Submitted:
03 December 2024
Posted:
04 December 2024
You are already at the latest version
Abstract
Keywords:
1. Introduction
2. Equivalence Between Strain and Momentum Operator Deformations
- For in-plane deformations, and thus, from Equation (15) we have the following relationsNow, integrating over a square area with diagonal between the points (0,0) and , we find and from eqs. (16) and (18) to be explicitly given asFurthermore, because of eq. (17), we can writeand hence the full set of in-plane deformations can be expressed in terms of and . In summary, for the displacement vector we havewhere
-
For out of plane deformations, , which leads to the following system of equationsFrom Equation (24) we obtain ,Now, replacing Eqs. (24) and (26) in Equation (25) we obtain in terms of the diagonal elements of a asMoreover, from Equation (26), we have that the diagonal elements are related through
3. Bound States for Inhomogeneous Fermi Velocities
3.1. Uniform Unidirectional Deformation
3.2. Shear Strain
3.3. Diagonal Inhomogeneous Fermi Velocity
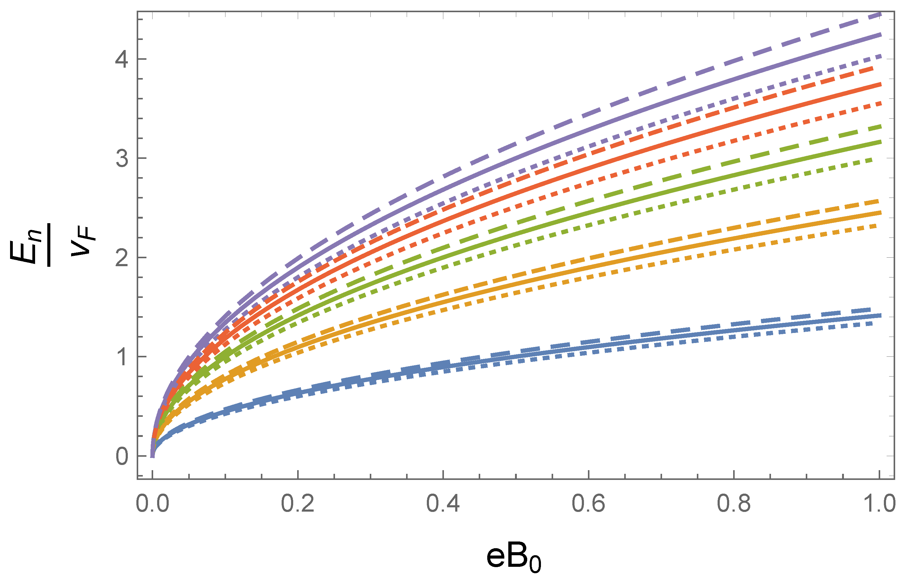
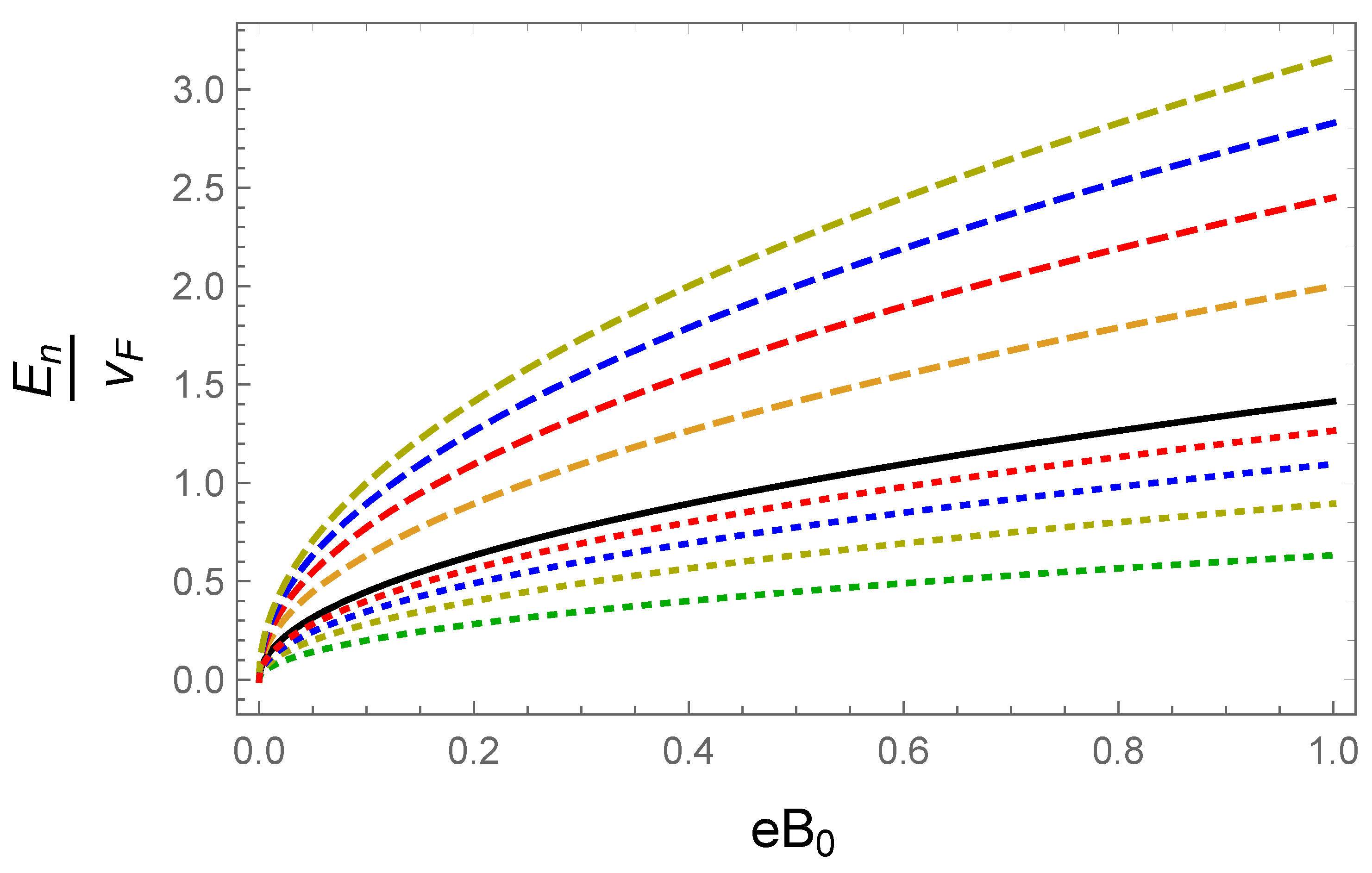
Adding an External Magnetic Field
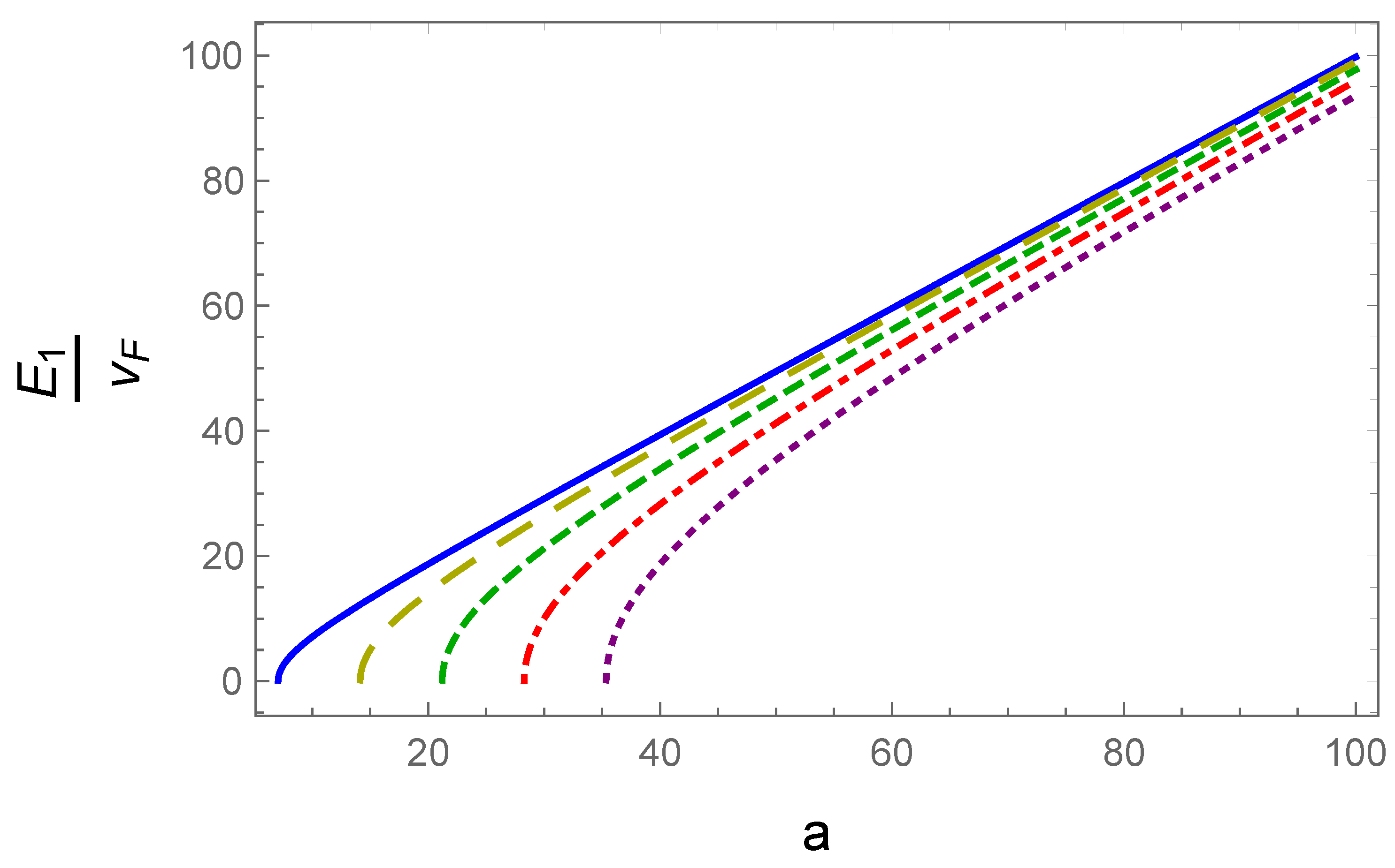
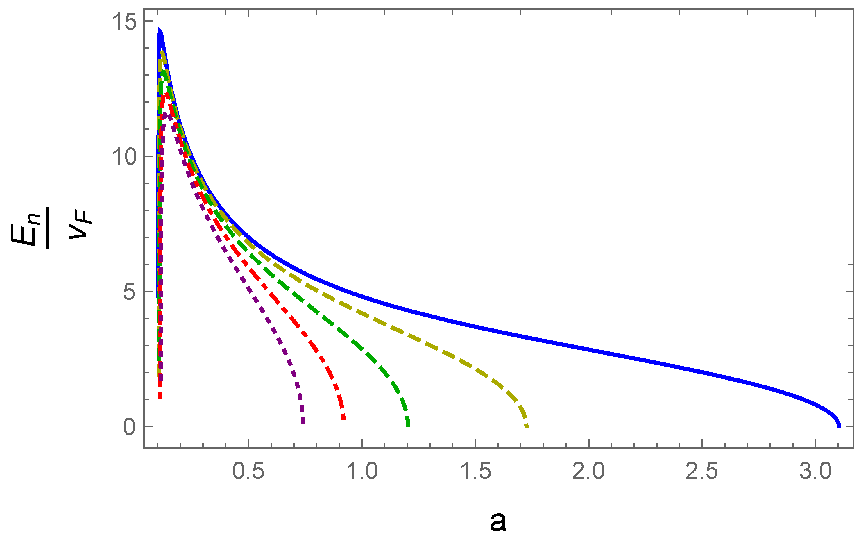
3.4. Inhomogeneous Strain in Two Variables
4. Final Remarks
Author Contributions
Funding
Data Availability Statement
Acknowledgments
Conflicts of Interest
References
- Novoselov, K.S.; Geim, A.K.; Morozov, S.V.; Jiang, D.; Zhang, Y.; Dubonos, S.V.; Grigorieva, I.V.; Firsov, A.A. Electric Field Effect in Atomically Thin Carbon Films. Science 2004, 306, 666–669, [https://www.science.org/doi/pdf/10.1126/science.1102896]. [Google Scholar] [CrossRef] [PubMed]
- Zhang, Y.; Tan, Y.W.; Stormer, H.L.; Kim, P. Experimental observation of the quantum Hall effect and Berry’s phase in graphene. Nature 2005, 438, 201–204. [Google Scholar] [CrossRef] [PubMed]
- Castro Neto, A.H.; Guinea, F.; Peres, N.M.R.; Novoselov, K.S.; Geim, A.K. The electronic properties of graphene. Rev. Mod. Phys. 2009, 81, 109–162. [Google Scholar] [CrossRef]
- Hasan, M.Z.; Kane, C.L. Colloquium: Topological insulators. Rev. Mod. Phys. 2010, 82, 3045–3067. [Google Scholar] [CrossRef]
- Qi, X.L.; Zhang, S.C. Topological insulators and superconductors. Rev. Mod. Phys. 2011, 83, 1057–1110. [Google Scholar] [CrossRef]
- Katayama, S.; Kobayashi, A.; Suzumura, Y. Electronic properties close to Dirac cone in two-dimensional organic conductor α-(BEDT-TTF)2I3. The European Physical Journal B 2009, 67, 139–148. [Google Scholar] [CrossRef]
- Kajita, K.; Nishio, Y.; Tajima, N.; Suzumura, Y.; Kobayashi, A. Molecular Dirac Fermion Systems — Theoretical and Experimental Approaches —. Journal of the Physical Society of Japan 2014, 83, 072002. [Google Scholar] [CrossRef]
- Pereira, V.M.; Castro Neto, A.H.; Peres, N.M.R. Tight-binding approach to uniaxial strain in graphene. Phys. Rev. B 2009, 80, 045401. [Google Scholar] [CrossRef]
- Tománek, D. Mesoscopic origami with graphite: scrolls, nanotubes, peapods. Physica B: Condensed Matter 2002, 323, 86–89, Proceedings of the Tsukuba Symposium on Carbon Nanotube in Commemoration of the 10th Anniversary of its Discovery. [Google Scholar] [CrossRef]
- Naumis, G.G.; Barraza-Lopez, S.; Oliva-Leyva, M.; Terrones, H. Electronic and optical properties of strained graphene and other strained 2D materials: a review. Reports on Progress in Physics 2017, 80, 096501. [Google Scholar] [CrossRef]
- Oliva-Leyva, M.; Naumis, G.G. Generalizing the Fermi velocity of strained graphene from uniform to nonuniform strain. Physics Letters A 2015, 379, 2645–2651. [Google Scholar] [CrossRef]
- Betancur-Ocampo, Y.; Cifuentes-Quintal, M.; Cordourier-Maruri, G.; de Coss, R. Landau levels in uniaxially strained graphene: A geometrical approach. Annals of Physics 2015, 359, 243–251. [Google Scholar] [CrossRef]
- Concha, Y.; Huet, A.; Raya, A.; Valenzuela, D. Supersymmetric quantum electronic states in graphene under uniaxial strain. Materials Research Express 2018, 5, 065607. [Google Scholar] [CrossRef]
- Díaz-Bautista, E.; Concha-Sánchez, Y.; Raya, A. Barut–Girardello coherent states for anisotropic 2D-Dirac materials. Journal of Physics: Condensed Matter 2019, 31, 435702. [Google Scholar] [CrossRef]
- Díaz-Bautista, E.; Oliva-Leyva, M.; Concha-Sánchez, Y.; Raya, A. Coherent states in magnetized anisotropic 2D Dirac materials. Journal of Physics A: Mathematical and Theoretical 2020, 53, 105301. [Google Scholar] [CrossRef]
- Pérez-Pedraza, J.C.; Díaz-Bautista, E.; Raya, A.; Valenzuela, D. Critical behavior for point monopole and dipole electric impurities in uniformly and uniaxially strained graphene. Phys. Rev. B 2020, 102, 045131. [Google Scholar] [CrossRef]
- Contreras-Astorga, A.; Jakubský, V.; Raya, A. On the propagation of Dirac fermions in graphene with strain-induced inhomogeneous Fermi velocity. Journal of Physics: Condensed Matter 2020, 32, 295301. [Google Scholar] [CrossRef]
- Andrade, E.; López-Urías, F.; Naumis, G.G. Topological origin of flat bands as pseudo-Landau levels in uniaxial strained graphene nanoribbons and induced magnetic ordering due to electron-electron interactions. Phys. Rev. B 2023, 107, 235143. [Google Scholar] [CrossRef]
- Naumis, G.G.; Herrera, S.A.; Poudel, S.P.; Nakamura, H.; Barraza-Lopez, S. Mechanical, electronic, optical, piezoelectric and ferroic properties of strained graphene and other strained monolayers and multilayers: an update. Reports on Progress in Physics 2023, 87, 016502. [Google Scholar] [CrossRef]
- García-Muñoz, J.D.; Pérez-Pedraza, J.C.; Raya, A. García-Muñoz, J.D.; Pérez-Pedraza, J.C.; Raya, A. Approximate solutions for electronic states with non-standard Landau levels in graphene under uniaxial periodic strain modulation. Work in progress.
- Tsoukleri, G.; Parthenios, J.; Papagelis, K.; Jalil, R.; Ferrari, A.C.; Geim, A.K.; Novoselov, K.S.; Galiotis, C. Subjecting a Graphene Monolayer to Tension and Compression. Small 2009, 5, 2397–2402, [https://onlinelibrary.wiley.com/doi/pdf/10.1002/smll.200900802]. [Google Scholar] [CrossRef]
- Morinari, T. Dynamical Time-Reversal and Inversion Symmetry Breaking, Dimensional Crossover, and Chiral Anomaly in α-(BEDT-TTF)2I3. Journal of the Physical Society of Japan 2020, 89, 073705. [Google Scholar] [CrossRef]
- Zabolotskiy, A.D.; Lozovik, Y.E. Strain-induced pseudomagnetic field in the Dirac semimetal borophene. Phys. Rev. B 2016, 94, 165403. [Google Scholar] [CrossRef]
- Sári, J.; Goerbig, M.O.; Toke, C. Magneto-optics of quasirelativistic electrons in graphene with an inplane electric field and in tilted Dirac cones in α-(BEDTTTF)2I3. Phys. Rev. B 2015, 92, 035306. [Google Scholar] [CrossRef]
- Cheng, T.; Lang, H.; Li, Z.; Liu, Z.; Liu, Z. Anisotropic carrier mobility in two-dimensional materials with tilted Dirac cones: theory and application. Phys. Chem. Chem. Phys. 2017, 19, 23942–23950. [Google Scholar] [CrossRef]
- Sári, J.; Toke, C.; Goerbig, M.O. Magnetoplasmons of the tilted anisotropic Dirac cone material α-(BEDT-TTF)2I3. Phys. Rev. B 2014, 90, 155446. [Google Scholar] [CrossRef]
- Vozmediano, M.; Katsnelson, M.; Guinea, F. Gauge fields in graphene. Physics Reports 2010, 496, 109–148. [Google Scholar] [CrossRef]
- Geim, A.K.; Novoselov, K.S. The rise of graphene. Nature Materials 2007, 6, 183–191. [Google Scholar] [CrossRef]
- Moshinsky, M.; Szczepaniak, A. The Dirac oscillator. Journal of Physics A: Mathematical and General 1989, 22, L817. [Google Scholar] [CrossRef]
- Contreras-Astorga, A. One dimensional Dirac-Moshinsky oscillator-like system and isospectral partners. Journal of Physics: Conference Series 2015, 624, 012013. [Google Scholar] [CrossRef]
- Gangopadhyaya, A.; Mallow, J.; Rasinariu, C. Supersymmetric Quantum Mechanics; second ed.; World Scientific: Singapore, 2018. [Google Scholar]
- Fernández, D.J. Trends in Supersymmetric Quantum Mechanics. Integrability, Supersymmetry and Coherent States: A Volume in Honour of Professor Véronique Hussin. Kuru, Ş., Negro, J., Nieto, L.M., Eds.; Springer International Publishing: Cham, 2019; pp. 37–68. [Google Scholar] [CrossRef]
- Fernández C., D. J.; Fernández-García, N. Higher-order supersymmetric quantum mechanics. AIP Conference Proceedings 2004, 744, 236–273, [https://pubs.aip.org/aip/acp/article-pdf/744/1/236/12152125/236_1_online.pdf]. [Google Scholar] [CrossRef]
- Junker, G. Supersymmetric Methods in Quantum, Statistical and Solid State Physics; second ed.; IOP Publishing Ltd: Bristol, 2019. [Google Scholar]
- Pérez-Pedraza, J.C.; García-Muñoz, J.D.; Raya, A. Dirac materials in parallel non-uniform electromagnetic fields generated by SUSY: a chiral Planar Hall Effect. Physica Scripta 2024, 99, 045248. [Google Scholar] [CrossRef]
- Fernández C., D. J.; García-Muñoz, J.D. Graphene in complex magnetic fields. The European Physical Journal Plus 2022, 137, 1013. [Google Scholar] [CrossRef]
- Ş Kuru.; Negro, J.; Nieto, L.M. Exact analytic solutions for a Dirac electron moving in graphene under magnetic fields. Journal of Physics: Condensed Matter 2009, 21, 455305. [CrossRef]
- Grandshteyn, I.S.; Ryzhik, I.M. Table of Integrals, Series, and Products, 8 ed.; Academic Press, Inc., 2015.
| 1 |





Disclaimer/Publisher’s Note: The statements, opinions and data contained in all publications are solely those of the individual author(s) and contributor(s) and not of MDPI and/or the editor(s). MDPI and/or the editor(s) disclaim responsibility for any injury to people or property resulting from any ideas, methods, instructions or products referred to in the content. |
© 2024 by the authors. Licensee MDPI, Basel, Switzerland. This article is an open access article distributed under the terms and conditions of the Creative Commons Attribution (CC BY) license (http://creativecommons.org/licenses/by/4.0/).