Submitted:
11 June 2024
Posted:
11 June 2024
You are already at the latest version
Abstract
Keywords:
1. Introduction
2. Low-Energy Electronic States of the Considered Materials
2.1. The Model with a Finite Gap
2.2. Lieb Lattice
3. Electron Dressed States: General Formalism
3.1. Dressed States for a Lieb Lattice
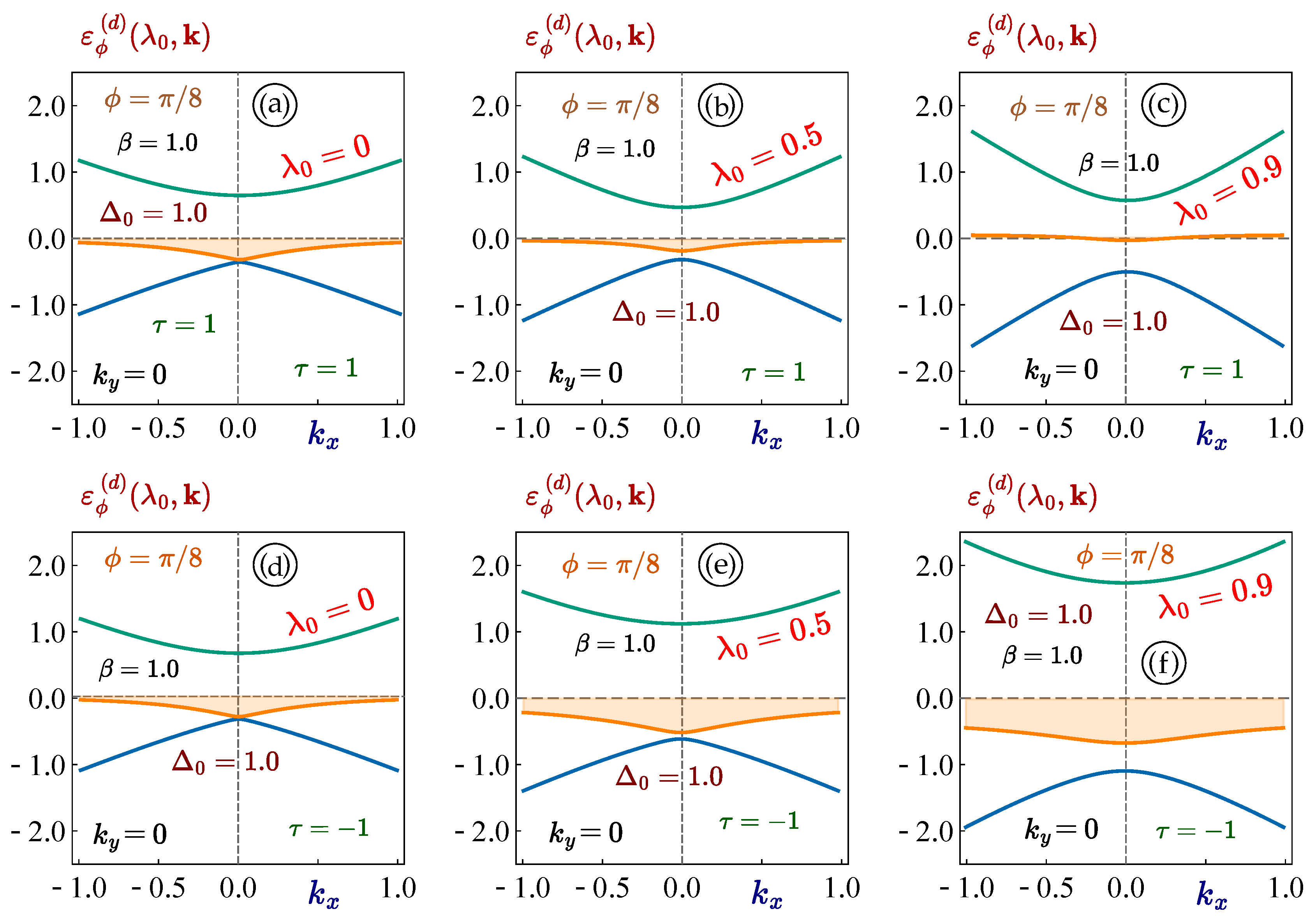
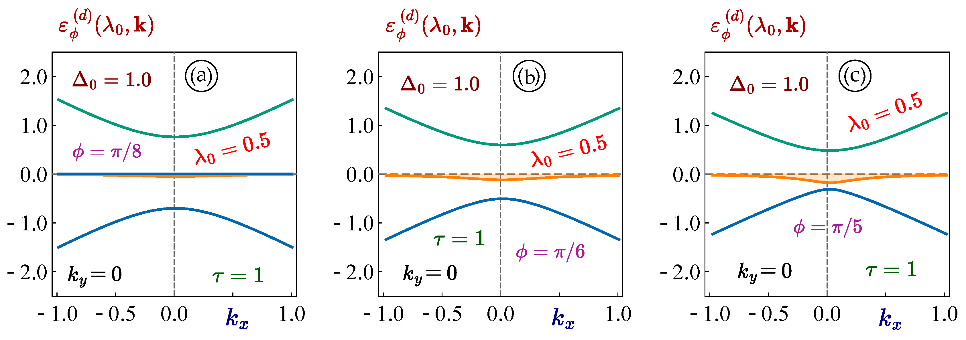
4. Results and Discussion
5. Summary and Remarks
References
- Kuchment, P.A. Floquet theory for partial differential equations; Vol. 60, Springer Science & Business Media, 1993. [CrossRef]
- Goldman, N.; Dalibard, J. Periodically driven quantum systems: effective Hamiltonians and engineered gauge fields. Physical review X 2014, 4, 031027.
- Eckardt, A.; Anisimovas, E. High-frequency approximation for periodically driven quantum systems from a Floquet-space perspective. New Journal of Physics 2015, 17, 093039. [CrossRef]
- Oka, T.; Kitamura, S. Floquet engineering of quantum materials. arXiv preprint arXiv:1804.03212 2018. 10.1146/annurev-conmatphys-031218-013423.
- Castro, A.; De Giovannini, U.; Sato, S.A.; Hübener, H.; Rubio, A. Floquet engineering the band structure of materials with optimal control theory. arXiv preprint arXiv:2203.03387 2022. [CrossRef]
- Cheng, Q.; Pan, Y.; Wang, H.; Zhang, C.; Yu, D.; Gover, A.; Zhang, H.; Li, T.; Zhou, L.; Zhu, S. Observation of anomalous π modes in photonic Floquet engineering. Physical review letters 2019, 122, 173901. [CrossRef]
- Weitenberg, C.; Simonet, J. Tailoring quantum gases by Floquet engineering. Nature Physics 2021, 17, 1342–1348. [CrossRef]
- Wang, B.; Ünal, F.N.; Eckardt, A. Floquet engineering of optical solenoids and quantized charge pumping along tailored paths in two-dimensional Chern insulators. Physical Review Letters 2018, 120, 243602. [CrossRef]
- Dehghani, H.; Oka, T.; Mitra, A. Dissipative Floquet topological systems. Physical Review B 2014, 90, 195429. [CrossRef]
- Nakagawa, M.; Slager, R.J.; Higashikawa, S.; Oka, T. Wannier representation of Floquet topological states. Physical Review B 2020, 101, 075108. [CrossRef]
- Koutserimpas, T.T.; Fleury, R. Nonreciprocal gain in non-Hermitian time-Floquet systems. Physical review letters 2018, 120, 087401. [CrossRef]
- Kibis, O.; Boev, M.; Kovalev, V.; Shelykh, I. Floquet engineering of the Luttinger Hamiltonian. Physical Review B 2020, 102, 035301. [CrossRef]
- Kibis, O.; Dini, K.; Iorsh, I.; Shelykh, I. Floquet engineering of gapped 2D materials. Semiconductors 2018, 52, 523–525. [CrossRef]
- Kibis, O. Metal-insulator transition in graphene induced by circularly polarized photons. Physical Review B 2010, 81, 165433. [CrossRef]
- Iurov, A.; Gumbs, G.; Roslyak, O.; Huang, D. Anomalous photon-assisted tunneling in graphene. Journal of Physics: Condensed Matter 2011, 24, 015303. [CrossRef]
- Perez-Piskunow, P.M.; Usaj, G.; Balseiro, C.A.; Torres, L.F. Floquet chiral edge states in graphene. Physical Review B 2014, 89, 121401. [CrossRef]
- Calvo, H.L.; Pastawski, H.M.; Roche, S.; Torres, L.E.F. Tuning laser-induced band gaps in graphene. Applied Physics Letters 2011, 98, 232103. [CrossRef]
- Kibis, O.; Dini, K.; Iorsh, I.; Shelykh, I. All-optical band engineering of gapped Dirac materials. Physical Review B 2017, 95, 125401. [CrossRef]
- Mojarro, M.; Ibarra-Sierra, V.; Sandoval-Santana, J.; Carrillo-Bastos, R.; Naumis, G.G. Dynamical Floquet spectrum of Kekulé-distorted graphene under normal incidence of electromagnetic radiation. Physical Review B 2020, 102, 165301. [CrossRef]
- Iurov, A.; Zhemchuzhna, L.; Gumbs, G.; Huang, D. Exploring interacting Floquet states in black phosphorus: Anisotropy and bandgap laser tuning. Journal of Applied Physics 2017, 122, 124301. [CrossRef]
- Gomes, Y.; Ramos, R.O. Tilted Dirac cone effects and chiral symmetry breaking in a planar four-fermion model. Physical Review B 2021, 104, 245111. [CrossRef]
- Iurov, A.; Zhemchuzhna, L.; Gumbs, G.; Huang, D.; Tse, W.K.; Blaise, K.; Ejiogu, C. Floquet engineering of tilted and gapped Dirac bandstructure in 1T’-MoS 2. Scientific Reports 2022, 12, 21348. [CrossRef]
- Mojarro, M.; Carrillo-Bastos, R.; Maytorena, J.A. Optical properties of massive anisotropic tilted Dirac systems. Physical Review B 2021, 103, 165415. [CrossRef]
- Sandoval-Santana, J.; Ibarra-Sierra, V.; Kunold, A.; Naumis, G.G. Floquet spectrum for anisotropic and tilted Dirac materials under linearly polarized light at all field intensities. Journal of Applied Physics 2020, 127, 234301. [CrossRef]
- Mehmood, F.; Pachter, R.; Back, T.C.; Boeckl, J.J.; Busch, R.T.; Stevenson, P.R. Two-dimensional MoS 2 2H, 1T, and 1T’ crystalline phases with incorporated adatoms: theoretical investigation of electronic and optical properties. Applied Optics 2021, 60, G232–G242. [CrossRef]
- Tan, C.Y.; Yan, C.X.; Zhao, Y.H.; Guo, H.; Chang, H.R.; et al. Anisotropic longitudinal optical conductivities of tilted Dirac bands in 1 T’- Mo S 2. Physical Review B 2021, 103, 125425. [CrossRef]
- Tan, C.Y.; Hou, J.T.; Yan, C.X.; Guo, H.; Chang, H.R. Signatures of Lifshitz transition in the optical conductivity of tilted Dirac materials. arXiv preprint arXiv:2112.09392 2021.
- Calvo, H.L.; Vargas, J.E.B.; Torres, L.E.F. Floquet boundary states in A B-stacked graphite. Physical Review B 2020, 101, 075424. [CrossRef]
- Iurov, A.; Gumbs, G.; Roslyak, O.; Huang, D. Photon dressed electronic states in topological insulators: tunneling and conductance. Journal of Physics: Condensed Matter 2013, 25, 135502. [CrossRef]
- Kibis, O.; Boev, M.; Kovalev, V. Floquet engineering of carbon nanotubes. In Proceedings of the Journal of Physics: Conference Series. IOP Publishing, 2021, Vol. 2015, p. 012063. [CrossRef]
- Hsu, H.; Reichl, L. Floquet-Bloch states, quasienergy bands, and high-order harmonic generation for single-walled carbon nanotubes under intense laser fields. Physical Review B 2006, 74, 115406. [CrossRef]
- Ibarra-Sierra, V.; Sandoval-Santana, J.; Kunold, A.; Herrera, S.A.; Naumis, G.G. Dirac materials under linear polarized light: quantum wave function time evolution and topological Berry phases as classical charged particles trajectories under electromagnetic fields. Journal of Physics: Materials 2022, 5, 014002. [CrossRef]
- Kristinsson, K.; Kibis, O.V.; Morina, S.; Shelykh, I.A. Control of electronic transport in graphene by electromagnetic dressing. Scientific reports 2016, 6, 1–7. [CrossRef]
- Iurov, A.; Zhemchuzhna, L.; Dahal, D.; Gumbs, G.; Huang, D. Quantum-statistical theory for laser-tuned transport and optical conductivities of dressed electrons in α- T 3 materials. Physical Review B 2020, 101, 035129. [CrossRef]
- Iurov, A.; Zhemchuzhna, L.; Gumbs, G.; Huang, D.; Fekete, P. Optically modulated tunneling current of dressed electrons in graphene and a dice lattice. Physical Review B 2022, 105, 115309. [CrossRef]
- Ke, M.; Asmar, M.M.; Tse, W.K. Nonequilibrium RKKY interaction in irradiated graphene. Phys. Rev. Research 2020, 2, 033228. [CrossRef]
- Asmar, M.M.; Tse, W.K. Floquet control of indirect exchange interaction in periodically driven two-dimensional electron systems. New Journal of Physics 2021, 23, 123031. [CrossRef]
- Iurov, A.; Gumbs, G.; Huang, D. Exchange and correlation energies in silicene illuminated by circularly polarized light. Journal of Modern Optics 2017, 64, 913–920. [CrossRef]
- Islam, M.; Basu, S. Spin and charge persistent currents in a Kane Mele α-T 3 quantum ring. Journal of Physics: Condensed Matter 2023, 36, 135301. [CrossRef]
- Iorsh, I.; Zezyulin, D.; Kolodny, S.; Sinitskiy, R.; Kibis, O. Floquet engineering of excitons in semiconductor quantum dots. Physical Review B 2022, 105, 165414. [CrossRef]
- Sentef, M.; Claassen, M.; Kemper, A.; Moritz, B.; Oka, T.; Freericks, J.; Devereaux, T. Theory of Floquet band formation and local pseudospin textures in pump-probe photoemission of graphene. Nature communications 2015, 6, 1–8. [CrossRef]
- Vogl, M.; Rodriguez-Vega, M.; Flebus, B.; MacDonald, A.H.; Fiete, G.A. Floquet engineering of topological transitions in a twisted transition metal dichalcogenide homobilayer. Physical Review B 2021, 103, 014310. [CrossRef]
- Wang, W.; Lüu, X.; Xie, H. Floquet bands and photon-induced topological edge states of graphene nanoribbons. Chinese Physics B 2021, 30, 066701. [CrossRef]
- Tahir, M.; Zhang, Q.; Schwingenschlögl, U. Floquet edge states in germanene nanoribbons. Scientific reports 2016, 6, 1–6. [CrossRef]
- Liu, H.; Sun, J.T.; Cheng, C.; Liu, F.; Meng, S. Photoinduced nonequilibrium topological states in strained black phosphorus. Physical Review Letters 2018, 120, 237403. [CrossRef]
- Tamang, L.; Nag, T.; Biswas, T. Floquet engineering of low-energy dispersions and dynamical localization in a periodically kicked three-band system. Physical Review B 2021, 104, 174308. [CrossRef]
- Schnez, S.; Güttinger, J.; Huefner, M.; Stampfer, C.; Ensslin, K.; Ihn, T. Imaging localized states in graphene nanostructures. Physical Review B 2010, 82, 165445. [CrossRef]
- Gumbs, G.; Balassis, A.; Iurov, A.; Fekete, P. Strongly localized image states of spherical graphitic particles. The Scientific World Journal 2014, 2014. [CrossRef]
- Dal Lago, V.; Morell, E.S.; Torres, L.F. One-way transport in laser-illuminated bilayer graphene: A Floquet isolator. Physical Review B 2017, 96, 235409. [CrossRef]
- Castro, E.V.; Peres, N.; Dos Santos, J.L.; Neto, A.C.; Guinea, F. Localized states at zigzag edges of bilayer graphene. Physical review letters 2008, 100, 026802. [CrossRef]
- Weekes, N.; Iurov, A.; Zhemchuzhna, L.; Gumbs, G.; Huang, D. Generalized WKB theory for electron tunneling in gapped α- T 3 lattices. Physical Review B 2021, 103, 165429. [CrossRef]
- Iurov, A.; Zhemchuzhna, L.; Gumbs, G.; Huang, D. Application of the WKB Theory to Investigate Electron Tunneling in Kek-Y Graphene. Applied Sciences 2023, 13, 6095. [CrossRef]
- Zalipaev, V.; Linton, C.; Croitoru, M.; Vagov, A. Resonant tunneling and localized states in a graphene monolayer with a mass gap. Physical Review B 2015, 91, 085405. [CrossRef]
- Zalipaev, V. Complex WKB approximations in graphene electron-hole waveguides in magnetic field. Graphene–Synthesis, Characterization, Properties and Applications; BoD—Books on Demand: Norderstedt, Germany 2011, p. 81.
- Zalipaev, V.; Maksimov, D.; Linton, C.; Kusmartsev, F. Spectrum of localized states in graphene quantum dots and wires. Physics Letters A 2013, 377, 216–221. [CrossRef]
- Dey, B.; Ghosh, T.K. Floquet topological phase transition in the α- T 3 lattice. Physical Review B 2019, 99, 205429. [CrossRef]
- Dey, B.; Ghosh, T.K. Photoinduced valley and electron-hole symmetry breaking in α- T 3 lattice: The role of a variable Berry phase. Physical Review B 2018, 98, 075422. [CrossRef]
- Lyu, K.Y.; Li, Y.X. Andreev reflection in hybrid α- T3 lattices junction. Solid State Communications 2024, 384, 115489. [CrossRef]
- Ye, X.; Ke, S.S.; Du, X.W.; Guo, Y.; Lü, H.F. Quantum tunneling in the α-T 3 model with an effective mass term. Journal of Low Temperature Physics 2020, 199, 1332–1343. [CrossRef]
- Iurov, A.; Zhemchuzhna, L.; Gumbs, G.; Huang, D.; Fekete, P.; Anwar, F.; Dahal, D.; Weekes, N. Tailoring plasmon excitations in ∖α-{∖mathcal {T}}_3α-T 3 armchair nanoribbons. Scientific reports 2021, 11, 1–13. [CrossRef]
- Islam, M.; Basu, S. Screw dislocation in a Rashba spin-orbit coupled α-T 3 Aharonov–Bohm quantum ring. Scientific Reports 2024, 14, 11232. [CrossRef]
- Iurov, A.; Zhemchuzhna, L.; Gumbs, G.; Huang, D.; Dahal, D.; Abranyos, Y. Finite-temperature plasmons, damping, and collective behavior in the α- T 3 model. Physical Review B 2022, 105, 245414. [CrossRef]
- Liu, H.L.; Hao, L.; Wang, J.; Liu, J.F. Thermopower of the dice lattice. Physical Review B 2023, 108, 115141. [CrossRef]
- Gumbs, G.; Iurov, A.; Huang, D.; Zhemchuzhna, L. Revealing Hofstadter spectrum for graphene in a periodic potential. Physical Review B 2014, 89, 241407. [CrossRef]
- Illes, E. Properties of the α-T3 Model. PhD thesis, University of Guelph, 2017.
- Iurov, A.; Zhemchuzhna, L.; Fekete, P.; Gumbs, G.; Huang, D. Klein tunneling of optically tunable Dirac particles with elliptical dispersions. Physical Review Research 2020, 2, 043245. [CrossRef]
- Illes, E.; Nicol, E. Klein tunneling in the α- T 3 model. Physical Review B 2017, 95, 235432. [CrossRef]
- Cunha, S.; da Costa, D.; Pereira Jr, J.M.; Filho, R.C.; Van Duppen, B.; Peeters, F. Tunneling properties in α-T 3 lattices: Effects of symmetry-breaking terms. Physical Review B 2022, 105, 165402. [CrossRef]
- Iurov, A.; Gumbs, G.; Huang, D. Peculiar electronic states, symmetries, and berry phases in irradiated α- t 3 materials. Physical Review B 2019, 99, 205135. [CrossRef]
- Dey, B.; Kapri, P.; Pal, O.; Ghosh, T.K. Unconventional phases in a Haldane model of dice lattice. arXiv preprint arXiv:2003.07143 2020. [CrossRef]
- Iurov, A.; Gumbs, G.; Huang, D. Many-body effects and optical properties of single and double layer α-lattices. Journal of Physics: Condensed Matter 2020, 32, 415303. [CrossRef]
- Oriekhov, D.; Gusynin, V. RKKY interaction in a doped pseudospin-1 fermion system at finite temperature. Physical Review B 2020, 101, 235162. [CrossRef]
- Iurov, A.; Zhemchuzhna, L.; Gumbs, G.; Huang, D. Optical conductivity of gapped α- T 3 materials with a deformed flat band. Physical Review B 2023, 107, 195137. [CrossRef]
- Slot, M.R.; Gardenier, T.S.; Jacobse, P.H.; Van Miert, G.C.; Kempkes, S.N.; Zevenhuizen, S.J.; Smith, C.M.; Vanmaekelbergh, D.; Swart, I. Experimental realization and characterization of an electronic Lieb lattice. Nature physics 2017, 13, 672–676. [CrossRef]
- Vicencio, R.A.; Cantillano, C.; Morales-Inostroza, L.; Real, B.; Mejía-Cortés, C.; Weimann, S.; Szameit, A.; Molina, M.I. Observation of localized states in Lieb photonic lattices. Physical review letters 2015, 114, 245503. [CrossRef]
- Mukherjee, S.; Spracklen, A.; Choudhury, D.; Goldman, N.; Öhberg, P.; Andersson, E.; Thomson, R.R. Observation of a localized flat-band state in a photonic Lieb lattice. Physical review letters 2015, 114, 245504. [CrossRef]
- Shen, R.; Shao, L.; Wang, B.; Xing, D. Single Dirac cone with a flat band touching on line-centered-square optical lattices. Physical Review B 2010, 81, 041410. [CrossRef]
- Lieb, E.H. Two theorems on the Hubbard model. Physical review letters 1989, 62, 1201. [CrossRef]
- Oriekhov, D.; Gusynin, V. Optical conductivity of semi-Dirac and pseudospin-1 models: Zitterbewegung approach. Physical Review B 2022, 106, 115143. [CrossRef]
- Neto, A.C.; Guinea, F.; Peres, N.M.; Novoselov, K.S.; Geim, A.K. The electronic properties of graphene. Reviews of modern physics 2009, 81, 109. [CrossRef]
- Gorbar, E.; Gusynin, V.; Oriekhov, D. Gap generation and flat band catalysis in dice model with local interaction. Physical Review B 2021, 103, 155155. [CrossRef]








Disclaimer/Publisher’s Note: The statements, opinions and data contained in all publications are solely those of the individual author(s) and contributor(s) and not of MDPI and/or the editor(s). MDPI and/or the editor(s) disclaim responsibility for any injury to people or property resulting from any ideas, methods, instructions or products referred to in the content. |
© 2024 by the authors. Licensee MDPI, Basel, Switzerland. This article is an open access article distributed under the terms and conditions of the Creative Commons Attribution (CC BY) license (http://creativecommons.org/licenses/by/4.0/).