Submitted:
05 June 2024
Posted:
06 June 2024
You are already at the latest version
Abstract
Keywords:
1. Introduction
1.1. Background and Motivation
1.2. Theory
1.3. Finite Element Modelling
2. Experimental Technique
2.1. Materials








2.2. Probe
2.3. Apparatus
3. Results and Discussion
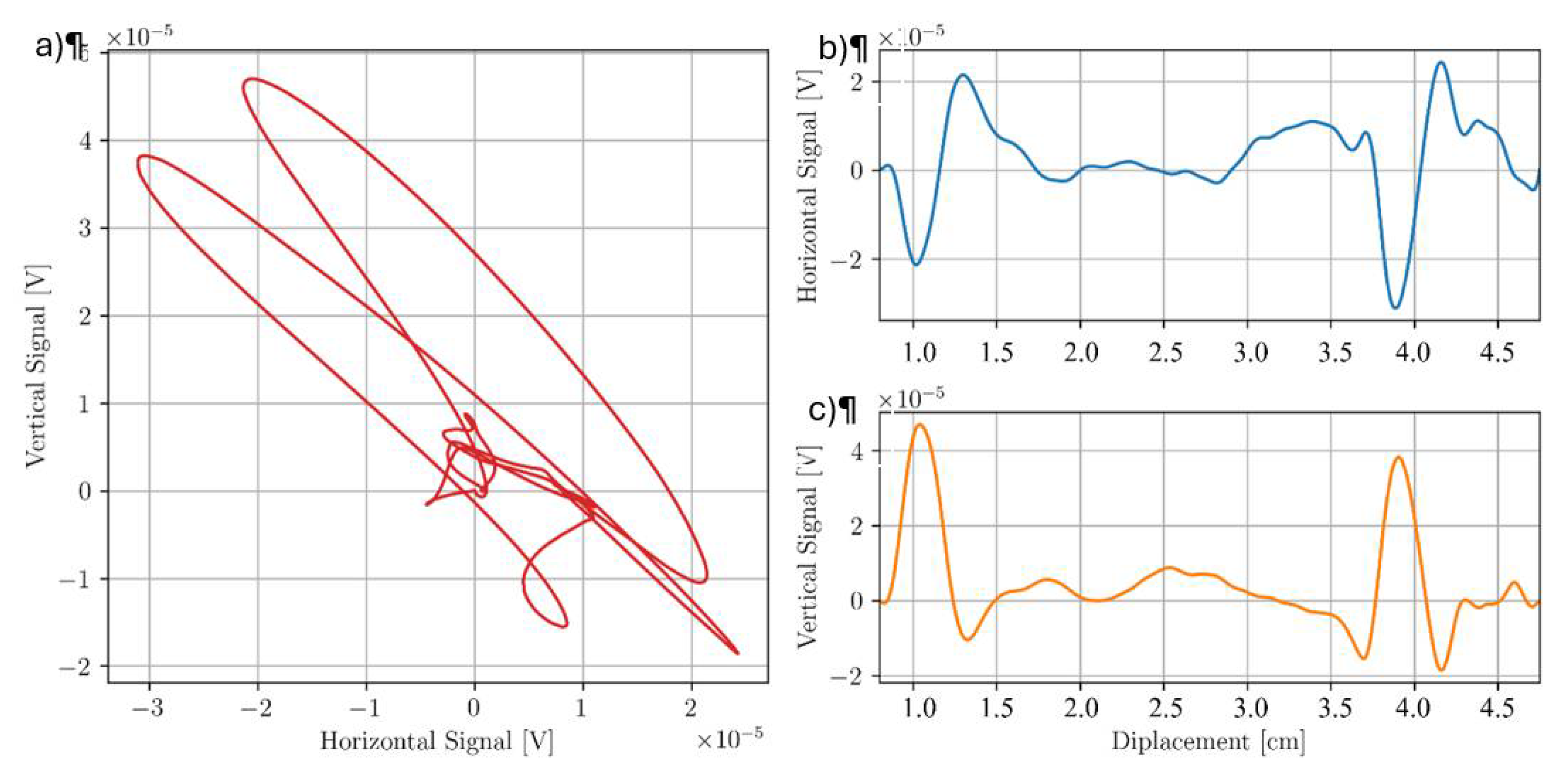
3.1. Sample D
3.2. Sample A
3.3. Sample C
4. Conclusion
Acknowledgments
References
- H. El Cheikh, B. Courant, S. Branchu, X. Huang, J. Y. Hascot, and R. Guilln, “Direct Laser Fabrication process with coaxial powder projection of 316L steel. Geometrical characteristics and microstructure characterization of wall structures,” Opt Lasers Eng, vol. 50, no. 12, pp. 1779–1784, Dec. 2012. [CrossRef]
- L. Rebecca, “Additive manufacturing, explained | MIT Sloan.” Accessed: Mar. 17, 2024. [Online]. Available: https://mitsloan.mit.edu/ideas-made-to-matter/additive-manufacturing-explained.
- P. Nyamekye, M. Leino, H. Piili, and A. Salminen, “Overview of Sustainability Studies of CNC Machining and LAM of Stainless Steel,” Phys Procedia, vol. 78, pp. 367–376, Jan. 2015. [CrossRef]
- M. Rinaldi, M. Caterino, P. Manco, M. Fera, and R. Macchiaroli, “The impact of Additive Manufacturing on Supply Chain design: a simulation study,” Procedia Comput Sci, vol. 180, pp. 446–455, Jan. 2021. [CrossRef]
- T. J. Jeon, T. W. Hwang, H. J. Yun, C. J. VanTyne, and Y. H. Moon, “Control of Porosity in Parts Produced by a Direct Laser Melting Process,” Applied Sciences 2018, Vol. 8, Page 2573, vol. 8, no. 12, p. 2573, Dec. 2018. [CrossRef]
- S. M. J. Razavi, G. G. Bordonaro, P. Ferro, J. Torgersen, and F. Berto, “Fatigue Behavior of Porous Ti-6Al-4V Made by Laser-Engineered Net Shaping,” Materials (Basel), vol. 11, no. 2, Feb. 2018. [CrossRef]
- M. Liu, A. Kumar, S. Bukkapatnam, and M. Kuttolamadom, “A Review of the Anomalies in Directed Energy Deposition (DED) Processes & Potential Solutions - Part Quality & Defects,” Procedia Manuf, vol. 53, pp. 507–518, Jan. 2021. [CrossRef]
- A. E. W. Jarfors, T. Matsushita, D. Siafakas, and R. Stolt, “On the nature of the anisotropy of Maraging steel (1.2709) in additive manufacturing through powder bed laser-based fusion processing,” Mater Des, vol. 204, p. 109608, Jun. 2021. [CrossRef]
- D. Benstock, F. Cegla, and M. Stone, “The influence of surface roughness on ultrasonic thickness measurements,” J Acoust Soc Am, vol. 136, no. 6, pp. 3028–3039, Dec. 2014. [CrossRef]
- Y. Huang, J. A. Turner, Y. Song, P. Ni, and X. Li, “Enhanced ultrasonic detection of near-surface flaws using transverse-wave backscatter,” Ultrasonics, vol. 98, pp. 20–27, Sep. 2019. [CrossRef]
- Z. Xu, Q. Tian, P. Hu, H. Li, and S. Shen, “Laser ultrasonic detection of submillimeter artificial holes in laser powder bed fusion manufactured alloys,” Opt Laser Technol, vol. 169, Feb. 2024. [CrossRef]
- D. Zuljan and Z. Zhou, “Effect of ultrasonic coupling media and surface roughness on contact transfer loss,” Cogent Eng, Dec. 2022. [CrossRef]
- D. E. Bray and R. K. Stanley, Nondestructive Evaluation : A Tool in Design, Manufacturing and Service. CRC Press, 2018. [CrossRef]
- V. S. Cecco, G. Van Drunen, and F. L. Sharp, “Atomic Energy of Canada Limited Eddy Current Manual Volume 1 Test Method,” Chalk River, 1981.
- V. K. Babbar, B. Lepine, J. Buck, P. R. Underhill, J. Morelli, and T. W. Krause, “Finite element modeling of wall-loss sizing in a steam generator tube using a pulsed eddy current probe,” in AIP Conference Proceedings, AIP Publishing, Mar. 2015, pp. 1453–1459. [CrossRef]
- C. A. Stott, P. R. Underhill, V. K. Babbar, and T. W. Krause, “Pulsed eddy current detection of cracks in multilayer aluminum lap joints,” IEEE Sens J, vol. 15, no. 2, pp. 956–962, Feb. 2015. [CrossRef]
- T. W. Krause and P. Ross Underhill, “Selecting the correct electromagnetic inspection technology,” Adv Mater Lett, vol. 10, no. 7, pp. 441–448, Jul. 2019. [CrossRef]
- S. Sullivan, “Mathematical modeling of x-probe eddy current array coils used in tube inspection,” CINDE Journal, vol. 25, no. 6, pp. 6–11, 2004, Accessed: Mar. 17, 2024. [Online]. Available: http://inis.iaea.org/Search/search.aspx?orig_q=RN:37082116.
- L. Obrutsky, B. Lepine, J. Lu, R. Cassidy, and J. Carter, “Eddy current technology for heat exchanger and steam generator tube inspection,” in Sixteenth world conference on nondestructive testing., Hamilton, Ontario, Canada: Canadian Institute for NDE, 2004. Accessed: Mar. 17, 2024. [Online]. Available: http://inis.iaea.org/Search/search.aspx?orig_q=RN:37043871.
- L. S. Obrutsky, S. P. Sullivan, and V. S. Cecco, “Transmit-receive eddy current probes,” Chalk River, 1996. Accessed: Mar. 17, 2024. [Online]. Available: http://inis.iaea.org/Search/search.aspx?orig_q=RN:29057175.
- M. Geľatko, M. Hatala, F. Botko, R. Vandžura, and J. Hajnyš, “Eddy Current Testing of Artificial Defects in 316L Stainless Steel Samples Made by Additive Manufacturing Technology,” Materials, vol. 15, no. 19, Oct. 2022. [CrossRef]
- “AISI Type 316L Stainless Steel, annealed sheet.” Accessed: Apr. 16, 2024. [Online]. Available: https://www.matweb.com/search/datasheet_print.aspx?matguid=1336be6d0c594b55afb5ca8bf1f3e042.
- M. A. ; Spurek et al., “In-situ monitoring of powder bed fusion of metals using eddy current testing,” Addit Manuf, vol. 60, p. 103259, Nov. 2022. [CrossRef]
- V. S. Cecco, S. P. Sullivan, J. R. Carter, and L. S. Obrutsky, “Innovations in Eddy Current Testing,” Chalk River, 1995.
- T. Nelligan and C. Calderwood, “Introduction to Eddy Current Testing | Olympus IMS.” Accessed: Mar. 18, 2024. [Online]. Available: https://www.olympus-ims.
- D. J. Griffiths, Introduction to Electrodynamics, 4th ed. Cambridge: Cambridge University Press, 2017.
- J. D. Jackson, Classical Electrodynamics, 3rd ed. New York: Wiley, 1999.
- C. V. Dodd, “The Use of Computer Modelling for Eddy Current Testing,” Research Techniques in NDT, vol. 3, pp. 429–479, 1977.
- J. A. Buck et al., “Pulsed eddy current inspection of support structures in steam generators,” IEEE Sens J, vol. 15, no. 8, pp. 4305–4312, Aug. 2015. [CrossRef]
- Avanindra, “Multifrequency eddy current signal analysis,” Iowa State University, Digital Repository, Ames, 1997. [CrossRef]
- H. J. Jung, S. J. Song, C. H. Kim, and D. K. Kim, “A Study of Frequency Mixing Approaches for Eddy Current Testing of Steam Generator Tubes,” Journal of the Korean Society for Nondestructive Testing, vol. 29, no. 6, pp. 579–585, 2009, Accessed: Mar. 18, 2024. [Online]. Available: http://inis.iaea.org/Search/search.aspx?orig_q=RN:41127457.
- Z. Mottl, “The quantitative relations between true and standard depth of penetration for air-cored probe coils in eddy current testing,” NDT International, vol. 23, no. 1, pp. 11–18, Feb. 1990. [CrossRef]
- G. Mook, V. Uchanin, and O. Hesse, “Deep penetrating eddy currents and probes,” in 9th European Conference on NDT, Berlin, Germany: e-Journal of Nondestructive Testing, Nov. 2006. Accessed: Mar. 18, 2024. [Online]. Available: https://www.ndt.net/search/docs.php3?id=3740.
- Y. Lu and J. R. Bowler, “An analytical model of eddy current ferrite-core probes,” AIP Conf Proc, vol. 1430, no. 1, pp. 387–392, May 2012. [CrossRef]
- P. May, E. Zhou, and D. Morton, “The design of a ferrite-cored probe,” Sens Actuators A Phys, vol. 136, no. 1, pp. 221–228, May 2007. [CrossRef]
- “Properties of Grade 5 Titanium (Ti6Al4V or Ti 6-4) - Parts Badger.” Accessed: May 15, 2024. [Online]. Available: https://parts-badger.com/properties-of-grade-5-titanium/.
- M. Ahmed, M. A. Obeidi, S. Yin, and R. Lupoi, “Influence of processing parameters on density, surface morphologies and hardness of as-built Ti-5Al-5Mo-5V-3Cr alloy manufactured by selective laser melting,” J Alloys Compd, vol. 910, p. 164760, Jul. 2022. [CrossRef]
- Y.-H. Zhang, F.-L. Luo, and H.-X. Sun, “Impedance Evaluation of a Probe-Coil’s Lift-off and Tilt Effect in Eddy-Current Nondestructive Inspection by 3D Finite Element Modeling,” in 17th World Conference on Nondestructive Testing, Shanghai, China: e-Journal of Nondestructive Testing, Nov. 2008, pp. 25–28. Accessed: Mar. 18, 2024. [Online]. Available: https://www.ndt.net/search/docs.php3?id=6585.
- Y. Le Bihan, “Lift-off and tilt effects on eddy current sensor measurements: A 3-D finite element study,” EPJ Applied Physics, vol. 17, no. 1, pp. 25–28, 2002. [CrossRef]











| Coil Parameters | ET Array Probe | FEM Starting | FEM Optimized | Physical Probe |
| Coil OD (mm) | 1.5 ± 0.1 | 2 | 2 | 2.50 ± 0.03 |
| Coil ID (mm) | 0.5 ± 0.1 | 1 | 1 | 1.00 ± 0.03 |
| Coil Height (mm) | 1.4 ± 0.1 | 2 | 2 | 2.0 ± 0.1 |
| Wire Gauge (AWG) | 44 | 44 | 44 | 44 |
| Number of turns | 320 | 300 | 300 | 300 |
| Frequency (kHz) | 1000 | 354 | 100 | Various |
| Coil-Coil separation (mm) | 2.0 ± 0.1 | 2.5 | 4 | 4 ± 0.1 |
Disclaimer/Publisher’s Note: The statements, opinions and data contained in all publications are solely those of the individual author(s) and contributor(s) and not of MDPI and/or the editor(s). MDPI and/or the editor(s) disclaim responsibility for any injury to people or property resulting from any ideas, methods, instructions or products referred to in the content. |
© 2024 by the authors. Licensee MDPI, Basel, Switzerland. This article is an open access article distributed under the terms and conditions of the Creative Commons Attribution (CC BY) license (http://creativecommons.org/licenses/by/4.0/).
