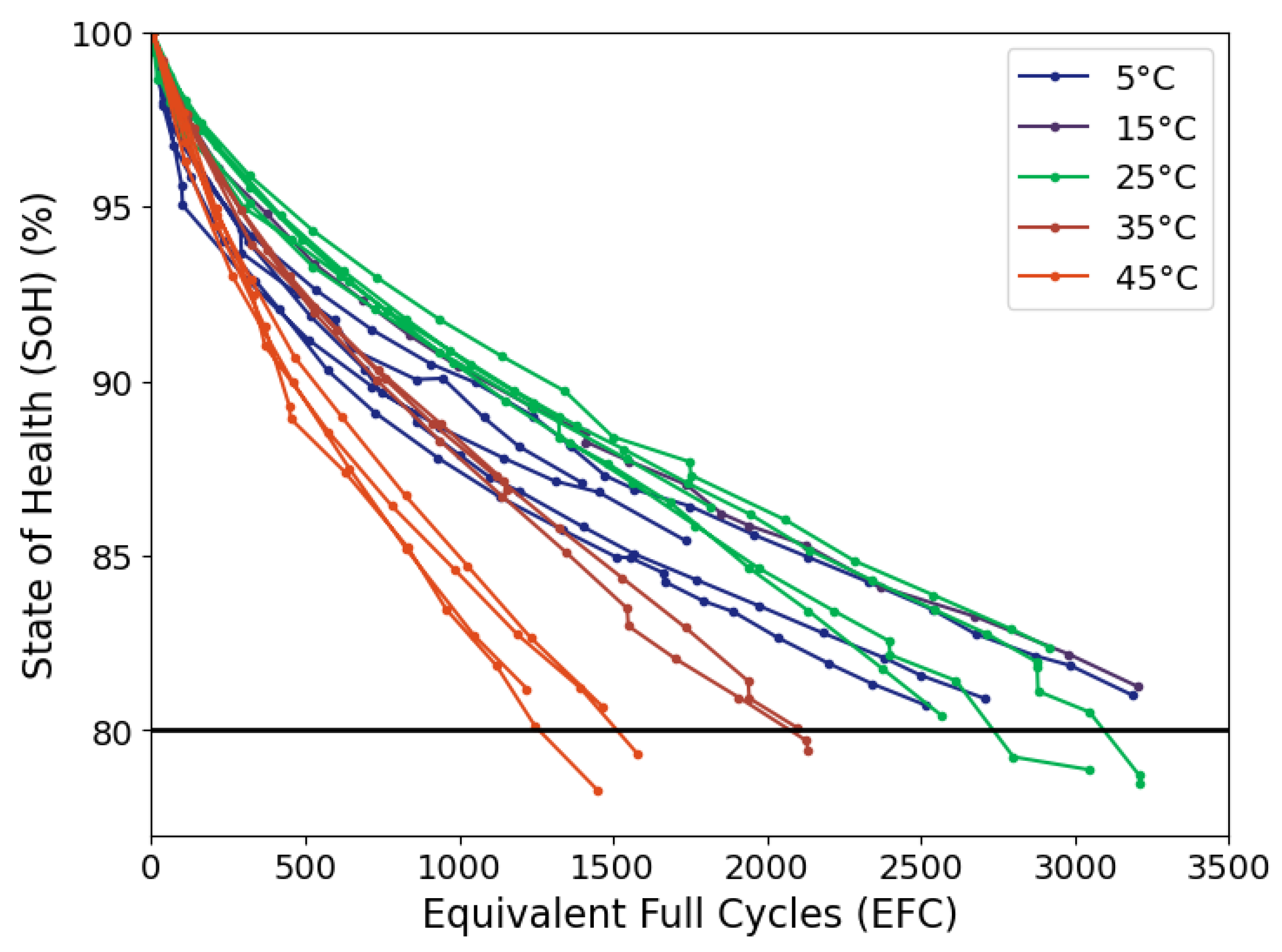
3.1. Cycle Life
3.2. Qualitative Aging Diagnostics via ICA
3.3. Measurement of OCV Curves
3.4. Influence of Pulsing-Parameters on OCV-ICA
3.5. Direct Comparison of CC-ICA and OCV-ICA
4. Discussion
Author Contributions
Funding
Data Availability Statement
- .csv of differently obtained OCV curves
- .csv of selected dQ/dV curves
- .csv of lifetime data
Conflicts of Interest
References
- Lian, T.; Vie, P.J.S.; Gilljam, M.; Forseth, S. (Invited) Changes in Thermal Stability of Cyclic Aged Commercial Lithium-Ion Cells. ECS Transactions 2019, 89, 73–81. [Google Scholar] [CrossRef]
- Ratnakumar, B.V.; Smart, M.C. Lithium Plating Behavior in Lithium-ion Cells. In Rechargeable Lithium-Ion Batteries, Winter, M., Doughty, D.H., Zaghib, K., Abraham, K.M., Ogumi, Z., Dudney, N.J., Eds. Electrochemical Soc Inc: Pennington, 2010; Vol. 25, pp. 241–252.
- Smith, A.J.; Fang, Y.; Mikheenkova, A.; Ekstrom, H.; Svens, P.; Ahmed, I.; Lacey, M.J.; Lindbergh, G.; Furo, I.; Lindstrom, R.W. Localized lithium plating under mild cycling conditions in high-energy lithium-ion batteries. Journal of Power Sources 2023, 573, 15. [Google Scholar] [CrossRef]
- Cabrera-Castillo, E.; Niedermeier, F.; Jossen, A. Calculation of the state of safety (SOS) for lithium ion batteries. Journal of Power Sources 2016, 324, 509–520. [Google Scholar] [CrossRef]
- Goldammer, E.; Kowal, J. Investigation of degradation mechanisms in lithium-ion batteries by incremental open-circuit-voltage characterization and impedance spectra. In Proceedings of 17th IEEE Vehicle Power and Propulsion Conference (VPPC), Electr Network, Nov 18-Dec 16.
- Yin, L.T.; Geng, Z.Y.; Chien, Y.C.; Thiringer, T.; Lacey, M.J.; Andersson, A.M.; Brandell, D. Implementing intermittent current interruption into Li-ion cell modelling for improved battery diagnostics. Electrochimica Acta 2022, 427, 12. [Google Scholar] [CrossRef]
- Dubarry, M.; Svoboda, V.; Hwu, R.; Liaw, B.Y. Incremental capacity analysis and close-to-equilibrium OCV measurements to quantify capacity fade in commercial rechargeable lithium batteries. Electrochem. Solid State Lett. 2006, 9, A454–A457. [Google Scholar] [CrossRef]
- Olson, J.Z.; López, C.M.; Dickinson, E.J.F. Differential Analysis of Galvanostatic Cycle Data from Li-Ion Batteries: Interpretative Insights and Graphical Heuristics. Chem. Mat. 2023, 35, 1487–1513. [Google Scholar] [CrossRef]
- Takano, K.; Saito, Y.; Kanari, K.; Nozaki, K.; Kato, K.; Negishi, A.; Kato, T. Entropy change in lithium ion cells on charge and discharge. Journal of Applied Electrochemistry 2002, 32, 251–258. [Google Scholar] [CrossRef]
- Petzl, M.; Danzer, M.A. Advancements in OCV Measurement and Analysis for Lithium-Ion Batteries. IEEE Trans. Energy Convers. 2013, 28, 675–681. [Google Scholar] [CrossRef]
- Blanc, J.; Schaeffer, E.; Auger, F.; Diab, Y.; Cousseau, J.F. A new time-adjustable model-based method for fast open-circuit voltage estimation of Lithium-ion cells. Journal of Power Sources 2023, 586, 12. [Google Scholar] [CrossRef]
- Zhou, M.Y.; Zhang, J.B.; Ko, C.J.; Chen, K.C. Precise prediction of open circuit voltage of lithium ion batteries in a short time period. Journal of Power Sources 2023, 553, 11. [Google Scholar] [CrossRef]
- Prosser, R.; Offer, G.; Patel, Y. Lithium-Ion Diagnostics: The First Quantitative In-Operando Technique for Diagnosing Lithium Ion Battery Degradation Modes under Load with Realistic Thermal Boundary Conditions. Journal of the Electrochemical Society 2021, 168, 14. [Google Scholar] [CrossRef]
- Spitthoff, L.; Vie, P.J.S.; Wahl, M.S.; Wind, J.; Burheim, O.S. Incremental Capacity Analysis (dQ/dV) as a Tool for Analysing the Effect of Ambient Temperature And Mechanical Clamping on Degradation. Journal of Electroanalytical Chemistry 2023. [Google Scholar] [CrossRef]










| Test type | SoC resolution (%) | OCV time (min) | Total test time (days) |
|---|---|---|---|
| OCV | 1 | 1 | 0.3 |
| OCV | 1 | 3 | 0.6 |
| OCV | 1 | 5 | 0.9 |
| OCV | 1 | 15 | 2.3 |
| OCV | 1 | 30 | 4.3 |
| OCV | 0.5 | 1 | 0.4 |
| OCV | 0.5 | 5 | 1.6 |
| OCV | 0.5 | 15 | 4.3 |
| OCV | 0.5 | 30 | 8.5 |
| OCV | 0.5 | 60 | 16.8 |
| CC-0.05C | 1.7 | ||
| CC-0.01C | 8.3 |
Disclaimer/Publisher’s Note: The statements, opinions and data contained in all publications are solely those of the individual author(s) and contributor(s) and not of MDPI and/or the editor(s). MDPI and/or the editor(s) disclaim responsibility for any injury to people or property resulting from any ideas, methods, instructions or products referred to in the content. |
© 2024 by the authors. Licensee MDPI, Basel, Switzerland. This article is an open access article distributed under the terms and conditions of the Creative Commons Attribution (CC BY) license (http://creativecommons.org/licenses/by/4.0/).