Submitted:
13 June 2024
Posted:
13 June 2024
You are already at the latest version
Abstract

Keywords:
1. Introduction
2. Materials and Methods
2.1. Materials and Chemicals
2.2. Isolation of soy sauce peptides by XAD-16 macroporous resin
2.3. Electronic Tongue Analysis
2.4. Determination of Amino acid Composition
2.5. MALDI-TOF MS Analysis
2.6. Statistical Analysis
3. Results and Discussion
3.1. PCA Analysis of the Taste Property of Soy Sauce Peptides
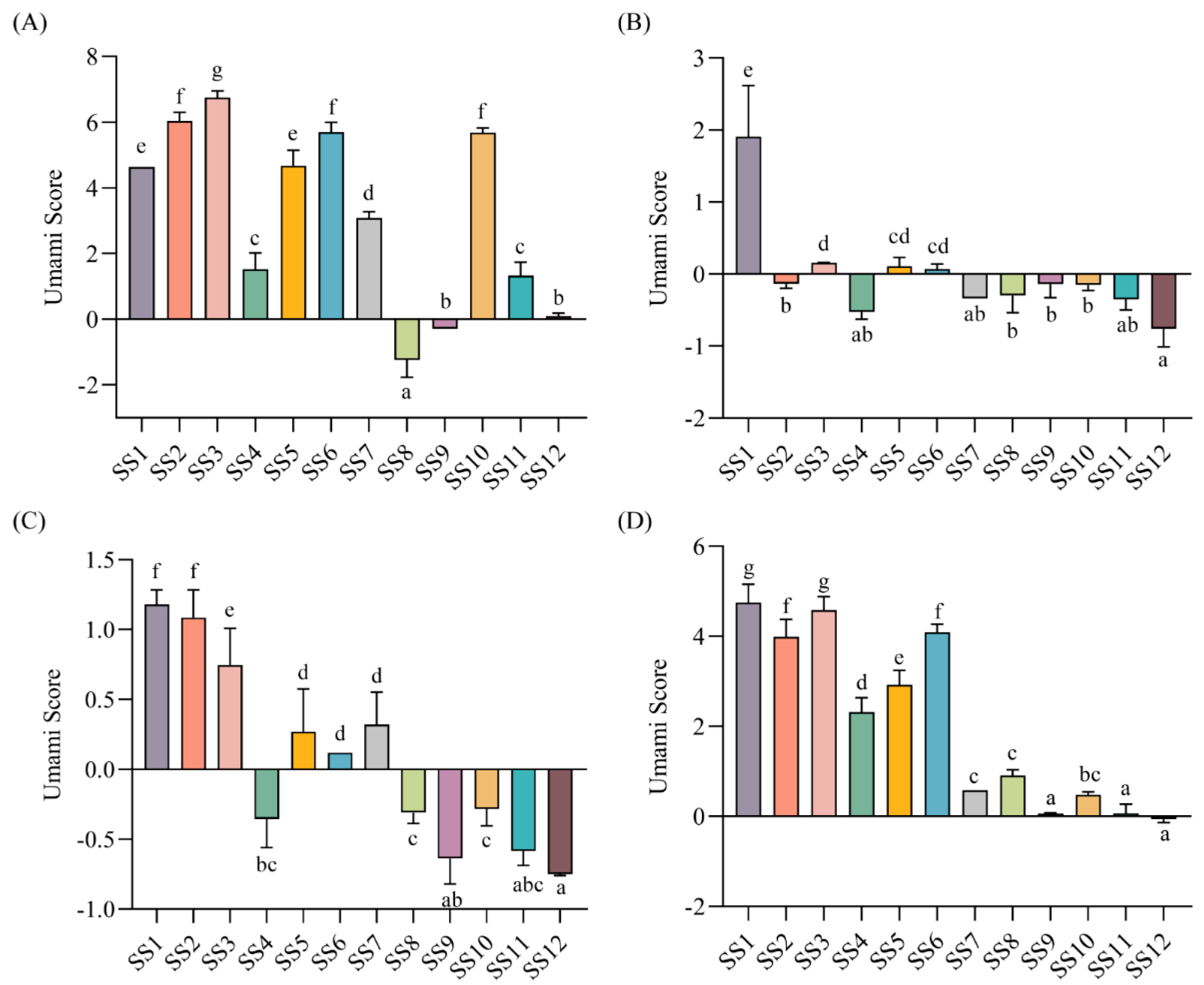
3.2. Sensory Scores of Soy Sauce Peptides
3.3. Amino Acid Composition of Soy Sauce Peptide Fraction SS-60%
3.4. Correlation of amino Acid Contents with Umami Taste of Soy Sauce Peptide Fraction SS-60%
3.5. The Mass Characteristics of Soy Sauce Peptide Fraction SS-60%

4. Conclusions
Supplementary Materials
Author Contributions
Funding
Acknowledgments
Institutional Review Board Statement
Informed Consent Statement
Data Availability Statement
References
- Gao, X.L.; Zhang, J.K.; Liu, E.M.; Yang, M.Q.; Chen, S.; Hu, F.; Ma, H.L.; Liu, Z.; Yu, X.T. Enhancing the taste of raw soy sauce using low intensity ultrasound treatment during moromi fermentation. Food Chem. 2019, 298(15), 124928.1-124928.7. [CrossRef]
- Lioe, H.N.; Selamat, J.; Yasuda, M. Soy Sauce and Its Umami Taste: A Link from the Past to Current Situation. J. Food Sci. 2010, 75(3), 71–76. [Google Scholar] [CrossRef] [PubMed]
- Harada, R.; Yuzuki, M.; Ito, K.; Shiga, K.; Bamba, T.; Fukusaki, E. Microbe participation in aroma production during soy sauce fermentation. J. Biosci. 2018, 125(6), 688–694. [Google Scholar] [CrossRef] [PubMed]
- Diez-Simon, C.; Eichelsheim, C.; Mumm, R.; Hall, R. D. Chemical and Sensory Characteristics of Soy Sauce: A Review. J. Agric. Food Chem 2020, 68(42), 11612–11630. [Google Scholar] [CrossRef]
- Steinhaus, P. Characterization of the Key Aroma Compounds in Soy Sauce Using Approaches of Molecular Sensory Science. J. Agric. Food Chem. 2007, 55(15), 6262–6269. [Google Scholar] [CrossRef] [PubMed]
- Zhao, Y.Q.; Zhao, X.; Sun-Waterhouse, D.X.; Waterhouse, G. I. N.; Zhao, M.M.; Zhang, J.H.; Wang, F.; Su, G.W. Two-stage selective enzymatic hydrolysis generates protein hydrolysates rich in Asn-Pro and Ala-His for enhancing taste attributes of soy sauce. Food Chem. 2021, 345, 128803. [Google Scholar] [CrossRef] [PubMed]
- Liu, Y.H.; Sun, G.G.; Li, J.Y.; Cheng, P.; Song, Q.; Lv, W.; Wang, C. Starter molds and multi-enzyme catalysis in koji fermentation of soy sauce brewing: A review. Food Res. Int. 2024, 184, 114273. [Google Scholar] [CrossRef] [PubMed]
- Feng, Y.Z.; Cai, Y.; Su, G.W.; Zhao, H.F.; Wang, C.X.; Zhao, M.N. Evaluation of aroma differences between high-salt liquid-state fermentation and low-salt solid-state fermentation soy sauces from China. Food Chem. 2014, 145(15), 126–134. [Google Scholar] [CrossRef] [PubMed]
- Ruan, L.C.; Ju, Y.J.; Zhan, C.Y.; Hou, L.H. Improved umami flavor of soy sauce by adding enzymatic hydrolysate of low-value fish in the natural brewing process. LWT. 2022, 155(1), 112911. [Google Scholar] [CrossRef]
- Liu, Z.P.; Zhang, X.L.; Duan, X.R.; Kang, B.; Liu, J.Y.; Fu, C.X.; Wang, C.; Li, D.S.; Xu, N. Effect of fermentation conditions on the formation of ammonium salt in soy sauce. LWT. 2022, 153, 112492. [Google Scholar] [CrossRef]
- Zhuang, M.Z.; Lin, L.Z.; Zhao, M.M.; Dong, Y.; Sun-Waterhouse, D.X.; Chen, H.P.; Qiu, C.Y.; Su, G.W. Sequence, taste and umami-enhancing effect of the peptides separated from soy sauce. Food Chem. 2016, 206(1), 174–181. [Google Scholar] [CrossRef]
- Zhao, C.J.; Schieber, A.; Gänzle, M.G. Formation of taste-active amino acids, amino acid derivatives and peptides in food fermentations – A review. Food Res. Int. 2016, 89, 39–47. [Google Scholar] [CrossRef]
- Wang, J.W.; Zhao, M.M.; Xie, N.Y.; Huang, M.T.; Feng, Y.Z. Community structure of yeast in fermented soy sauce and screening of functional yeast with potential to enhance the soy sauce flavor. Int. J. Food Microbiol. 2022, 370, 109652. [Google Scholar] [CrossRef] [PubMed]
- Zhao, Y.G.; Zhang, M.; Devahastin, S.; Liu, Y.P. Progresses on processing methods of umami substances: A review. Trends Food Sci Tech. 2019, 93, 125–135. [Google Scholar] [CrossRef]
- Zhu, X.P.; Sun-Waterhouse, D.G.; Chen, J.H.; Cui, C.; Wang, W. Bitter-tasting hydrophobic peptides prepared from soy sauce using aqueous ethanol solutions influence taste sensation. Int. J. Food Sci. Technol. 2020, 55(1), 146–156. [Google Scholar] [CrossRef]
- Lioe, H.N.; Wada, K.; Aoki, T.; Yasuda, M. Chemical and sensory characteristics of low molecular weight fractions obtained from three types of Japanese soy sauce (shoyu) – Koikuchi, tamari and shiro shoyu. Food Chem. 2007, 100(4), 1669–1677. [Google Scholar] [CrossRef]
- Zhu, X.P.; Sun-Waterhouse, D.G.; Chen, J.H.; Cui, C.; Wang, W. Comparative study on the novel umami-active peptides of the whole soybeans and the defatted soybeans fermented soy sauce. J. Sci. Food Agric. 2021, 101(1), 158–166. [Google Scholar] [CrossRef] [PubMed]
- Kijima, K.; Suzuki H. Improving the umami taste of soy sauce by the addition of bacterial γ-glutamyltranspeptidase as a glutaminase to the fermentation mixture. Enzyme Microb. Technol. 2007, 41(1-2), 80-84. [CrossRef]
- Ju, Y.J.; Sun, L.T.; Zhang, X.D.; Li, W.N.; Hou, L.H. Fractionation, identification and umami characteristics of flavor peptides in natural brewed soy sauce. Food Chem, 2023, 425, 136501. [Google Scholar] [CrossRef] [PubMed]
- Ke, C.G.; Ren, Y.; Gao, P.; Han, J.; Tao, Y.; Huang, J.Z.; Yang, X.W. Separation and purification of pyrroloquinoline quinone from fermentation broth by pretreatment coupled with macroporous resin adsorption. Sep Purif Technol. 2021, 257, 117962. [Google Scholar] [CrossRef]
- Chen, W.; Li, W.; Wu, D.; Zhang, Z.; Chen, H.; Zhang, J.; Wang, C.; Wu, T.; Yang, Y. Characterization of novel umami-active peptides from Stropharia rugoso-annulata mushroom and in silico study on action mechanism. J Food Compos Anal. 2022, 110, 104530. [Google Scholar] [CrossRef]
- Ruan, S.Y.; Sun, L.P.; Sun, X.D.; He, J.L.; Zhuang, Y.L. Novel umami peptides from tilapia lower jaw and molecular docking to the taste receptor T1R1/T1RFood Chem. 2021, 362(6), 130249.
- Liu, H.; Yang, Y.j.; Liu, Y.b.; Cui, L.Y.; Fu, L.l.; Li, B. Various bioactive peptides in collagen hydrolysate from salmo salar skin and the combined inhibitory effects on atherosclerosis in vitro and in vivo. Food Res. Int. 2022, 157, 111281. [Google Scholar] [CrossRef]
- Zhou, K.; Zhang, X.; Huang G.D.; Hongsibsong, S.; Hao, G.; Li. Y.M.; Yang, J.Y.; Xu, Z.L. Formation of biogenic amines in soy sauce and reduction via simple phytochemical addition. LWT. 2023, 176, 114542. [CrossRef]
- Wang, L.Y.; Ding, L.; Wang, Y.; Zhang, Y.; Liu, J.B. Isolation and Characterisation of in Vitro and Cellular Free Radical Scavenging Peptides from Corn Peptide Fractions. Molecules. 2015, 20(2), 3221–3237. [Google Scholar] [CrossRef] [PubMed]
- Zhang, Y.; Jiao, J.; Liu, C.; Wu, X.; Zhang, Y. Isolation and purification of four flavone C-glycosides from antioxidant of bamboo leaves by macroporous resin column chromatography and preparative high-performance liquid chromatography. Food Chem. 2008, 107(3), 1326–1336. [Google Scholar] [CrossRef]
- Zhuang, M.; Zhao, M.M; Lin, L.Z.; Dong, Y.; Chen, H.P.; Feng, M.Y. Sun-Waterhouse, D.X.; Su, G.W. Macroporous resin purification of peptides with umami taste from soy sauce. Food Chem. 2016, 190, 338–344. [Google Scholar] [CrossRef] [PubMed]
- Yang, Q.; Zhao, M.; Lin, L. Adsorption and desorption characteristics of adlay bran free phenolics on macroporous resins. Food Chem. 2016, 194, 900–907. [Google Scholar] [CrossRef] [PubMed]
- Gong, J.; Shen, H.; Zheng, J.Y.; Tao, N.P.; Gu, S.Q.; Huanga, Y.W.; Wanga, M.F. Identification of key umami-related compounds in Yangtze Coilia ectenes by combining electronic tongue analysis with sensory evaluation. RSC Adv. 2016, 45689–45695. [Google Scholar] [CrossRef]
- Liang, L.; Duan, W.; Zhang, J.C.; Huang, Y.; Zhang, Y.Y.; Sun, B.G. Characterization and molecular docking study of taste peptides from chicken soup by sensory analysis combined with nano-LC-Q-TOF-MS/MS. Food Chem. 2022, 383, 132455. [Google Scholar] [CrossRef] [PubMed]
- Liu, D.Y.; Li, S.J.; Wang, N.; Deng, Y.J.; Sha, L.; Gai, S.G.; Liu, H.; Xu, X.L. Evolution of Taste Compounds of Dezhou-Braised Chicken During Cooking Evaluated by Chemical Analysis and an Electronic Tongue System. J. Food Sci. 2017, 82(5), 1076–1082. [Google Scholar] [CrossRef] [PubMed]
- Lioe, H.N.; Selamat, J.; Yasuda, M. Soy Sauce and Its Umami Taste: A Link from the Past to Current Situation. J. Food Sci. 2010, 75(3), 71–76. [Google Scholar] [CrossRef] [PubMed]
- Chen, X.C.; Meng, F.B.; Tian, H.L.; Chen, A.X.; Wang, X.B.; Li, Y.C. Dynamic changes in metabolomics and flavoromics during industrial scale fermentation of Chinese traditional soy sauce. Food Biosci. 2024, 59, 103940. [Google Scholar] [CrossRef]
- Dai, L.Y.; Xu, R.Q.; Su, Z.L.; Chen, S.J.; Wu, H.L.; Wu, J.R. Characteristic analysis of amino acid components and volatile substances of 11 kinds of high-salt dilute-state soy sauce in China. Chn Brw. 2023, 42(11), 73–81. [Google Scholar]
- Lioe, H.N.; Apriyantono, A.; Takara, K.; Wada, K.; Naoki, H.; Yasuda, M. Low Molecular Weight Compounds Responsible for Savory Taste of Indonesian Soy Sauce. J. Agric. Food Chem. 2004, 52(19), 5950–5956. [Google Scholar] [CrossRef] [PubMed]
- Lioe, H.N.; Apriyantono, A.; Takara, K.; Wada, K.; Naoki, H.; Yasuda, M. Umami Taste Enhancement of MSG/NaCl Mixtures by Subthreshold L Aromatic Amino Acids. J. Food Sci. 2006, 70(7), 401–405. [Google Scholar] [CrossRef]
- Onuma, T.; Maruyama, H.; Sakai, N. Enhancement of Saltiness Perception by Monosodium Glutamate Taste and Soy Sauce Odor: A Near-Infrared Spectroscopy Study. Chem. Senses. 2018, 43(3), 151–167. [Google Scholar] [CrossRef]
- Zhou, X.Y.; Guo, T.; Lu, Y.L.; Hadiatullah, H.; Li, P.; Ding, K.; Zhao, G.Z. Effects of amino acid composition of yeast extract on the microbiota and aroma quality of fermented soy sauce. Food Chem. 2022, 393, 133289. [Google Scholar] [CrossRef]






Disclaimer/Publisher’s Note: The statements, opinions and data contained in all publications are solely those of the individual author(s) and contributor(s) and not of MDPI and/or the editor(s). MDPI and/or the editor(s) disclaim responsibility for any injury to people or property resulting from any ideas, methods, instructions or products referred to in the content. |
© 2024 by the authors. Licensee MDPI, Basel, Switzerland. This article is an open access article distributed under the terms and conditions of the Creative Commons Attribution (CC BY) license (http://creativecommons.org/licenses/by/4.0/).