Submitted:
21 June 2024
Posted:
24 June 2024
You are already at the latest version
Abstract
Keywords:
1. Introduction
- (1)
- What are the divergent influence of counter-seasonally and naturally hydrological regimes on the plant community species composition and functional traits in the two types of the WLFZs (i.e., RWLFZ and NRZ) in the Xiangxi River of the TGR?
- (2)
- What are the divergent niche characteristics of dominant species of plant communities in the two types of the WLFZs (i.e. RWLFZ and NRZ) and the mechanisms of competition of dominant plant guilds in the Xiangxi River of the TGR?
- (3)
- What are the ecological adaptation strategies of plant guilds based on functional traits and niche characteristics in the different types of the WLFZs of the TGR?
Study area and research method
2.1. Study area overview
2.2. Field investigation and sampling
2.3. Leaf functional traits
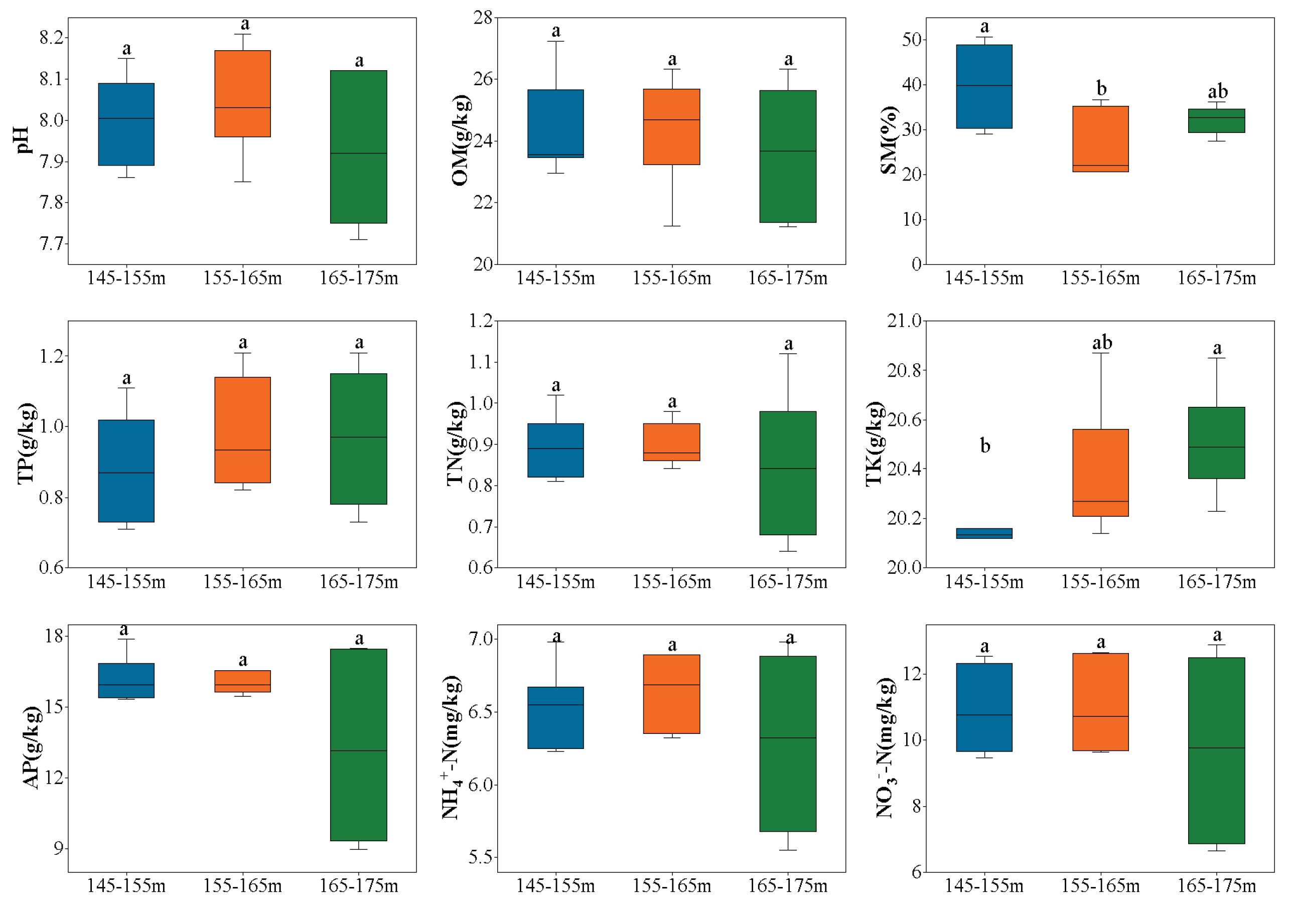
2.4. Environmental factors
2.5. Data analysis
2.5.1. Importance value
2.5.2. Species diversity index
2.5.3. Niche breadth
2.5.4. Niche overlap
2.6. Redundancy Analysis (RDA) and Detrended Correspondence Analysis (DCA)
Results
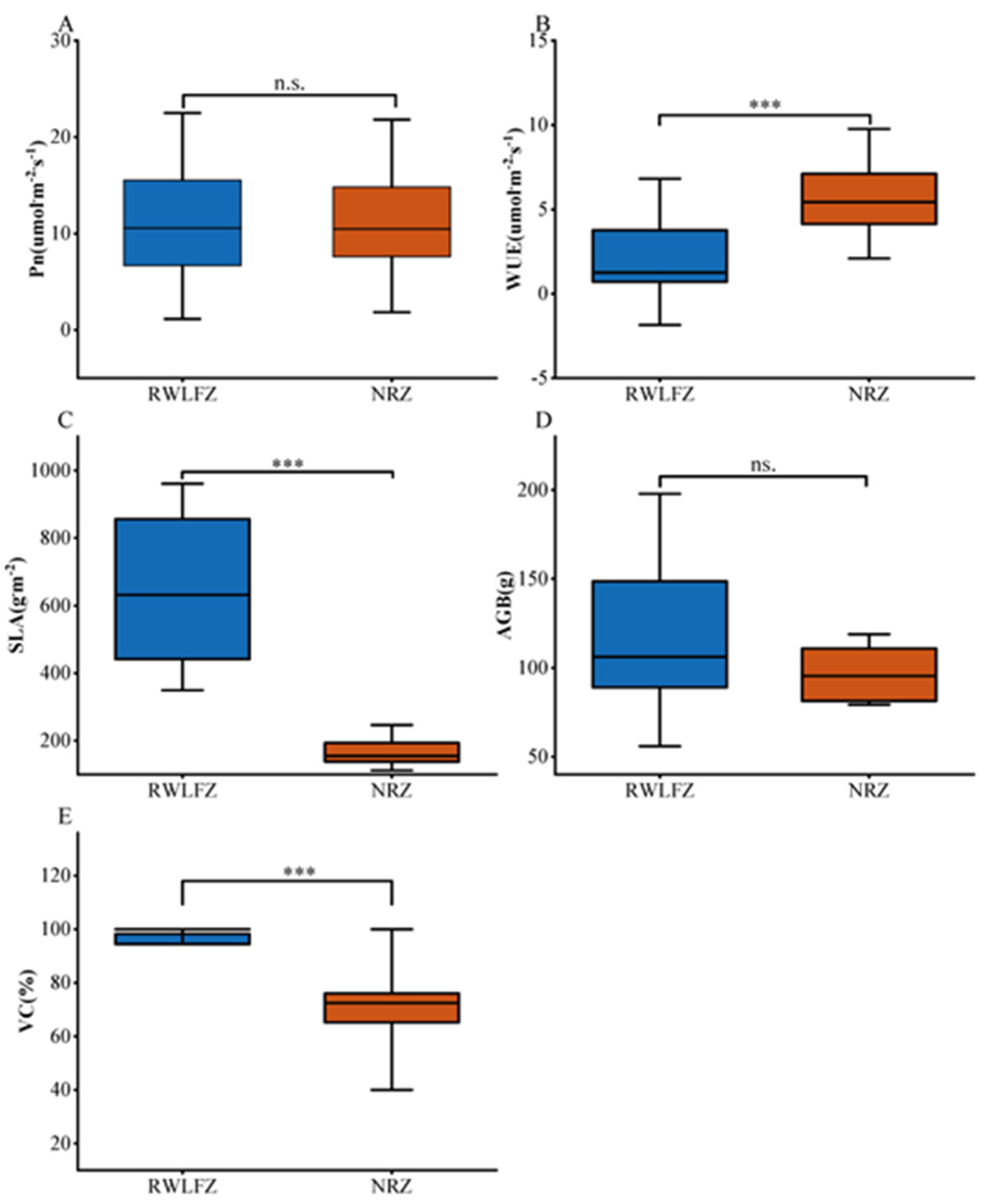
3.1. Plant community characteristics of the RWLFZ and NRZ
3.2. Plant community diversity of the RWLFZs and NRZs
3.3. Functional traits of dominant plant species of the RWLFZs and NRZs
3.4. Niche overlap and niche breadth
3.4.1. The reservoir water level fluctuation zones (RWLFZs)
3.4.2. The natural riparian zones (NRZs).
3.5. DCA ordination of sampling sites and Species
3.6. RDA of species and environmental variables
- (1)
- the contributions of elevation (F=3.3, p <0.01), TK (F=3.2, p <0.01) and flooding duration (F=3.1, p <0.01) were significant during the forward selection; (2) the contributions of the remaining variables were not significant. The RDA results also showed that there was a strong correlation between vegetation and environmental factors, with species-environment correlations of 0.9858 on the first axis and 0.9236 on the second axis. The eigenvalues for the first four RDA axes were 0.2388, 0.128, 0.1133 and 0.0771. The cumulative percentage variance of species-environment relations of the first axis and second axis were 30.42% and 46.73%, respectively. The sum of all the RDA canonical eigenvalues was 0.785. The angles between the vector segments of elevation, TK and flooding duration and the first order axis were small, indicating that these three environmental indicators mainly affected the distribution of species on the first order axis. The arrow of elevation and TK were located in the first quadrant, indicating that elevation and TK was positively related to the first sorting axis. E. villosa, S. viridis and X. sibiricum were distributed in the higher elevation with high TK content. Flooding duration was in the second quadrant and had a negative correlation with the first sort axis. E. indica, P. oleracea and L. procumbens were distributed in the lower elevation. So, the main factors affecting the distribution of the plant community in TGR were elevation, TK and flooding duration.
4. Discussion
4.1. Plant community characteristics and their ecological adaptation strategies in different types of the WLFZs
4.2. Dominant plant niches and biodiversity coexistence and resource utilization mechanism in the different water level fluctuation zones
4.3. Distribution patterns of species diversity in the RWLFZ
4.4. Restoration implications
5. Conclusion
Author Contributions
Funding
Data Availability Statement
Acknowledgments
Conflicts of Interest
Appendix A
| Species | Life form | Family | Genera | ||||
| WLFZ | NRZ | ||||||
| Lv | Bi | Lv | Bi | ||||
| Cynodon dactylon | Perennial herb | Gramineae | Cynodon | 0.789 | 0.444 | 0.478 | 0.289 |
| Bidens pilosa | Annual | Compositae | Bidens | 0.636 | 0.059 | 0.461 | 0.076 |
| herbaceous | |||||||
| Xanthium sibiricum | Annual | Compositae | Xanthium | 0.505 | 0.068 | 0.228 | 0.101 |
| herbaceous | |||||||
| Echinochloa crusgalli | Annual | Gramineae | Echinochloa | 0.47 | 0.097 | 0.371 | 0.193 |
| herbaceous | |||||||
| Polygonum hydropiper | Annual | Polygonaceae | Polygonum | 0.309 | 0.065 | 0.197 | 0.088 |
| herbaceous | |||||||
| Abutilon theophrasti | Annual | Malvaceae | Abutilon | 0.305 | 0.061 | 0.48 | 0.047 |
| herbaceous | |||||||
| Acalypha australis | Annual | Euphorbiaceae | Acalypha | 0.293 | 0.028 | 0.056 | 0.008 |
| herbaceous | |||||||
| Eclipta prostrata | Annual | Eclipta | 0.28 | 0.056 | 0.465 | 0.065 | |
| herbaceous | Compositae | ||||||
| Cyperus rotundus | Perennial herb | Cyperaceae | Cyperus | 0.249 | 0.127 | 0.1 | 0.073 |
| Setaria viridis | Annual | Gramineae | Setaria | 0.24 | 0.078 | 0.376 | 0.112 |
| herbaceous | |||||||
| Digitaria sanguinalis | Annual | Gramineae | Digitaria | 0.131 | 0.041 | 0.192 | 0.021 |
| herbaceous | |||||||
| Eleusine indica | Annual | Gramineae | Eleusine | 0.129 | 0.085 | 0.289 | 0.057 |
| herbaceous | |||||||
| Polygonum lapathifolium | Annual | Polygonaceae | Polygonum | 0.125 | 0.023 | - | - |
| herbaceous | |||||||
| Arthraxon hispidus | Annual | Gramineae | Arthraxon | 0.108 | 0.023 | - | - |
| herbaceous | |||||||
| Phyllanthus urinaria | Annual | Euphorbiaceae | Phyllanthus | 0.089 | 0.02 | - | - |
| herbaceous | |||||||
| Amaranthus retroflexus | Annual | Amaranthaceae | Amaranthus | 0.085 | 0.042 | 0.13 | 0.038 |
| herbaceous | |||||||
| Portulaca oleracea | Annual | Portulacacea | Portulaca | 0.085 | 0.037 | 0.111 | 0.01 |
| herbaceous | |||||||
| Eriochloa villosa | Annual | Gramineae | Eriochloa | 0.08 | 0 | - | - |
| herbaceous | |||||||
| Conyza canadensis | Annual | Compositae | Conyza | 0.077 | 0.014 | 0.212 | 0.053 |
| herbaceous | |||||||
| Solanum nigrum | Annual | Solanaceae | Solanum | 0.076 | 0.017 | 0.143 | 0.072 |
| herbaceous | |||||||
| Alternanthera philoxeroides | Perennial herb | Amaranthaceae | Alternanthera | 0.071 | 0.02 | - | - |
| Pharbitis purpurea | Annual | Convolvulaceae | Pharbitis | 0.049 | 0.121 | - | - |
| herbaceous | |||||||
| Artemisia argyi | Perennial herb | Compositae | Artemisia | 0.044 | 0.013 | 0.124 | 0.235 |
| Humulus scandens | Annual twining herb | Moraceae | Humulus | 0.042 | 0.045 | 0.148 | 0.021 |
| Lindernia procumbens | Annual | Scrophulariaceae | Lindernia | 0.041 | 0.026 | 0.102 | 0.02 |
| herbaceous | |||||||
| Artemisia capillaris | Perennial herb | Compositae | Artemisia | 0.041 | 0.017 | - | - |
| Mazus japonicus | Annual | Scrophulariaceae | Mazus | 0.035 | 0.031 | - | - |
| herbaceous | |||||||
| Gnaphalium affine | Annual | Compositae | Gnaphalium | 0.033 | 0.005 | - | - |
| herbaceous | |||||||
| Crassocephalum crepidioides | Annual | Compositae | Crassocephalum | 0.033 | 0.01 | 0.083 | 0.034 |
| herbaceous | |||||||
| Kummerowia striata | Annual | Leguminosae | Kummerowia | 0.033 | 1.887 | 0.138 | 0.015 |
| herbaceous | |||||||
| Daucus carota | Perennial herb | Umbelliferae | Daucus | 0.025 | 0.012 | - | - |
| Phytolacca acinosa | Perennial herb | Phytolaccaceae | Phytolacca | 0.022 | 0.046 | - | - |
| Chenopodium album | Annual | Chenopodiaceae | Chenopodium | 0.022 | 0.053 | - | - |
| herbaceous | |||||||
| Siegesbeckia orientalis | Annual | Compositae | Siegesbeckia | 0.021 | 0.038 | - | - |
| herbaceous | |||||||
| Polygonum plebeium | Annual | Polygonaceae | Polygonum | 0.019 | 0.005 | 0.037 | 0.006 |
| herbaceous | |||||||
| Stellaria media | Biennial herbs | Caryophyllaceae | Stellaria | 0.011 | 0.002 | 0.083 | 0.041 |
| Gynura formosana | Perennial herb | Compositae | Gynura | 0.011 | 0.004 | - | - |
| Clinopodium chinense | Perennial herb | Labiatae | Clinopodium | 0.011 | 0.002 | - | - |
| Sapium sebiferum | Tree | Euphorbiaceae | Sapium | 0.011 | 0.004 | - | - |
| Convolvulus arvensis | Perennial herb | Convolvulaceae | Convolvulus | 0.011 | 0.003 | - | - |
| Paederia scandens | Perennial twining herb | Rubiaceae | Paederia | 0.011 | 0.005 | - | - |
| Lindernia procumbens | Annual | Scrophulariaceae | Lindernia | 0.011 | 0.011 | - | - |
| herbaceous | |||||||
| Cucumis sativus | Annual Vines herb | Cucurbitaceae | Cucumis | 0.011 | 0.003 | - | - |
| Melilotus officinalis | Biennial herbs | Leguminosae | Melilotus | 0.011 | 0.039 | - | - |
| Dendranthema indicum | Perennial herb | Compositae | Dendranthema | 0.011 | 0.009 | - | - |
| Broussonetia papyrifera | Tree | Moraceae | Broussonetia | 0.011 | 0.024 | - | - |
| Corydalis pallida | Annual | Papaveraceae | Corydalis | 0.011 | 0.019 | - | - |
| herbaceous | |||||||
| Ixeridium chinense | Perennial herb | Compositae | Ixeridium | 0.011 | 0.031 | - | - |
| Rhus chinensis | Deciduous small trees or shrubs | Anacardiaceae | Rhus | 0.011 | 0.071 | - | - |
| Pennisetum alopecuroides | Perennial herb | Gramineae | Pennisetum | - | - | 0.184 | 0.035 |
| Chenopodium ambrosioides | Annual or perennial herbs | Chenopodiaceae | Chenopodium | - | - | 0.101 | 0.008 |
| Salix variegata | shrub | Salicaceae | Salix | - | - | 0.093 | 0.014 |
| Ludwigia prostrata | Annual | Onagraceae | Ludwigia | - | - | 0.093 | 0.017 |
| herbaceous | |||||||
| Cyperus difformis | Annual | Cyperaceae | Cyperus | - | - | 0.12 | 0.016 |
| herbaceous | |||||||
| Artemisia annua | Annual | Compositae | Artemisia | - | - | 0.177 | 0.04 |
| herbaceous | |||||||
| Ranunculus sieboldii | Perennial herb | Ranunculaceae | Ranunculus | - | - | 0.056 | 0.005 |
| Oxalis corniculata | Perennial herb | Oxalidaceae | Oxalis | - | - | 0.037 | 0.008 |
| Youngia japonica | Annual | Compositae | Youngia | - | - | 0.098 | 0.047 |
| herbaceous | |||||||
| Rorippa indica | Biennial herbs | Cruciferae | Rorippa | - | - | 0.648 | 0.158 |
| Eragrostis minor | Annual | Poaceae | Eragrostis | - | - | 0.246 | 0.024 |
| herbaceous | |||||||
| Oxalis corniculata | Annual | Oxalidaceae | Oxalis | - | - | 0.167 | 0.025 |
| herbaceous | |||||||
| Debregeasia orientalis | Deciduous small trees or shrubs | Urticaceae | Debregeasia Gaudich. | - | - | 0.496 | 0.098 |
| Veronica didyma | Biennial herbs | Scrophulariaceae | Veronica L. | - | - | 0.083 | 0.012 |
| Cerastium arvense | Perennial herb | Caryophyllaceae | Cerastium | - | - | 0.162 | 0.016 |
| Arabidopsis thaliana | Annual or perennial herbs | Cruciferae | Arabidopsis | - | - | 0.083 | 0.066 |
| Cardamine hirsuta | Annual | Cruciferae | Cardamine | - | - | 0.166 | 0.039 |
| herbaceous | |||||||
| Fimbristylis dichotoma | Annual | Cyperaceae | Fimbristylis Vahl | - | - | 0.083 | 0.06 |
| herbaceous | |||||||
| Buddleja lindleyana | shrub | Loganiaceae | Buddleja | - | - | 0.167 | 0.036 |
| Rumex japonicus | Perennial herb | Polygonaceae | Rumex | - | - | 0.083 | 0.016 |
| Rumex acetosa | Perennial herb | Polygonaceae | Rumex | - | - | 0.083 | 0.01 |
| Polygonum capitatum | Perennial herb | Polygonaceae | Polygonum | - | - | 0.083 | 0.011 |
| Ambrosia artemisiifolia | Annual or perennial herbs | Compositae | Ambrosia | - | - | 0.083 | 0.054 |
| Galinsoga parviflora | Annual | Compositae | Galinsoga | - | - | 0.25 | 0.051 |
| herbaceous | |||||||
| Polypogon fugax | Annual | Gramineae | Polypogon | - | - | 0.083 | 0.04 |
| herbaceous | |||||||
| Cenchrus echinatus | Annual | Gramineae | Cenchrus | - | - | 0.152 | 0.048 |
| herbaceous | |||||||
| Brachypodium sylvaticum | Perennial herb | Gramineae | Brachypodium | - | - | 0.083 | 0.017 |
| Vicia sepium | Perennial herb | Leguminosae | Vicia | - | - | 0.083 | 0.009 |
| Ricinus communis | Annual | Euphorbiaceae | Ricinus | - | - | 0.083 | 0.033 |
| Number | Plant species | Number | Plant species |
|---|---|---|---|
| 1 | Echinochloa crusgalli | 36 | Chenopodium album |
| 2 | Polygonum hydropiper | 37 | Humulus scandens |
| 3 | Portulaca oleracea | 38 | Melilotus officinalis |
| 4 | Cynodon dactylon | 39 | Artemisia capillaris |
| 5 | Eleusine indica | 40 | Cucumis sativus |
| 6 | Arthraxon hispidus | 41 | Eriochloa villosa |
| 7 | Cyperus rotundus | 42 | Kummerowia striata |
| 8 | Eclipta prostrata | 43 | Daucus carota |
| 9 | Amaranthus retroflexus | 44 | Dendranthema indicum |
| 10 | Polygonum plebeium | 45 | Corydalis pallida |
| 11 | Rumex acetosa | 46 | Broussonetia papyrifera |
| 12 | Lindernia procumbens | 47 | Pennisetum alopecuroides |
| 13 | Abutilon theophrasti | 48 | Artemisia annua |
| 14 | Bidens pilosa | 49 | Oxalis corniculata |
| 15 | Mazus japonicus | 50 | Youngia japonica |
| 16 | Phyllanthus urinaria | 51 | Rumex japonicus |
| 17 | Phytolacca acinosa | 52 | Polygonum lapathifolium |
| 18 | Xanthium sibiricum | 53 | Rorippa indica |
| 19 | Crassocephalum crepidioides | 54 | Arabidopsis thaliana |
| 20 | Acalypha australis | 55 | Veronica didyma |
| 21 | Gnaphalium affine | 56 | Fimbristylis dichotoma |
| 22 | Solanum nigrum | 57 | Debregeasia orientalis |
| 23 | Stellaria media | 58 | Vicia sepium |
| 24 | Gynura formosana | 59 | Ricinus communis |
| 25 | Setaria viridis | 60 | Buddleja lindleyana |
| 26 | Alternanthera philoxeroides | 61 | Ambrosia artemisiifolia |
| 27 | Clinopodium chinense | 62 | Galinsoga parviflora |
| 28 | Digitaria sanguinalis | 63 | Polypogon fugax |
| 29 | Sapium sebiferum | 64 | Cenchrus echinatus |
| 30 | Convolvulus arvensis | 65 | Polygonum capitatum |
| 31 | Pharbitis purpurea | 66 | Brachypodium sylvaticum |
| 32 | Siegesbeckia orientalis | 67 | Cerastium arvense |
| 33 | Artemisia argyi | 68 | Eragrostis minor |
| 34 | Conyza canadensis | 69 | Cardamine hirsuta |
| 35 | Paederia scandens |
| Number | Plant species | Number | Plant species |
|---|---|---|---|
| 1 | Cynodon dactylon | 26 | Artemisia capillaris |
| 2 | Bidens pilosa | 27 | Mazus japonicus |
| 3 | Xanthium sibiricum | 28 | Gnaphalium affine |
| 4 | Echinochloa crusgalli | 29 | Crassocephalum crepidioides |
| 5 | Polygonum hydropiper | 30 | Kummerowia striata |
| 6 | Abutilon theophrasti | 31 | Daucus carota |
| 7 | Acalypha australis | 32 | Phytolacca acinosa |
| 8 | Eclipta prostrata | 33 | Chenopodium album |
| 9 | Cyperus rotundus | 34 | Siegesbeckia orientalis |
| 10 | Setaria viridis | 35 | Polygonum plebeium |
| 11 | Digitaria sanguinalis | 36 | Stellaria media |
| 12 | Eleusine indica | 37 | Gynura formosana |
| 13 | Polygonum lapathifolium | 38 | Clinopodium chinense |
| 14 | Arthraxon hispidus | 39 | Sapium sebiferum |
| 15 | Phyllanthus urinaria | 40 | Convolvulus arvensis |
| 16 | Amaranthus retroflexus | 41 | Paederia scandens |
| 17 | Portulaca oleracea | 42 | Lindernia procumbens |
| 18 | Eriochloa villosa | 43 | Cucumis sativus |
| 19 | Conyza canadensis | 44 | Melilotus officinalis |
| 20 | Solanum nigrum | 45 | Dendranthema indicum |
| 21 | Alternanthera philoxeroides | 46 | Broussonetia papyrifera |
| 22 | Pharbitis purpurea | 47 | Corydalis pallida |
| 23 | Artemisia argyi | 48 | Ixeridium chinense |
| 24 | Humulus scandens | 49 | Rhus chinensis |
| 25 | Cenchrus echinatus |
References
- Benchimol, M.; Peres, C.A. Predicting local extinctions of Amazonian vertebrates in forest islands created by a mega dam. Biol. Conserv. 2015, 187, 61–72. [Google Scholar] [CrossRef]
- Sun, L.; Ding, W.; Zhou, Y.; Wang, J.; Ouyang, X.; Fan, Z.; Yao, Y.; Zhang, C. Tree Radial Growth Responses to Climate and Reservoir Impoundment in Valleys in SouthwesternChina. Forests 2024, 15, 749. [Google Scholar] [CrossRef]
- Barnes, B.; Sidhu, H.; Roxburgh, S. A model integrating patch dynamics, competing species and the intermediate disturbance hypothesis. Ecol. Modell. 2006, 194, 414–420. [Google Scholar] [CrossRef]
- Ali, M.M. Shoreline vegetation of Lake Nubia, Sudan. In Proceedings of the Macrophytes in Aquatic Ecosystems: From Biology to Management:Proceedings of the 11th Internatonal Symposium on Aquatic Weeds, European Weed Research Society; 2006; pp. 101–105. [Google Scholar] [CrossRef]
- Zhang, Z.; Wan, C.; Zheng, Z.; Hu, L.; Feng, K.; Chang, J.; Xie, P. Plant community characteristics and their responses to environmental factors in the water level fluctuation zone of the three gorges reservoir in China. Environ. Sci. Pollut. Res. 2013, 20, 7080–7091. [Google Scholar] [CrossRef]
- Ye, C.; Zhang, K.; Deng, Q.; Zhang, Q. Plant communities in relation toflooding and soilcharacteristics in the water level fluctuation zone of the Three Gorges Reservoir, China. Environ. Sci. Pollut. Res. 2013, 20, 1794–1802. [Google Scholar] [CrossRef]
- Bao, Y.; Gao, P.; He, X. The water-level fluctuation zone of Three Gorges Reservoir—A unique geomorphological unit. Earth-Sci. Rev. 2015, 150, 14–24. [Google Scholar] [CrossRef]
- Naiman, R.J.; Melillo, J.M.; Lock, M.A.; Ford, T.E.; Reice, S.R. Longitudinal patterns of ecosystem processes and community structure in a subarctic river continuum. Ecology 1987, 68, 1139–1156. [Google Scholar] [CrossRef]
- Jansson, R.; Nilsson, C.; Dynesius, M.; Andersson, E. Effects of river regulation on river-margin vegetation: a comparison of eight boreal rivers. Ecol. Appl. 2000, 10, 203–224. [Google Scholar] [CrossRef]
- Nilsson, C.; Jansson, R. Floristic differences between riparian corridors of regulated and free-flowing boreal rivers. Regul. Rivers: Res. Manage. 1995, 11, 55–66. [Google Scholar] [CrossRef]
- Chen, Z.L.; Yuan, X.Z.; Liu, H.; Li, B. Characteristics of plant communities in the hydrofluctuation zones of the TGR area under water level fluctuation. Resour. Environ. Yangtze Basin, 2012; 21, 672–677. [Google Scholar]
- Yuan, S.; Zeng, B.; Su, X.; Xu, J. Effect of water-level fluctuation discrepancy on the composition of different annuals in Three Gorges reservoir drawdown zone. Acta Ecol. Sin. 2014, 34, 6481–6488. [Google Scholar]
- Su, X.; Bejarano, M.D.; Yi, X.; Lin, F.; Ayi, Q.; Zeng, B. Unnatural flooding alters the functional diversity of riparian vegetation of the Three Gorges Reservoir. Freshwater Biol. 2020, 65, 1585–1595. [Google Scholar] [CrossRef]
- Noble, R.E.; Murphy, P.K. Short term effects of prolonged backwater flooding on understory vegetation. Castanea, 1975; 228–238. [Google Scholar]
- Yuan, S.; Zeng, B.; Su, X.; Xu, J. Effect of water-level fluctuation discrepancy on the composition of different annuals in Three Gorges reservoir drawdown zone. Acta Ecol. Sin. 2014; 34, 6481–6488. (in Chinese) [Google Scholar]
- Guo,Y.; Yang, S.; Shen, Y.F.; Xiao, W.F.; Rui, R.M. Composition and niche of the existing herbaceous plants in the water-level-fluctuating zone of the TGR Area, China. Chin. J. Appl. Ecol.2018, 29, 3559-3568. 29. [CrossRef]
- Guo, Q.; Kang, Y.; Hong, M.; Jin, J.; Zhu, N.; Nie, B.; Wang, Z. Responses of terrestrial plants in hydro-fluctuation belt of the Three Gorges Reservoir Area to the first time flooding-drying habitat change. Sci. Silvae Sin. 2013, 49, 1–9. [Google Scholar] [CrossRef]
- Zhang, A.; Fan, D.; Li, Z.; Xiong, G.; Xie, Z. Enhanced photosynthetic capacity by perennials in the riparian zone of the Three Gorges Reservoir Area, China. Ecol. Eng. 2016, 90, 6–11. [Google Scholar] [CrossRef]
- Harrison, M.T.; Kelman, W.M.; Moore, A.D.; Evans, J.R. Grazing winter wheat relieves plant water stress and transiently enhances photosynthesis. Funct. Plant Biol. 2010, 37, 726–736. [Google Scholar] [CrossRef]
- Whittaker, R.H.; Levin, S.A.; Root, R.B. Niche, habitat, and ecotope. Am. Nat. 1973, 107, 321–338. [Google Scholar] [CrossRef]
- Petraitis, P.S. Likelihood measures of niche breadth and overlap. Ecology 1979, 60, 703–710. [Google Scholar] [CrossRef]
- Ganis, P. NICHE—Programs for Niche Breadth, Overlap and Hypervolumes. In Computer ssisted egetation analysis; Springer: 1991; pp. 469–487. [CrossRef]
- Slatyer, R.A.; Hirst, M.; Sexton, J.P. Niche breadth predicts geographical range size: a general ecological pattern. Ecol. Lett. 2013, 16, 1104–1114. [Google Scholar] [CrossRef]
- Malkinson, D.; Tielbörger, K. What does the stress-gradient hypothesis predict? Resolving the discrepancies. Oikos 2010, 119, 1546–1552. [Google Scholar] [CrossRef]
- Yan, H.; Huang, Y.; Wang, G.; Zhang, X.; Shang, M.; Feng, L.; Dong, J.; Shan, K.; Wu, D.; Zhou, B. Water eutrophication evaluation based on rough set and petri nets: A case study in Xiangxi-River, Three Gorges Reservoir. Ecol. Indic. 2016, 69, 463–472. [Google Scholar] [CrossRef]
- Maloof, J.N.; Nozue, K.; Mumbach, M.R.; Palmer, C.M. LeafJ: an ImageJ plugin for semi-automated leaf shape measurement. J. Visualized Exp. 2013, e50028. [Google Scholar] [CrossRef]
- Wu, X.; Fan, W.; Du, H.; Ge, H.; Huang, F.; Xu, X. Estimating crown structure parameters of moso bamboo: Leaf area and leaf angle distribution. Forests 2019, 10, 686. [Google Scholar] [CrossRef]
- Kabała, C.; Musztyfaga, E.; Gałka, B.; Łabuńska, D.; Mańczyńska, P. Conversion of Soil pH 1: 2.5 KCl and 1: 2.5 H2O to 1: 5 H 2 O: Conclusions for Soil Management, Environmental Monitoring, and International Soil Databases. Pol. J. Environ. Stud, 2016; 25. [Google Scholar] [CrossRef]
- Forch, J. A simple method for the isolation and purification of total lipids from animal tissues. J. biol. Chem. 1957, 226, 498–509. [Google Scholar] [CrossRef]
- Williams, V.; Twine, S. Flame photometric method for sodium, potassium and calcium. Mod. Methods Plant Anal. 1960, 5, 3–5. [Google Scholar]
- Ye, C.; Li, S.; Zhang, Y.; Zhang, Q. Assessing soil heavy metal pollution in the water-level-fluctuation zone of the Three Gorges Reservoir, China. J. Hazard. Mater. 2011, 191, 366–372. [Google Scholar] [CrossRef] [PubMed]
- Tan, L. Statistical Ecology. China Forestry Press: Beijing, China, 2009.
- Curtis, J.T.; McIntosh, R.P. An upland forest continuum in the prairie-forest border region of Wisconsin. Ecology 1951, 32, 476–496. [Google Scholar] [CrossRef]
- Takane, Y.; Hwang, H. Regularized linear and kernel redundancy analysis. Comput Stat. Data. An 2007, 52, 394–405. [Google Scholar] [CrossRef]
- Zhu, K.W.; Chen, Y.C.; Zhang, S.; Lei, B.; Yang, Z.M.; Huang, L. Vegetation of the water-level fluctuation zone in the Three Gorges Reservoir at the initial impoundment stage. Global Ecol. Conserv. 2020, 21, e00866. [Google Scholar] [CrossRef]
- Wang, F.; Xu, T.; Huang, Y.P. Investigation on plant community and distribution characteristics of Xiangxi River bank. Int. J. Green Technol. 2014, 4. [Google Scholar]
- Xu, Y.; Chena, F. Effects of concrete content in vegetation concrete matrix on seed germination and seeding establishment of cynodon dactylon. Procedia Eng. 2012, 28, 105–109. [Google Scholar] [CrossRef]
- Singh, K.; Pandey, V.C.; Singh, R.P. Cynodon dactylon: an efficient perennial grass to revegetate sodic lands. Ecol. Eng. 2013, 54, 32–38. [Google Scholar] [CrossRef]
- Zhang, A.Y.; Xiong, G. M. ; Fan. D.Y.; Xie, Z.Q.Effects of damming on plant diversity in the inundated and riparian zones of the TGR Area, China. Chin. /: https, 2016; ,35. [Google Scholar]
- Grime, J.P. Plant strategies, vegetation processes, and ecosystem properties. 2001.
- Grime, J.P. Evidence for the existence of three primary strategies in plants and its relevance to ecological and evolutionary theory. Am. Nat. 1977, 111, 1169–1194. [Google Scholar] [CrossRef]
- Grime, J. Dominant and subordinate components of plant communities: implications for succession, stability and diversity. In Proceedings of the Symposium of the British Ecological Society; 1987. [Google Scholar]
- Liao, J.; Jiang, M.; Li, L. Effects of simulated submergence on survival and recovery growth of three species in water fluctuation zone of the Three Gorges reservoir. Acta Ecol. Sin. 2010, 30, 216–220. [Google Scholar] [CrossRef]
- Chai, Y.; Yue, M.; Wang, M.; Xu, J.; Liu, X.; Zhang, R.; Wan, P. Plant functional traits suggest a change in novel ecological strategies for dominant species in the stages of forest succession. Oecologia 2016, 180, 771–783. [Google Scholar] [CrossRef]
- Yi, X.; Huang, Y.; Ma, M.; Wen, Z.; Chen, J.; Chen, C.; Wu, S. Plant trait-based analysis reveals greater focus needed for mid-channel bar downstream from the Three Gorges Dam of the Yangtze River. Ecol. Indic. 2020, 111, 105950. [Google Scholar] [CrossRef]
- Pisula, W.; Łukasik, A.; Kawa, R.; Pisula, E. Exploratory analysis of the links among life history, reproductive strategy, autism-spectrum quotient, and quality of life. Psychology 2018, 9, 2312. [Google Scholar] [CrossRef]
- Pielou, E. Niche width and niche overlap: a method for measuring them. Ecology 1972, 53, 687–692. [Google Scholar] [CrossRef]
- Xu, Z.G.; He, Y.; Yan, B.X.; Song, C.C. Niche characteristics of typical marsh wetland plant populations in Sanjiang Plain. J. Appl. Ecol. 2007, 18, 783–787. (in Chinese). [Google Scholar]
- Wang, X.R.; Cheng, R. M.; Xiao, W. F.; Pan, L.; Zeng, L. X. Characteristics of niche changes of main dominant herbaceous plants in the initial stage of flooding in the hydro-fluctuation zones of the TGR area. Resour. Environ. Yangtze Basin, 2016; 25, 8. (in Chinese) [Google Scholar]
- Escobedo, V.M.; Rios, R.S.; Salgado-Luarte, C.; Gianoli, E. Correlation of plasticities to drought and shade: implications for environmental niche overlap in drylands. Oikos 2023, e09766. [Google Scholar] [CrossRef]
- Crain, C.M. Interactions between marsh plant species vary in direction and strength depending on environmental and consumer context. J. Ecol. 2008, 96, 166–173. [Google Scholar] [CrossRef]
- Graffmann, K.; Grosse, W.; Junk, W.J.; Parolin, P. Pressurized gas transport in Amazonian floodplain trees. Environ. Exp. Bot. 2008, 62, 371–375. [Google Scholar] [CrossRef]
- Chen, J.; Zeng, C.; Wei, H.; Liu, Y.; Wang, Z.; Jia, Z. Effects of mixed intercropping of Cynodon dactylon and Hemarthria altissima on their biomass under different flooding conditions. Acta Ecol. Sin. 2017, 37, 54–61. [Google Scholar] [CrossRef]
- Petrů, M.; Tielbörger, K.; Belkin, R.; Sternberg, M.; Jeltsch, F. Life history variation in an annual plant under two opposing environmental constraints along an aridity gradient. Ecography 2006, 29, 66–74. [Google Scholar] [CrossRef]
- Herben, T.; Klimešová, J.; Chytrý, M. Effects of disturbance frequency and severity on plant traits: An assessment across a temperate flora. Funct. Ecol. 2018, 32, 799–808. [Google Scholar] [CrossRef]
- Chesson, P. Mechanisms of maintenance of species diversity. Annu. Rev. Ecol. Syst. 2000, 31, 343–366. [Google Scholar] [CrossRef]
- Ye, C.; Chen, C.; Butler, O.M.; Rashti, M.R.; Esfandbod, M.; Du, M.; Zhang, Q. Spatial and temporal dynamics of nutrients in riparian soils after nine years of operation of the Three Gorges Reservoir, China. Sci. Total Environ. 2019, 664, 841–850. [Google Scholar] [CrossRef] [PubMed]
- Wilson, P.J.; Thompson, K.; Hodgson, J.G. Specific leaf area and leaf dry matter content as alternative predictors of plant strategies. New Phytol. 1999, 143, 155–162. [Google Scholar] [CrossRef]
- Larbi, A.; Kchaou, H.; Gaaliche, B.; Gargouri, K.; Boulal, H.; Morales, F. Supplementary potassium and calcium improves salt tolerance in olive plants. Sci. Hortic. 2020, 260, 108912. [Google Scholar] [CrossRef]
- Nilsson, C.; Aradóttir, Á.L. Ecological and social aspects of ecological restoration: new challenges and opportunities for northern regions. Ecol. Soc. 2013, 18. [Google Scholar] [CrossRef]
- Nilsson, C.; Polvi, L.E.; Gardeström, J.; Hasselquist, E.M.; Lind, L.; Sarneel, J.M. Riparian and in-stream restoration of boreal streams and rivers: success or failure? Ecohydrology 2015, 8, 753–764. [Google Scholar] [CrossRef]
- Nilsson, C.; Svedmark, M. Basic principles and ecological consequences of changing waterregimes: riparian plant communities. Environ. Manage. 2002, 30, 468–480. [Google Scholar] [CrossRef]
- Yue, L.; Yu, C.; Abdoussalami, A.; Li, X.; Lv, K.; Huang, G.; Hu, M.; Yang, Z. Growth,Morphological Alterations, and Enhanced Photosynthetic Performance Promote Tolerance ofDistylium chinense to Alternate Drought–Flooding Stresses. Forests 2024, 15, 125. [Google Scholar] [CrossRef]
- Beers, R.F.; Sizer, I.W. A spectrophotometric method for measuring the breakdown of hydrogen peroxide by catalase. J. Biol. Chem. 1952, 195, 133–140. [Google Scholar] [CrossRef] [PubMed]
- Shen, F.; Qin, Y.; Wang, R.; Huang, X.; Wang, Y.; Gao, T.; Yang, X. Comparative genomics reveals a unique nitrogen-carbon balance system in Asteraceae. Nat. Commun. 2023, 14(1), 4334. [Google Scholar] [CrossRef] [PubMed]
- L, D.Z.; S, Q.; Z, R.G.; W, X.P.; S, L.J.; Z, Z.L.; W, C. A. Models for niche breadth and niche overlap of species or populations. Sci. Silvae Sin. 2006, 42, 95–103. [Google Scholar]
- Li, M.X.; Wang, D.M.; Ren, Y.; Wang, X.L. Influence of different drying-rewetting frequencies on available soil nutrients and DOC. Acta Ecol. Sin. 2018, 38, 1542–1549. [Google Scholar]
- Wang, X.R.; Chen, R.M.; Xiao, W.F. ; P,L.; Zhen,L.X. Niche variation of dominant herbaceous plants in waterlevel-fluctuating zone of Three Gorges Reservoir at the beginning after charging water. Resour. Environ. Yangtze Basin, 2016; 25, 8. [Google Scholar]
- Jian, Z.J.; Ma, F.Q.; Guo, Q.S.; Qin, A.L.; Xiao, W.F. Niche of dominant plant populations in the water level fluctuation zone of canyon landform area of the Three Gorges Reservoir. Chin. J.Ecol. 2017, 36, 328–334. [Google Scholar]
- Chi, X.; Liu, J.M.; Yan, Q.; Li, P.; Ai, H.; Gao, P. Niche Characteristics of Dominant Populations of Drepanostachyum luodianense. Guizhou Agric. Sci. 2014, 42, 180–183. [Google Scholar]
- Yang, F.; Ji, D. B.; Wang, L. J.; Li, H.; Li, Y. J. Vertical distribution characteristics of dissolved oxygen and chlorophyll a in typical tributaries during the impoundment period of the Three Gorges Reservoir. Environ. Sci. 2020, 41, 2107–2115. [Google Scholar]
- Tang, T.; Cai, Q.; Liu, J. Using epilithic diatom communities to assess ecological condition of Xiangxi River system. Environ. Monit. Assess. 2006, 112, 347–361. [Google Scholar] [CrossRef]
- Sun, L.; Li, X.L.; Wang, X.S.; Xiang, L.; Yang, J.; Min, Q.F.; Chen, G.H.; Chen, F.Q.; Huang, C.M.; Wang, G.X. Growth and respiratory metabolic adaptation strategies of riparian plant Distylium chinense to submergence by the field study and controlled experiments. Plant Physiol. Biochem. 2020, 157, 1–12. [Google Scholar] [CrossRef]







| Sample code | Sample type | Elevation ( m ) | Slope ( ° ) | Aspect | Longitude ( ° ) | Latitude ( ° ) | Locality |
|---|---|---|---|---|---|---|---|
| R1 | RWLFZ | 145-175 | 22-27 | Northeast | 110°45'E | 30°58'N | Bazhi gate in Zigui |
| R2 | RWLFZ | 145-175 | 32-39 | Northwest | 110°45'E | 31°00'N | Wangu temple in Zigui |
| R3 | RWLFZ | 145-175 | 30-35 | East | 110°44'E | 31°02'N | Xiangjia dam in Zigui |
| R4 | RWLFZ | 170-175 | 18-29 | Northwest | 110°47'E | 31°07'N | Diaoyang rock in Zigui |
| R5 | RWLFZ | 160-175 | 16-20 | Northwest | 110°48'E | 31°07'N | Yufang flat in Zigui |
| R6 | RWLFZ | 165-175 | 10-18 | Southwest | 110°51'E | 31°11'N | Jianyangping bridge in Zigui |
| N7 | NRZ | 175-180 | 18-20 | Southwest | 110°50'E | 31°08N | Lijia mountain in Zigui |
| N8 | NRZ | 175-180 | 6-13 | Southeast | 110°49'E | 31°07'N | Shijia dam in Zigui |
| N9 | NRZ | 175-180 | 10-18 | Southwest | 110°51'E | 31°11'N | Yangdao river in Zigui |
Disclaimer/Publisher’s Note: The statements, opinions and data contained in all publications are solely those of the individual author(s) and contributor(s) and not of MDPI and/or the editor(s). MDPI and/or the editor(s) disclaim responsibility for any injury to people or property resulting from any ideas, methods, instructions or products referred to in the content. |
© 2024 by the authors. Licensee MDPI, Basel, Switzerland. This article is an open access article distributed under the terms and conditions of the Creative Commons Attribution (CC BY) license (https://creativecommons.org/licenses/by/4.0/).
