Submitted:
31 May 2024
Posted:
04 June 2024
You are already at the latest version
Abstract
Keywords:
1. Introduction
1.1. Global Warming: Consequences, Causes and Challenges
1.2. Common Practices for Analyzing Carbon Emissions
1.2.1. Input-Output Analysis
1.2.2. Decomposition Analysis
1.2.3. Econometrics
1.2.4. Data Envelopment Analysis
1.3. Problem Statement
1.4. Research Concepts: Scope, Objective and Novelty
2. Method
2.1. Multiple Linear Regression Analysis
2.1.1. Selection of Influencing Factors
2.1.2. Modeling and Solving
2.2. Data Source and Processing
2.2.1. Collection of Raw Data
2.2.2. Data Processing
3. Results and Discussion
3.1. Results of Multiple Linear Regression Analysis
3.2. Discussion
3.2.1. Verification of Multicollinearity
3.2.2. Model Validation
3.2.3. Error Analysis
3.2.4. Case Study
4. Conclusions
Conflinct of Interest
Author Contributions
Acknowledgments
References
- Energy Institute, “Statistical Review of World Energy 2023(72nd edition),” London, 2023. Accessed: Feb. 05, 2024. [Online]. Available: https://www.energyinst.org/statistical-review.
- A. Dosio, L. Mentaschi, E. M. Fischer, and K. Wyser, “Extreme heat waves under 1.5 °C and 2 °C global warming,” Environmental Research Letters, vol. 13, no. 5, p. 054006, May 2018. [CrossRef]
- R. Wartenburger, M. Hirschi, M. G. Donat, P. Greve, A. J. Pitman, and S. I. Seneviratne, “Changes in regional climate extremes as a function of global mean temperature: an interactive plotting framework,” Geosci Model Dev, vol. 10, no. 9, pp. 3609–3634, Sep. 2017. [CrossRef]
- A. Marx et al., “Climate change alters low flows in Europe under global warming of 1.5, 2, and 3 °C,” Hydrol Earth Syst Sci, vol. 22, no. 2, pp. 1017–1032, Feb. 2018. [CrossRef]
- L. Alfieri, F. Dottori, R. Betts, P. Salamon, and L. Feyen, “Multi-Model Projections of River Flood Risk in Europe under Global Warming,” Climate, vol. 6, no. 1, p. 6, Jan. 2018. [CrossRef]
- D. Gerten et al., “Asynchronous exposure to global warming: freshwater resources and terrestrial ecosystems,” Environmental Research Letters, vol. 8, no. 3, p. 034032, Sep. 2013. [CrossRef]
- P. W. Boyd, S. T. Lennartz, D. M. Glover, and S. C. Doney, “Biological ramifications of climate-change-mediated oceanic multi-stressors,” Nat Clim Chang, vol. 5, no. 1, pp. 71–79, Jan. 2015. [CrossRef]
- L. Warszawski et al., “A multi-model analysis of risk of ecosystem shifts under climate change,” Environmental Research Letters, vol. 8, no. 4, p. 044018, Dec. 2013. [CrossRef]
- S. E. Chadburn, E. J. Burke, P. M. Cox, P. Friedlingstein, G. Hugelius, and S. Westermann, “An observation-based constraint on permafrost loss as a function of global warming,” Nat Clim Chang, vol. 7, no. 5, pp. 340–344, May 2017. https://doi.org/10.1038/nclimate3262. [CrossRef]
- S. Hales, S. Kovats, S. Lloyd, D. Campbell-Lendrum, and Organización Mundial de la Salud, Quantitative risk assessment of the effects of climate change on selected causes of death, 2030s and 2050s. World Health Organization, 2014.
- S. J. Cho and B. A. McCarl, “Climate change influences on crop mix shifts in the United States,” Sci Rep, vol. 7, no. 1, p. 40845, Jan. 2017. [CrossRef]
- C. CHEN, G. ZHOU, and L. ZHOU, “Impacts of Climate Change on Rice Yield in China From 1961 to 2010 Based on Provincial Data,” J Integr Agric, vol. 13, no. 7, pp. 1555–1564, Jul. 2014. [CrossRef]
- International Energy Agency, “World Energy Outlook 2023,” Paris, 2023. [Online]. Available: www.iea.org/terms.
- China Assoiciation of Building Energy Efficiency(CABEE), “2022 Research Report of China Building Energy Consumption and Carbon Emissions,” Chongqing, 2022.
- Wassily Leontief, Green Accounting, 1st ed. Routledge, 2018. [CrossRef]
- Q. Liu, X. Yi, A. C. Falchetto, D. Wang, B. Yu, and S. Qin, “Carbon emissions quantification and different models comparison throughout the life cycle of asphalt pavements,” Constr Build Mater, vol. 411, p. 134323, Jan. 2024. [CrossRef]
- X. Su, Y. Huang, C. Chen, Z. Xu, S. Tian, and L. Peng, “A dynamic life cycle assessment model for long-term carbon emissions prediction of buildings: A passive building as case study,” Sustain Cities Soc, vol. 96, p. 104636, Sep. 2023. [CrossRef]
- Y. Xu et al., “Multi-tier life cycle assessment for evaluating low carbon strategies in soil remediation,” Environ Impact Assess Rev, vol. 106, p. 107491, May 2024. [CrossRef]
- R. R. Tan, K. B. Aviso, and D. C. Y. Foo, “P-graph and Monte Carlo simulation approach to planning carbon management networks,” Comput Chem Eng, vol. 106, pp. 872–882, Nov. 2017. [CrossRef]
- R. R. Tan, K. D. S. Yu, K. B. Aviso, and M. A. B. Promentilla, “Input–Output Modeling Approach to Sustainable Systems Engineering,” in Encyclopedia of Sustainable Technologies, Elsevier, 2017, pp. 519–523. [CrossRef]
- R. R. Tan and D. C. Y. Foo, “Carbon Emissions Pinch Analysis for Sustainable Energy Planning,” in Encyclopedia of Sustainable Technologies, Elsevier, 2017, pp. 231–237. [CrossRef]
- Z. Zhang et al., “Embodied carbon in China’s foreign trade: An online SCI-E and SSCI based literature review,” Renewable and Sustainable Energy Reviews, vol. 68, pp. 492–510, Feb. 2017. [CrossRef]
- M. Lu and J. Lai, “Review on carbon emissions of commercial buildings,” Renewable and Sustainable Energy Reviews, vol. 119, p. 109545, Mar. 2020. [CrossRef]
- R. Jing, M. N. Xie, F. X. Wang, and L. X. Chen, “Fair P2P energy trading between residential and commercial multi-energy systems enabling integrated demand-side management,” Appl Energy, vol. 262, p. 114551, Mar. 2020. [CrossRef]
- Y. Liu, L. Gan, W. Cai, and R. Li, “Decomposition and decoupling analysis of carbon emissions in China’s construction industry using the generalized Divisia index method,” Environ Impact Assess Rev, vol. 104, p. 107321, Jan. 2024. [CrossRef]
- B. W. Ang, “Decomposition methodology in industrial energy demand analysis,” Energy, vol. 20, no. 11, pp. 1081–1095, Jan. 1995. [CrossRef]
- B. Su and B. W. Ang, “Structural decomposition analysis applied to energy and emissions: Some methodological developments,” Energy Econ, vol. 34, no. 1, pp. 177–188, Jan. 2012. [CrossRef]
- J. Borja-Patiño, A. Robalino-López, and A. Mena-Nieto, “Breaking the unsustainable paradigm: exploring the relationship between energy consumption, economic development and carbon dioxide emissions in Ecuador,” Sustain Sci, vol. 19, no. 2, pp. 403–421, Mar. 2024. [CrossRef]
- S. F. Verde, “THE IMPACT OF THE EU EMISSIONS TRADING SYSTEM ON COMPETITIVENESS AND CARBON LEAKAGE: THE ECONOMETRIC EVIDENCE,” J Econ Surv, vol. 34, no. 2, pp. 320–343, Apr. 2020. [CrossRef]
- J. Huang, X. Li, Y. Wang, and H. Lei, “The effect of energy patents on China’s carbon emissions: Evidence from the STIRPAT model,” Technol Forecast Soc Change, vol. 173, p. 121110, Dec. 2021. [CrossRef]
- D. Yan, Y. Lei, and L. Li, “Driving Factor Analysis of Carbon Emissions in China’s Power Sector for Low-Carbon Economy,” Math Probl Eng, vol. 2017, pp. 1–10, 2017. [CrossRef]
- J.-C. Yeh and C.-H. Liao, “Impact of population and economic growth on carbon emissions in Taiwan using an analytic tool STIRPAT,” Sustainable Environment Research, vol. 27, no. 1, pp. 41–48, Jan. 2017. [CrossRef]
- D. Liu and B. Xiao, “Can China achieve its carbon emission peaking? A scenario analysis based on STIRPAT and system dynamics model,” Ecol Indic, vol. 93, pp. 647–657, Oct. 2018. [CrossRef]
- S. S. Ibrahim, A. Celebi, H. Ozdeser, and N. Sancar, “Modelling the impact of energy consumption and environmental sanity in Turkey: A STIRPAT framework,” Procedia Comput Sci, vol. 120, pp. 229–236, 2017. [CrossRef]
- A. Charnes, W. W. Cooper, and E. Rhodes, “Measuring the efficiency of decision making units,” Eur J Oper Res, vol. 2, no. 6, pp. 429–444, Nov. 1978. [CrossRef]
- Y. Han, C. Long, Z. Geng, and K. Zhang, “Carbon emission analysis and evaluation of industrial departments in China: An improved environmental DEA cross model based on information entropy,” J Environ Manage, vol. 205, pp. 298–307, Jan. 2018. [CrossRef]
- R. D. Banker, A. Charnes, and W. W. Cooper, “Some Models for Estimating Technical and Scale Inefficiencies in Data Envelopment Analysis,” Manage Sci, vol. 30, no. 9, pp. 1078–1092, Sep. 1984. [CrossRef]
- W. Rödder and E. Reucher, “Advanced X-efficiencies for CCR- and BCC-models – towards Peer-based DEA controlling,” Eur J Oper Res, vol. 219, no. 2, pp. 467–476, Jun. 2012. [CrossRef]
- S. Liang, J. Yang, and T. Ding, “Performance evaluation of AI driven low carbon manufacturing industry in China: An interactive network DEA approach,” Comput Ind Eng, vol. 170, p. 108248, Aug. 2022. [CrossRef]
- R. Wang, Q. Wang, and S. Yao, “Evaluation and difference analysis of regional energy efficiency in China under the carbon neutrality targets: Insights from DEA and Theil models,” J Environ Manage, vol. 293, p. 112958, Sep. 2021. [CrossRef]
- X.-D. Guo, L. Zhu, Y. Fan, and B.-C. Xie, “Evaluation of potential reductions in carbon emissions in Chinese provinces based on environmental DEA,” Energy Policy, vol. 39, no. 5, pp. 2352–2360, May 2011. [CrossRef]
- L. Y. Linghui Fu, China Statistical Yearbook 2023. Beijing: China Statistics Press, 2023.
- G. Liu, R. Chen, P. Xu, Y. Fu, C. Mao, and J. Hong, “Real-time carbon emission monitoring in prefabricated construction,” Autom Constr, vol. 110, p. 102945, Feb. 2020. [CrossRef]
- S. K. Yevu, E. K. Owusu, A. P. C. Chan, S. M. E. Sepasgozar, and V. R. Kamat, “Digital twin-enabled prefabrication supply chain for smart construction and carbon emissions evaluation in building projects,” Journal of Building Engineering, vol. 78, p. 107598, Nov. 2023. [CrossRef]
- V. Aryai and M. Goldsworthy, “Real-time high-resolution modelling of grid carbon emissions intensity,” Sustain Cities Soc, vol. 104, p. 105316, May 2024. [CrossRef]
- R. Smith, J. Kersey, and P. Griffiths, “THE CONSTRUCTION INDUSTRY MASS BALANCE: RESOURCE USE, WASTES AND EMISSIONS,” London, 2002.
- A. Asif and M. Zeeshan, “Comparative analysis of indoor air quality in offices with different ventilation mechanisms and simulation of ventilation process utilizing system dynamics tool,” Journal of Building Engineering, vol. 72, p. 106687, Aug. 2023. [CrossRef]
- Y. Geng, Z. Wang, L. Shen, and J. Zhao, “Calculating of CO2 emission factors for Chinese cement production based on inorganic carbon and organic carbon,” J Clean Prod, vol. 217, pp. 503–509, Apr. 2019. [CrossRef]
- X. Zhu, Y. Zhang, Z. Liu, H. Qiao, F. Ye, and Z. Lei, “Research on carbon emission reduction of manufactured sand concrete based on compressive strength,” Constr Build Mater, vol. 403, p. 133101, Nov. 2023. [CrossRef]
- Ministry of Ecology and Environment of the People’s Republic of China, Notice on Doing the Work Related to the Allocation of National Carbon Emission Trading Allowances for the Years 2021 and 2022 (in Chinese). Ministry of Ecology and Environment of the People’s Republic of China, 2023.
- J. Wu, Y. Xia, and S. Voigt, “Impacts of strategic behavior in regional coalitions under the sectoral expansion of the carbon market in China,” Sustain Sci, vol. 17, no. 5, pp. 1767–1779, Sep. 2022. [CrossRef]
- W. D. Long and Hao Liang, “Discussion on paths of carbon peak and carbon neutrality of urban buildings in China,” Heat. Vent. Air Cond, vol. 51, pp. 1–17, 2021.
- S. A. for M. R. Ministry of Housing and Urban-Rural Development of the People’s Republic of China, Standards for building carbon emission calculation, 1st ed., vol. 1. Beijing: China Architecture Publishing, 2019.
- G. Sahin, G. Isik, and W. G. J. H. M. van Sark, “Predictive modeling of PV solar power plant efficiency considering weather conditions: A comparative analysis of artificial neural networks and multiple linear regression,” Energy Reports, vol. 10, pp. 2837–2849, Nov. 2023. [CrossRef]
- M. Zhang, Z. Yang, L. Liu, and D. Zhou, “Impact of renewable energy investment on carbon emissions in China - An empirical study using a nonparametric additive regression model,” Science of The Total Environment, vol. 785, p. 147109, Sep. 2021. [CrossRef]
- Y. Shu and N. S. N. Lam, “Spatial disaggregation of carbon dioxide emissions from road traffic based on multiple linear regression model,” Atmos Environ, vol. 45, no. 3, pp. 634–640, Jan. 2011. [CrossRef]
- Y. Cang, L. Yang, Z. Luo, and N. Zhang, “Prediction of embodied carbon emissions from residential buildings with different structural forms,” Sustain Cities Soc, vol. 54, p. 101946, Mar. 2020. [CrossRef]
- X. Li, F. Yang, Y. Zhu, and Y. Gao, “An assessment framework for analyzing the embodied carbon impacts of residential buildings in China,” Energy Build, vol. 85, pp. 400–409, Dec. 2014. [CrossRef]
- G. Kang, T. Kim, Y.-W. Kim, H. Cho, and K.-I. Kang, “Statistical analysis of embodied carbon emission for building construction,” Energy Build, vol. 105, pp. 326–333, Oct. 2015. [CrossRef]
- R. Kumanayake and H. Luo, “A tool for assessing life cycle CO 2 emissions of buildings in Sri Lanka,” Build Environ, vol. 128, pp. 272–286, Jan. 2018. [CrossRef]
- Y.-S. Jeong, S.-E. Lee, and J.-H. Huh, “Estimation of CO2 emission of apartment buildings due to major construction materials in the Republic of Korea,” Energy Build, vol. 49, pp. 437–442, Jun. 2012. [CrossRef]
- M. Andersson, J. Barkander, J. Kono, and Y. Ostermeyer, “Abatement cost of embodied emissions of a residential building in Sweden,” Energy Build, vol. 158, pp. 595–604, Jan. 2018. [CrossRef]
- Ministry of Ecology and Environment of the People’s Republic of China, Technical guideline for environmental impact assessment of construction project General Programme, 1st ed., vol. 1. Beijing: China Environmental Press, 2023.







| Method | Principles | Characteristics | Applicability |
|---|---|---|---|
| Real-time monitoring | Basic data measured from emissions sources are summarized into carbon emissions | High result accuracy, high data acquisition difficulty, high equipment investment | Narrow application scope, generally used for emissions in small regions with available monitoring data |
| Mass balance | Carbon emissions are obtained by subtracting the non-CO2 carbon output from the input carbon content | Can describe GHG production in great detail only if the intermediate reaction processes are clear, demands high data accuracy and large workload | Can be used to check the accuracy of calculations by other methods, mainly used for accounting emissions during the production process |
| Emission factor | Carbon emissions are obtained by multiplying the volume of production or consumption activities that result in greenhouse gas emissions with the coefficient corresponding to the activity volume data | Simple and easy to understand, with a large number of reliable data and application cases. However, emission factors vary from region to region, leading to uncertainty when the emission system changes | Suitable for carbon emission calculations when the internal complexity of emission sources is low |
| No | Building material | Emission source |
|---|---|---|
| 1 | Plastics (polyvinyl chloride, polyurethane, polypropylene, polycarbonate, ABS, nylon) | Petrochemical extraction and processing, energy-intensive production |
| 2 | Tiles | High-temperature firing during manufacturing, transportation |
| 3 | Clay | Energy use in extraction and processing |
| 4 | Gypsum | Energy use in extraction and processing |
| 5 | Stone (granite, marble, sandstone, slate) | Energy use in extraction and transportation |
| 6 | Metal (aluminum, stainless steel, copper and titanium) | Energy-intensive extraction and processing |
| 7 | Timber | Deforestation, transportation, processing |
| 8 | Masonry | Energy-intensive firing, transportation |
| 9 | Gravel | Energy use in extraction and transportation |
| 10 | Sand | Energy use in extraction and transportation |
| 11 | Rebar (including steel) | Energy-intensive steel production process |
| 12 | Concrete (including mortar) | Cement production, energy-intensive manufacturing process |
| Data set # | Building classification | City | Structure type | No. of floors | Gross area(m2) | Year |
|---|---|---|---|---|---|---|
| 1 | School | Chengdu | Framing | 5 | 2411.92 | 2015 |
| 2 | School | Chengdu | Framing | 5 | 3054.08 | 2018 |
| 3 | School | Chengdu | Framing | 4 | 4640.73 | 2020 |
| 4 | Multi-Family Home | Chengdu | Framing | 5 | 4940.44 | 2017 |
| 5 | Multi-Family Home | Chengdu | Framing | 5 | 4964.08 | 2018 |
| 6 | Multi-Family Home | Chengdu | Framing | 5 | 5277.91 | 2020 |
| 7 | Apartment building | Chengdu | Framing | 6 | 5387.06 | 2023 |
| 8 | Apartment building | Chengdu | Shear wall framing | 7 | 5594.79 | 2023 |
| 9 | Apartment building | Chengdu | Framing | 4 | 5775.11 | 2019 |
| 10 | Apartment building | Chengdu | Framing | 3 | 5786.97 | 2022 |
| 11 | Apartment building | Chengdu | Framing | 5 | 6075.29 | 2022 |
| 12 | Hospital | Bazhong | Shear wall framing | 4 | 6869.34 | 2019 |
| 13 | Office building | Luzhou | Shear wall framing | 6 | 6995.58 | 2018 |
| 14 | Apartment building | Chengdu | Framing | 7 | 7575.78 | 2016 |
| 15 | Hotel/Motel | Chengdu | Framing | 5 | 7960.50 | 2021 |
| 16 | College | Chengdu | Framing | 5 | 8029.49 | 2019 |
| 17 | School | Chengdu | Framing | 5 | 8051.75 | 2021 |
| 18 | Retail and Service | Chengdu | Framing | 6 | 8876.40 | 2019 |
| 19 | Retail and Service | Chengdu | Framing | 6 | 9009.63 | 2023 |
| 20 | Recreational Facility | Chengdu | Framing | 6 | 9934.70 | 2023 |
| No. | Item code | Item name | Item Features | Unit | Quantity | Cost (¥) | ||
| Unit price | Subtotal | Labor cost | ||||||
| 10 | 010401003001 | Solid brick wall |
1.Block type: aerated concrete block 2.Wall type: interior wall3.Motar strength grade: M54.Wall thickness: 120mm |
m3 | 12.36 | 322.24 | 3982.89 | 1198.12 |
| Masonry project cost subtotal | 461858.24 | 143531.11 | ||||||
| Concrete and Reinforcement Works | ||||||||
| 11 | 010501001001 | Bedding | 1.Concrete type: commercial concrete 2.Concrete Strength Grade:C15 |
m3 | 85.72 | 362.3 | 31056.36 | 1911.98 |
| 12 | 010501002001 | Strip foundation | 1.Concrete type: commercial concrete 2.Concrete Strength Grade:C30 |
m3 | 21.45 | 402.65 | 8636.84 | 500.32 |
| 13 | 010501003001 | Independent foundation | 1.Concrete type: commercial concrete 2.Concrete Strength Grade:C30 |
m3 | 347.86 | 402.65 | 140065.83 | 8113.83 |
| 14 | 010502001001 | Rectangular column | 1.Concrete type: commercial concrete 2.Concrete Strength Grade:C25 |
m3 | 184.17 | 389.87 | 71802.36 | 5027.84 |
| 15 | 010502001002 | Rectangular column | 1.Concrete type: commercial concrete 2.Concrete Strength Grade:C30 |
m3 | 139.67 | 409.97 | 57260.51 | 3812.99 |
| 16 | 010502002001 | Structural column | 1.Concrete type: commercial concrete 2.Concrete Strength Grade:C25 |
m3 | 71.01 | 389.87 | 27684.67 | 1938.57 |
| 17 | 010502002002 | Structural column | 1.Concrete type: commercial concrete 2.Concrete Strength Grade:C30 |
m3 | 16.02 | 409.97 | 6567.72 | 437.35 |
| 18 | 010503002001 | Rectangular beam | 1.Concrete type: commercial concrete 2.Concrete Strength Grade:C25 |
m3 | 75.44 | 389.37 | 29374.07 | 2013.12 |
| 19 | 010503002002 | Rectangular beam | 1.Concrete type: commercial concrete 2.Concrete Strength Grade:C30 |
m3 | 13.5 | 409.47 | 5527.85 | 360.25 |
| Subtotal for this page | 377976.21 | 24116.25 | ||||||
| No. | Material name | Unit | Quantity | Carbon emission factor (kgCO₂e/unit) | Carbon emissions (kgCO₂e) | |
|---|---|---|---|---|---|---|
| 1 | Concrete (C15) | m3 | 85.72 | 228 | 19544.16 | |
| 2 | Concrete (C20) | m3 | 1772.20 | 263 | 466088.60 | |
| 3 | Concrete (C30) | m3 | 912.39 | 248 | 226272.72 | |
| 4 | Gravel Concrete | m3 | 217.86 | 295 | 64268.70 | |
| Concrete project subtotal | 2988.17 | — | 776174.18 | |||
| 5 | Rebar (HPB300) | t | 41.21 | 2310 | 95188.17 | |
| 6 | Rebar (HRB335) | t | 6.09 | 2340 | 14248.26 | |
| 7 | Rebar (HRB400) | t | 216.50 | 2350 | 508784.40 | |
| Rebar project subtotal | 263.80 | — | 618220.83 | |||
| 8 | Solid brick | m3 | 60.17 | 341 | 20517.97 | |
| 9 | Porous brick | m3 | 445.95 | 341 | 152068.95 | |
| 10 | Building blocks | m3 | 885.68 | 327 | 289617.36 | |
| Masonry project subtotal | 1391.80 | — | 462204.28 | |||
| Grand total | — | — | 1856599.29 | |||
| Data set# | Quantity | Carbon emissions (kgCO₂e) | Gross area (m2) | Carbon emissions/unit area (kgCO₂e/m2) | ||
| Concrete (m³) | Rebar (t) | Masonry (m³) | ||||
| 1 | 1618.60 | 138.43 | 597.43 | 971114.28 | 2411.92 | 402.63 |
| 2 | 1259.19 | 168.43 | 643.17 | 977463.40 | 3054.08 | 320.05 |
| 3 | 2028.72 | 228.79 | 3925.88 | 2436649.78 | 4640.73 | 525.06 |
| 4 | 3797.81 | 187.73 | 918.32 | 1737206.39 | 4940.44 | 351.63 |
| 5 | 1897.44 | 168.73 | 1006.18 | 1289469.01 | 4964.08 | 259.76 |
| 6 | 2089.77 | 158.16 | 1285.66 | 1359164.66 | 5277.91 | 257.52 |
| 7 | 609.90 | 260.84 | 1172.56 | 1181110.56 | 5387.06 | 219.25 |
| 8 | 2192.10 | 214.19 | 780.68 | 1405111.38 | 5594.79 | 251.15 |
| 9 | 1715.64 | 211.94 | 1545.25 | 1442744.98 | 5775.11 | 249.82 |
| 10 | 2291.90 | 256.95 | 1384.37 | 1862171.38 | 5787.97 | 321.79 |
| 11 | 3026.36 | 294.37 | 1420.99 | 2053804.75 | 6075.29 | 338.06 |
| 12 | 3417.75 | 236.94 | 1790.69 | 2189107.89 | 6869.34 | 318.68 |
| 13 | 2756.31 | 230.94 | 1672.39 | 1923116.79 | 6995.58 | 274.90 |
| 14 | 3479.03 | 580.38 | 2020.19 | 3078582.56 | 7575.78 | 406.37 |
| 15 | 2560.02 | 295.90 | 1248.16 | 1768854.13 | 7960.50 | 222.20 |
| 16 | 2988.17 | 263.80 | 1391.80 | 1856599.36 | 8029.49 | 231.22 |
| 17 | 2735.34 | 412.73 | 1259.19 | 2194156.84 | 8051.75 | 272.51 |
| 18 | 2459.30 | 340.31 | 2161.22 | 2249875.76 | 8876.40 | 253.48 |
| 19 | 3266.15 | 447.05 | 1740.60 | 2604957.50 | 9009.63 | 289.13 |
| 20 | 3942.87 | 607.96 | 1123.67 | 2909373.28 | 9934.70 | 292.85 |
| Collinearity statistics | ||
| Capacity | VIF | |
| Concrete | 0.657 | 1.522 |
| Rebar | 0.642 | 1.557 |
| Masonry | 0.963 | 1.039 |
| Sum of squares | Degrees of freedom | Mean square | F-Value | Significance | |
|---|---|---|---|---|---|
| Between | 6842727600158.907 | 3 | 2280909200052.969 | 666.835 | 0.000 |
| Within | 54728000956.385 | 16 | 3420500059.774 | — | — |
| Total | 6897455601115.293 | 19 | — | — | — |
| Unstandardized Coefficients | Standardized coefficients Beta |
t | Significance | ||
| B | Standard error (σ) | ||||
| (Constant) | -18040.215 | 7026.180 | — | -0.384 | 0.706 |
| Concrete | 271.499 | 19.154 | 0.389 | 14.175 | <0.001 |
| Rebar | 2470.192 | 126.637 | 0.542 | 19.506 | <0.001 |
| Masonry | 348.319 | 19.021 | 0.416 | 18.312 | <0.001 |
| Model | R | R² | Adjusted R square | Std. error of the estimate | Durbin-Watson |
| 1 | 0.996 | 0.992 | 0.991 | 58485.04133 | 1.939 |
| Data Set # | Manual calculation (kgCO₂e) | QCEPM calculation (kgCO₂e) | Error (%) |
| 1 | 971114.28 | 989493.1801 | 1.89 |
| 2 | 977463.40 | 981951.5956 | 0.46 |
| 3 | 2436649.78 | 2483409.275 | 1.92 |
| 4 | 1737206.39 | 1814699.065 | 4.46 |
| 5 | 1289469.01 | 1282420.17 | -0.55 |
| 6 | 1359164.66 | 1405875.837 | 3.44 |
| 7 | 1181110.56 | 1218337.048 | 3.15 |
| 8 | 1405111.38 | 1396169.059 | -0.64 |
| 9 | 1442744.98 | 1527567.243 | 5.88 |
| 10 | 1862171.38 | 1739166.767 | -6.61 |
| 11 | 2053804.75 | 2043761.948 | -0.49 |
| 12 | 2189107.89 | 2136934.35 | -2.38 |
| 13 | 1923116.79 | 1901326.762 | -1.13 |
| 14 | 3078582.56 | 3081873.76 | 0.11 |
| 15 | 1768854.13 | 1860730.526 | 6.22 |
| 16 | 1856599.36 | 1947712.201 | 4.91 |
| 17 | 2194156.84 | 2200764.22 | 0.30 |
| 18 | 2249875.76 | 2261122.519 | 0.50 |
| 19 | 2604957.50 | 2597339.844 | -0.29 |
| 20 | 2909373.28 | 2963658.801 | 1.87 |
| Data set # | Project name | City | Structure type | Gross area (m2) | No. of floors | Year |
| 1 | Jinjiang Commercial Building | Chengdu | Framing | 1861.31 | 2 | 2023 |
| 2 | Longjianglu Elementary School building | Chengdu | Framing | 3002.10 | 6 | 2023 |
| 3 | Jinxiu Residence | Chengdu | Framing | 4940.44 | 6 | 2023 |
| 4 | Banan Middle School building | Chongqing | Framing | 5277.91 | 5 | 2023 |
| 5 | Liangchen Residence | Chengdu | Framing | 5648.51 | 3 | 2022 |
| 6 | Zuoyu Residence | Chengdu | Framing | 8315.25 | 6 | 2023 |
| 7 | Rilian Residence | Chengdu | Framing | 8798.40 | 6 | 2023 |
| 8 | Xiayu Residence | Chengdu | Framing | 10264.80 | 7 | 2023 |
| 9 | Aochuang Commercial Complex | Chengdu | Shear wall framing | 13645.65 | 5 | 2022 |
| 10 | Tianchen Office Tower | Chengdu | Framing | 18109.90 | 6 | 2023 |
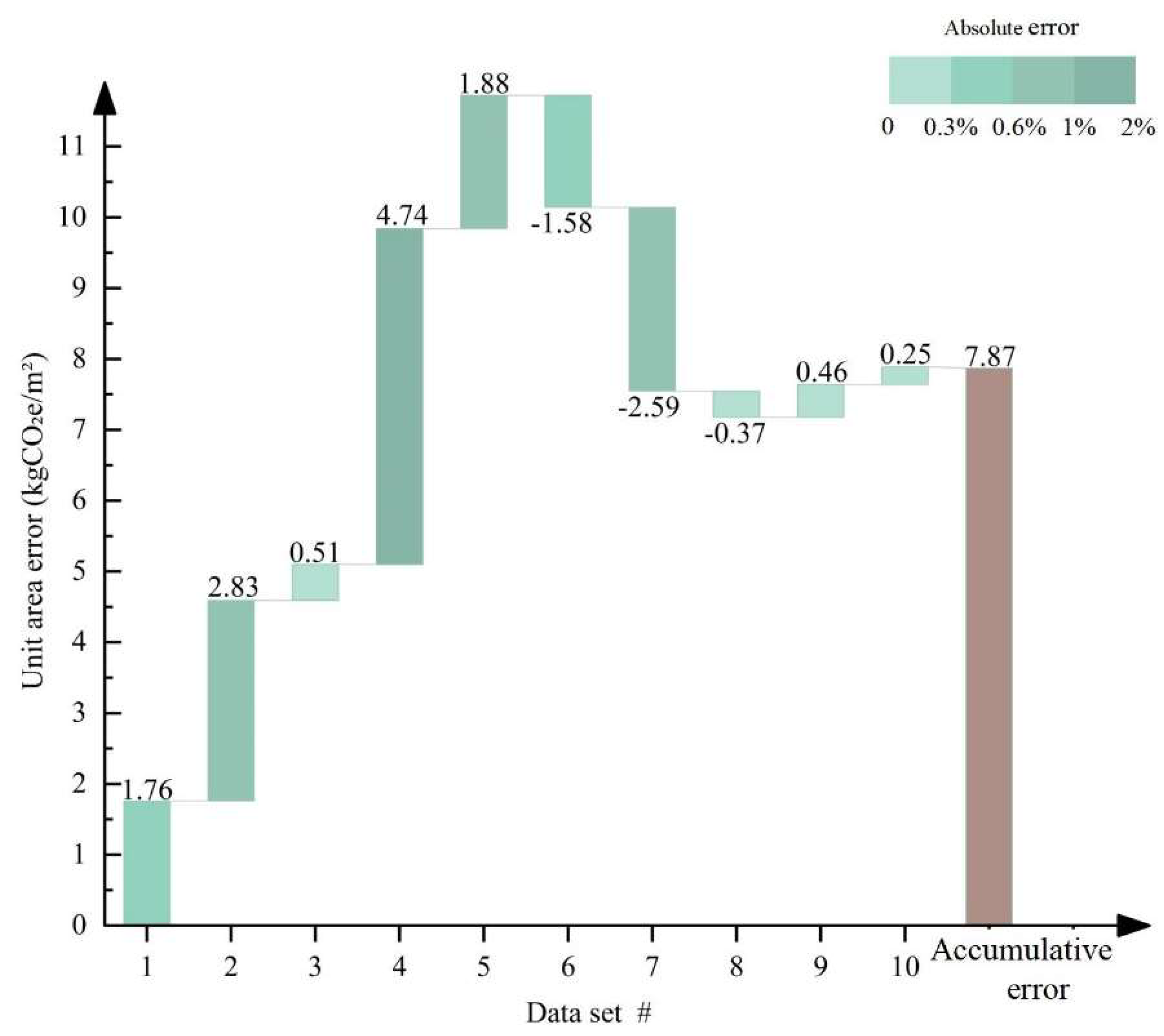
| Data set # |
Quantity | Manual calculation (kgCO₂e) |
QCEPM calculation (kgCO₂e) | Error (%) | Unit area error (kgCO₂e/m2) |
||
| Concrete (m³) | Rebar (t) | Masonry (m³) | |||||
| 1 | 716.42 | 98.11 | 600.42 | 642724.42 | 645995.54 | 0.51 | 1.76 |
| 2 | 1421.71 | 156.53 | 1106.59 | 1149602.60 | 1158098.32 | 0.74 | 2.83 |
| 3 | 2756.98 | 160.13 | 1104.71 | 1526345.96 | 1528860.64 | 0.16 | 0.51 |
| 4 | 1408.81 | 177.65 | 1121.72 | 1186995.56 | 1212036.50 | 2.11 | 4.74 |
| 5 | 2233.84 | 261.11 | 1097.11 | 1622969.47 | 1633621.42 | 0.66 | 1.86 |
| 6 | 2657.55 | 268.99 | 2318.96 | 2206884.00 | 2193716.94 | -0.60 | -1.58 |
| 7 | 3291.52 | 353.76 | 2425.03 | 2634963.66 | 2612183.54 | -0.86 | -2.59 |
| 8 | 2708.1 | 386.91 | 2739.7 | 2649052.36 | 2645277.99 | -0.14 | -0.37 |
| 9 | 4518.09 | 769.52 | 1405.15 | 3610613.97 | 3616959.51 | 0.18 | 0.46 |
| 10 | 4565.1 | 665.99 | 3741.03 | 4183085.05 | 4187615.08 | 0.11 | 0.25 |
Disclaimer/Publisher’s Note: The statements, opinions and data contained in all publications are solely those of the individual author(s) and contributor(s) and not of MDPI and/or the editor(s). MDPI and/or the editor(s) disclaim responsibility for any injury to people or property resulting from any ideas, methods, instructions or products referred to in the content. |
© 2024 by the authors. Licensee MDPI, Basel, Switzerland. This article is an open access article distributed under the terms and conditions of the Creative Commons Attribution (CC BY) license (http://creativecommons.org/licenses/by/4.0/).