Submitted:
28 May 2024
Posted:
29 May 2024
You are already at the latest version
Abstract
Keywords:
1. Introduction
2. The SU2-Angular Momentum Lipkin Quasi-Spin Formalism [1–8]
2.1. The State’s ’s Degree of Mixture
3. First Results
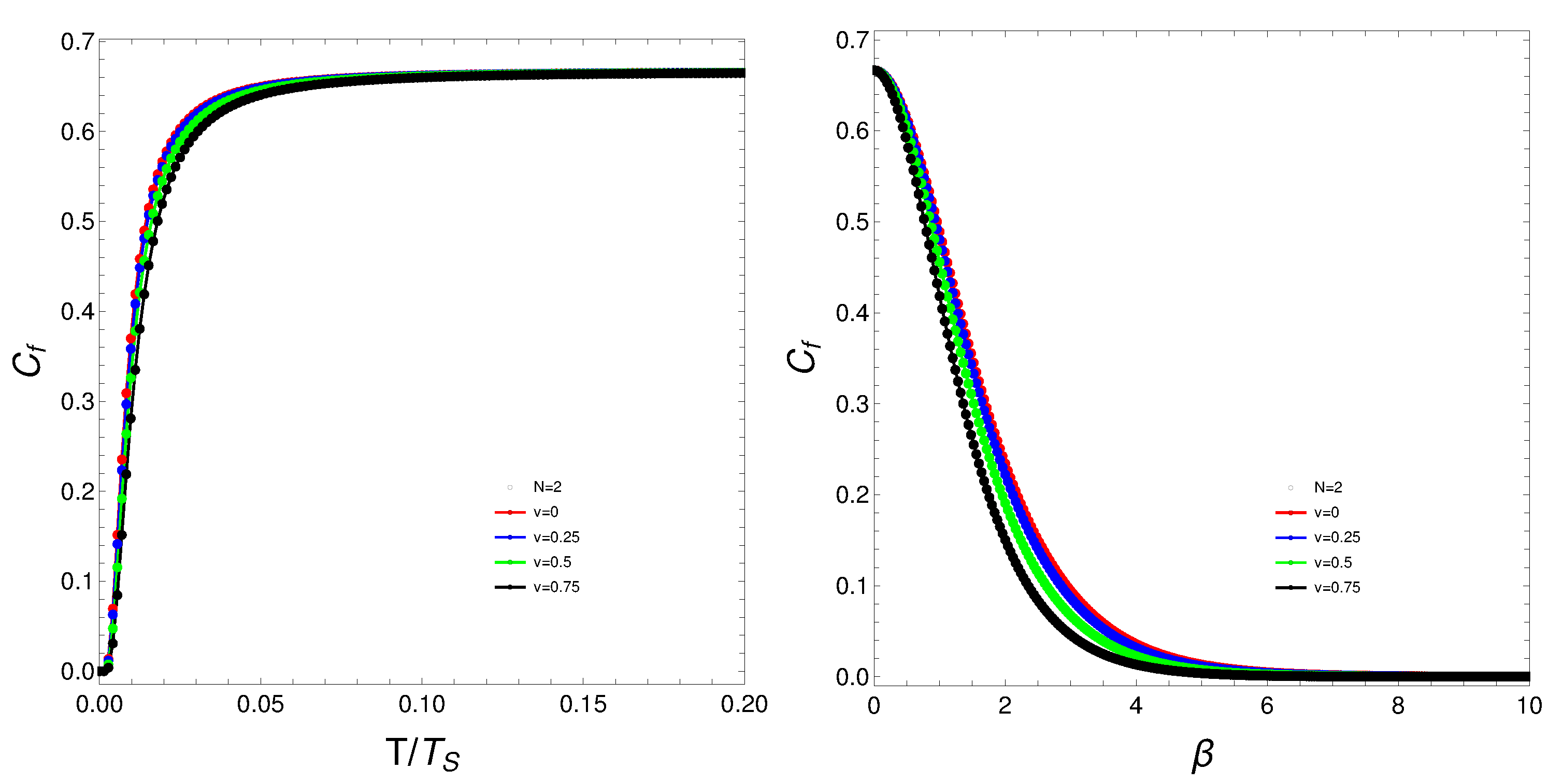
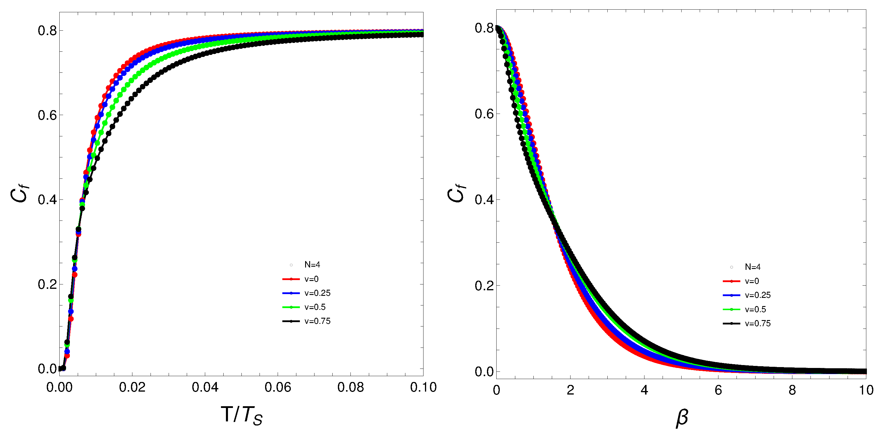
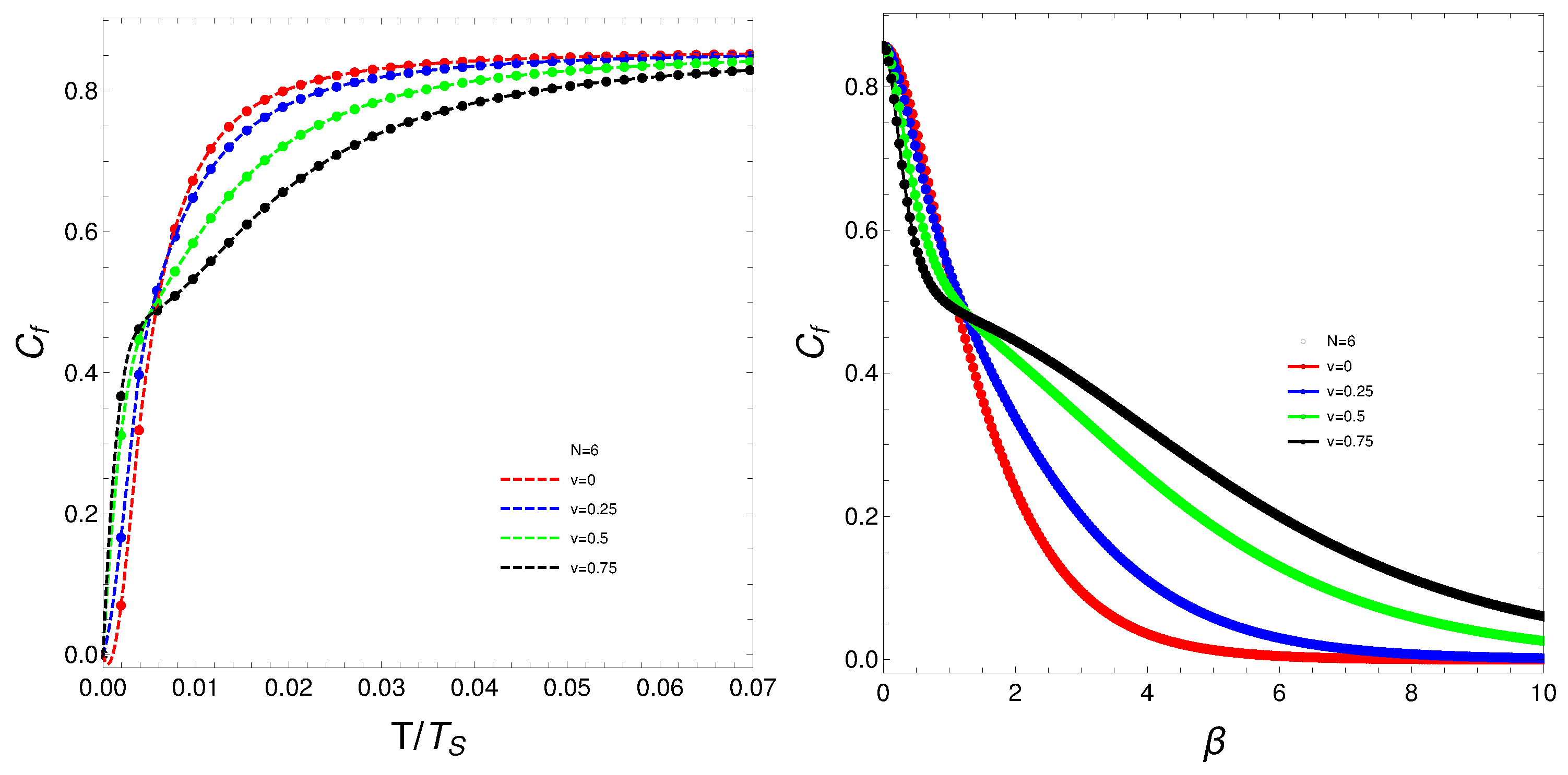
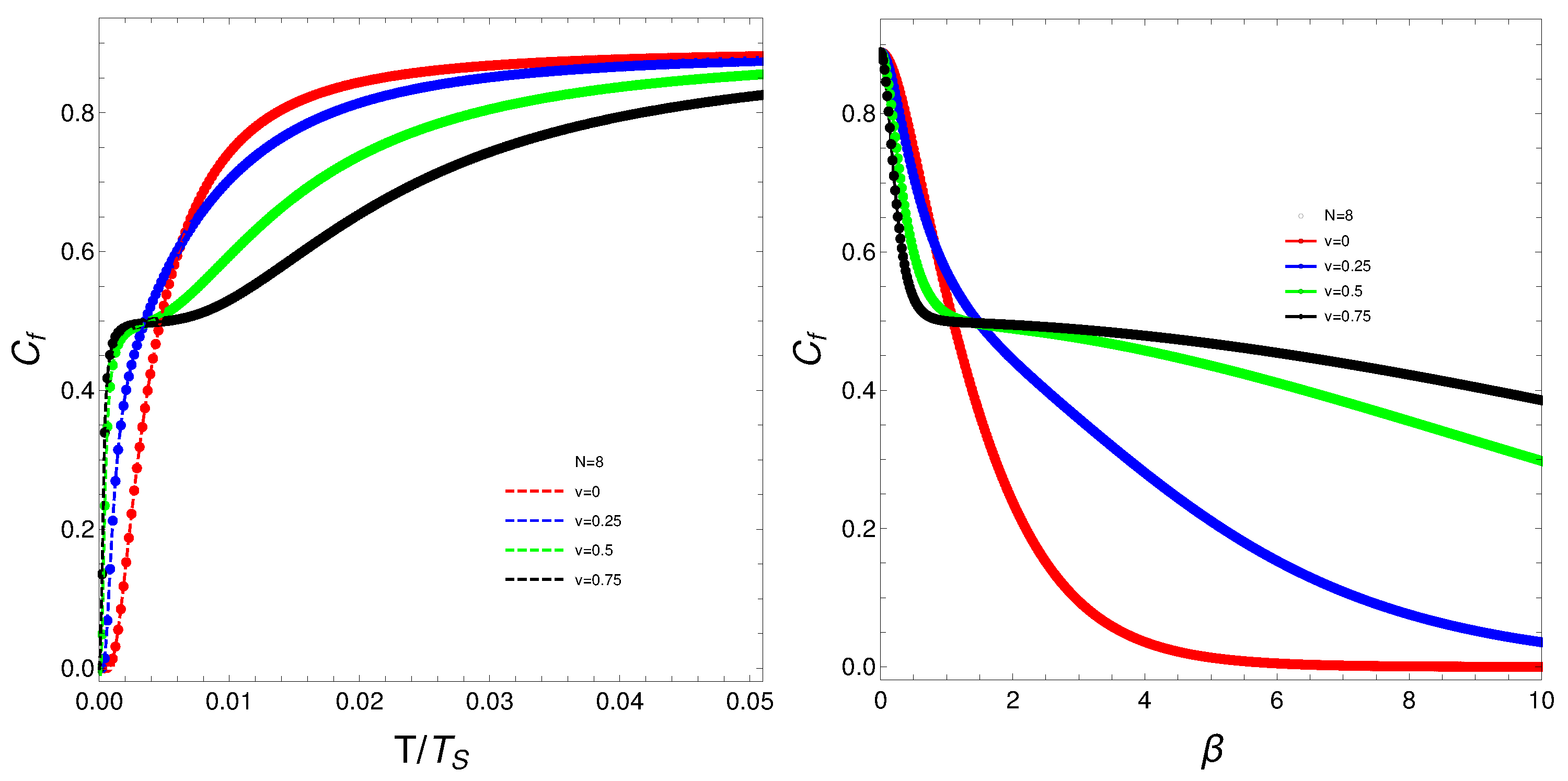
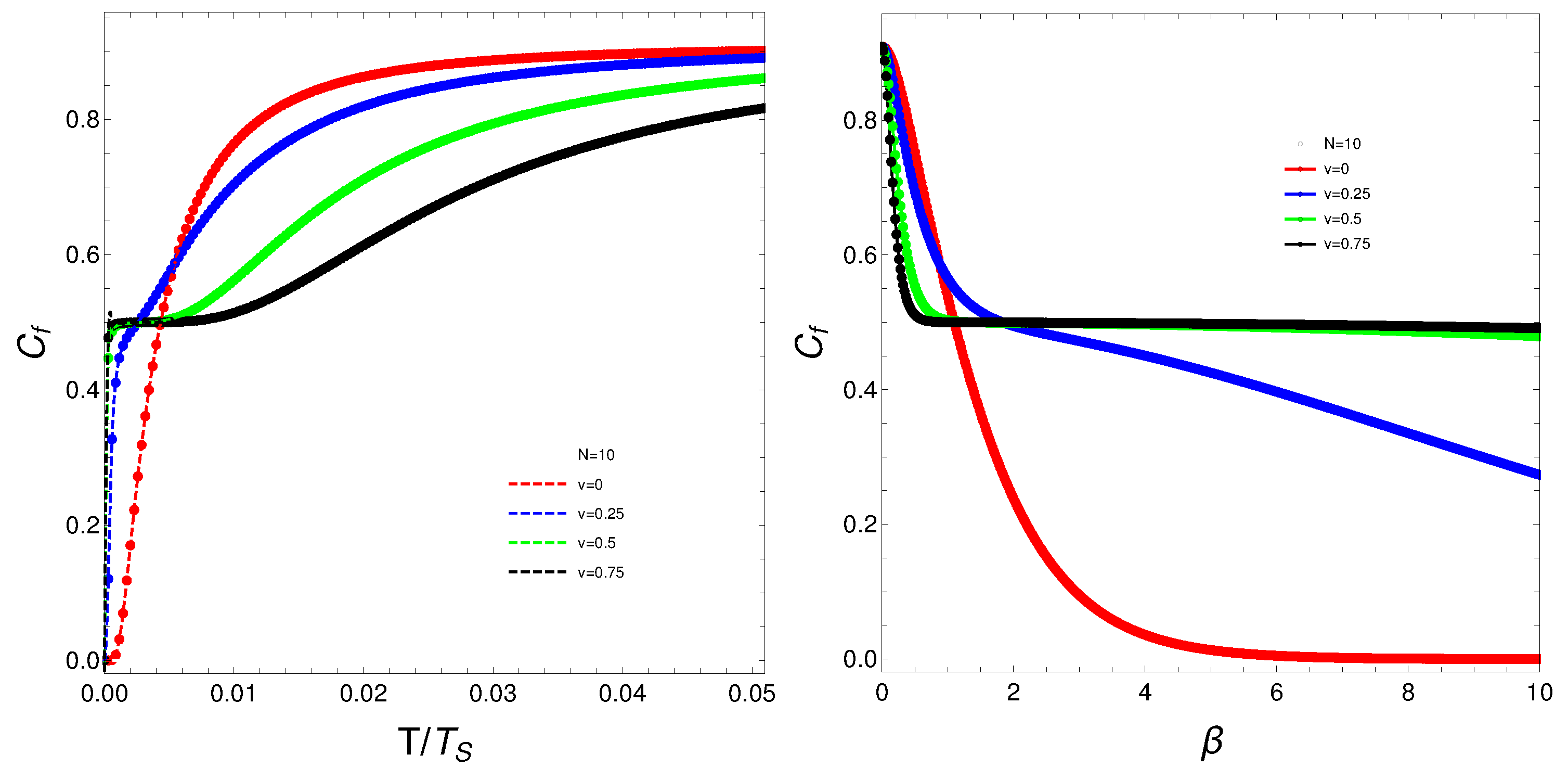
3.1. versus Temperature





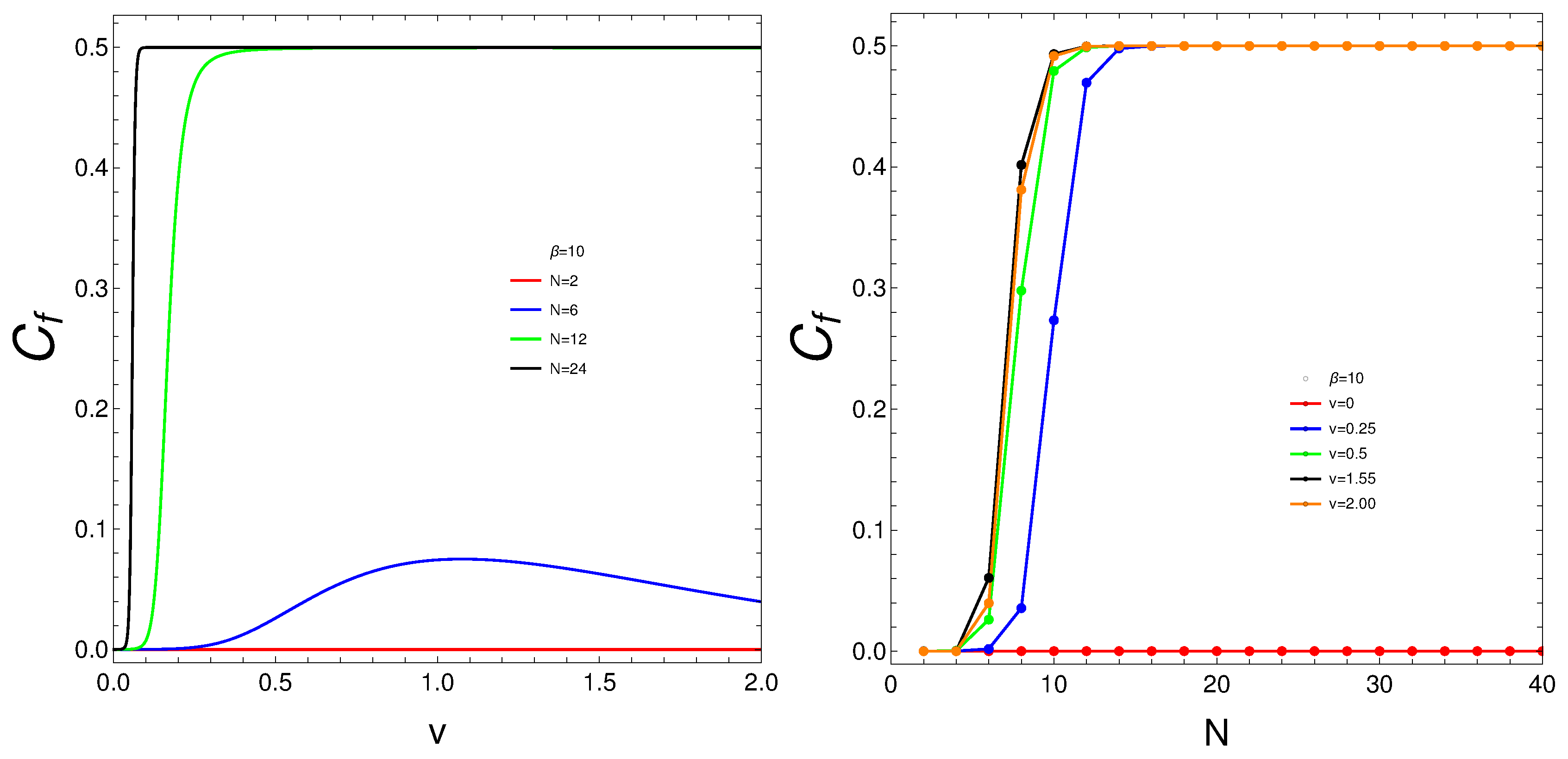
3.2. Changes as Plotted versus v or versus N
- As soon as the interaction is turned on, it reaches a critical threshold where the system can no longer maintain this ordered phase, leading to an abrupt jump to a mixed phase with a degree of mixing at 0.5. This critical interaction threshold marks a point where the system’s energy landscape changes significantly.
- At this critical point, the system’s ground state undergoes a reconfiguration. The abrupt jump in the degree of mixing suggests that the system transitions from a non-mixed state to a highly mixed state in which the particles are now in a superposition of states.
- This reconfiguration minimizes the system’s free energy under the new interaction regime, as we will see below, leading to a more stable state with increased quantum coherence and entanglement among the fermions.
- -
- The jump to a mixing of 0.5 indicates a sudden onset of quantum coherence. The system achieves a new equilibrium where the quantum states are coherently mixed, resulting in an optimal balance of energy.
- -
- The high degree of mixing implies that the system has transitioned to a state where fermions are delocalized and strongly correlated, maximizing the entropy, as we will cinfirm below, Thus, introducing fermion interactions induces strong correlation effects that are not present in the non-interacting system. These correlations enhance the mixing of quantum states, leading to a robust mixed phase.
- -
- The interactions cause the particles to collectively behave in a way that drastically alters the macroscopic properties of the system, reflected in the sudden change in the degree of mixing. The abrupt change in the degree of mixing highlights the robustness of the quantum phase transition. It demonstrates that even a small interaction can lead to significant changes in the system’s macroscopic properties when the number of particles is large enough.
- -
- This robustness indicates that the system’s behavior is dominated by collective effects rather than individual particle properties, a hallmark of many-body quantum systems.
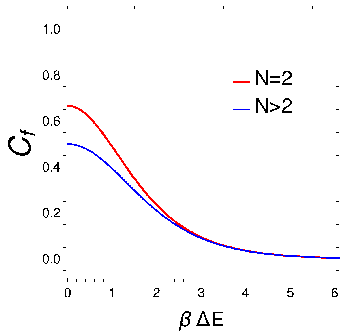
4. Connection between the Degree of Mixture and the Differences between Energy Levels
- Energy Level Density and Quantum States: As the separation between energy levels decreases, the density of available quantum states increases. When energy levels are closely spaced, fermions have a larger number of states to occupy within a small energy range. This increased state density enhances the probability of transitions between states, leading to greater mixing of quantum states.
- Thermal Excitations: At low temperatures, fermions typically occupy the lowest available energy states due to the Pauli exclusion principle. However, as the energy level separation decreases, even small thermal excitations can cause fermions to transition between states. This results in a higher degree of occupation of excited states, contributing to quantum mixing.
- Interaction-Induced Mixing: Interactions between fermions can lead to hybridization of states, where the eigenstates of the system become superpositions of non-interacting states. When energy levels are closely spaced, interactions more readily cause mixing because the energy required to couple states is lower. This leads to an increased degree of quantum mixedness as interactions redistribute the fermions among the available states.
- Quantum Fluctuations: In systems with closely spaced energy levels, quantum fluctuations become more significant. These fluctuations can induce transitions between states, further enhancing quantum mixing. The reduced energy gap means that even small perturbations (thermal or quantum) can cause changes in the occupation of states.

5. Free Energy F vs


6. Conclusions
- The degree of quantum mixedness displays a strong dependency on the total number of fermions, highlighting distinct behaviors across different temperature regimes. This emphasizes the importance of considering fermion number in analyzing quantum systems, as it directly influences the system’s mixedness and overall state.
- - Remarkably, the observed dependencies of quantum mixedness on fermion number and temperature are robust against variations in the fermion-fermion interaction strength, provided the interaction is non-zero. This robustness suggests that the fundamental properties of quantum mixing are intrinsic to the system’s structure rather than being heavily influenced by interaction specifics.
- - The insights gained from this study have potential implications for various fields, including condensed matter physics and quantum information science. Understanding the dependencies and behaviors of quantum degree of mixedness in fermionic systems can inform the development of quantum technologies and enhance the theoretical models used to describe complex quantum systems.
Author Contributions
Funding
Data Availability Statement
Conflicts of Interest
References
- Lipkin, H.J., N. Meshkov, and A.J. Glick. "Validity of many-body approximation methods for a solvable model: (I). Exact solutions and perturbation theory for the N = 3 case." Nuclear Physics, 62 (1965): 188-198. [CrossRef]
- Lipkin, H.J., N. Meshkov, and A.J. Glick. "Validity of many-body approximation methods for a solvable model: (II). Exact solutions and perturbation theory for the N = infinity case." Nuclear Physics, 62 (1965): 199-210.
- Lipkin, H.J., A. Abrikosov, and S. Meshkov. "Validity of many-body approximation methods for a solvable model: (III). Exact solutions and perturbation theory for the N = 2 case." Nuclear Physics, 62 (1965): 211-219.
- Lipkin, H.J., N. Meshkov, and A.J. Glick. "Validity of many-body approximation methods for a solvable model: (IV). Exact solutions and perturbation theory for the N = 1 case." Nuclear Physics, 62 (1965): 220-222.
- Rowe, D.J. "The Lipkin model." Reviews of Modern Physics, 40 (1968): 153-203.
- Schmid, K.W., and A. Bauer. "The Lipkin model." Physics Reports, 88 (1982): 251-334.
- Isacker, P.V., and S. Heinze. "The Lipkin model: a paradigm for a self-consistent theory of shape transitions." Physics Reports, 199 (1991): 67-144.
- Dukelsky, J., et al. "Quantum phase transitions in the Lipkin-Meshkov-Glick model." Reviews of Modern Physics, 76 (2004): 643-655.
- Kusnezov, D., et al. "Lipkin-Meshkov-Glick model, electron-nucleus scattering, and the Kondo problem." Physical Review Letters, 65 (1990): 1304-1307.
- Li, J., et al. "Quantum phase transition and phase diagram in the Lipkin-Meshkov-Glick model." Physical Review B, 95 (2017): 075139.
- I. Bengtsson and K. Zyczkowsi, Geometry of Quantum States: An Introduction to Quantum Entanglement, Cambridge University Press, 2006. [CrossRef]
- G. Jaeger, Qantum information: An Overview, Springer, 2007. [CrossRef]
- D. Giulini, et al., Decoherence and the Appearance of a Classical World in Quantum Theory, Springer, Berlin, 1996; M. Namiki, S. Pascazio, H. Nakazato, Decoherence and Quantum Measurements, World Scientific, Singapore, 1997. [CrossRef]
- P. Facchi, A. Mariano, S. Pascazio, Decoherence versus entropy in neutron interferometry, Phys. Rev. A 63 (2001) 052108. [CrossRef]
- A. R. Plastino, D. Monteoliva, A. Plastino, Information-theoretic features of many fermion systems: an exploration based on exactly solvable models, Entropy 23 (2021) 1488.
- Regine Frank, Quantum criticality and population trapping of fermions by non-equilibrium lattice modulations New Journal of Physics 15 (2013) 123030.
- Andreas Lubatsch and Regine Frank, Evolution of Floquet topological quantum states in driven semiconductors, Eur. Phys. J. B, 92 (2019) 215. [CrossRef]
- D. Otero, A. Proto, A. Plastino, Surprisal Approach to Cold Fission Processes, Physics Letters B 98 (1981) 225. [CrossRef]
- W. Satuła, J. Dobaczewski, W. Nazarewicz, Odd-Even Staggering of Nuclear Masses: Pairing or Shape Effect?, Phys. Rev. Lett. 81 (1998) 3599. [CrossRef]
- T. Dugett, P. Bonche, P. H. Heenen, J. Meyer, Pairing correlations. II. Microscopic analysis of odd-even mass staggering in nuclei, 65 (2001) 014311. [CrossRef]
- P. Ring, P. Schuck, The Nuclear Many-Body Problem (Springer, Berlin, 1980).
- H. Uys, H.G. Miller, F.C. Khanna, Phys. Lett. A, Generalized statistics and high-Tc superconductivity, 289 (2001) 264. [CrossRef]
- M. K. G. Kruse, H. G. Miller, A. R. Plastino, A. Plastino, S. Fujita, Landau-Ginzburg method applied to finite fermion systems: pairing in nuclei, European Journal of Physics A 25 (2005) 339. [CrossRef]
- M. de Llano, V.V. Tolmachev, Multiple phases in a new statistical boson fermion model of superconductivity, Physica A 317 (2003) 546. [CrossRef]
- F. R. Xu, R. Wyss, P. M. Walker, Mean-field and blocking effects on odd-even mass differences and rotational motion of nuclei Phys. Rev. C 60 (1999) 051301(R).
- H. Hakkinen et al., Phys. Rev. Lett., Universal Shapes of Small Fermion Clusters, 78 (1007) 1034. [CrossRef]
- J. Hubbard, Electron Correlations in Narrow Energy Bands. Proceedings of the Royal Society of London. 276 (1365) (1963) 237.
- Y. Liu, Exact solutions to nonlinear Schrodinger equation with variable coefficients Applied Mathematics and Computation 217 (2011) 5866.
- Giampaolo Co, Stefano De Leo, Analytical and numerical analysis of the complete Lipkin–Meshkov–Glick Hamiltonian, Int. J. Mod. Phys. E 27 (2018) 5.
- L. Arrachea, N. Canosa, A. Plastino, M. Portesi, R. Rossignol, Phys. Rev. A, Maximum Entropy Approach to Critical Phenomena in Finite Quantum Systems, 45 (1992) 44 (and references therein).
- S. M. Abecasis, A. Faessler, A. Plastino, Application of the Multi Configuration Hartree-Fock Theory to a Simple Model, Z. Phys. 218 (1969) 394. [CrossRef]
- D. H. Feng, R. G. Gilmore, , Phys. Rev. C 26 (1992) 1244.
- G. Bozzolo, M. C. Cambiaggio, A. Plastino, Maximum Overlap, Atomic Coherent States and the Generator Coordinate Method, Nucl. Phys. A 356 (1981) 48. [CrossRef]
- D. Monteoliva, Angelo Plastino, A. R. Plastino, Statistical Quantifiers Resolve a Nuclear Theory Controversy, Q. Reports 4 (2022) 127. [CrossRef]
- F. Reif, Fundamentals of statistical theoretic and Thermal Physics (McGraw Hill, New York, 1965).
- F. Pennini, A. Plastino, Thermal effects in quantum phase-space distributions, Phys. Lett. A 374 (2010) 1927-1932. [CrossRef]
- Angelo Plastino, Diana Monteoliva, Angel Ricardo Plastino, Quasi-Magical Fermion Numbers and Thermal Many-Body Dynamics, Axioms 12 (2023) 493. [CrossRef]
- M. C. Cambiaggio, A. Klar, F. J. Margetan, A. Plastino, J. P. Vary, Comparison of upper and lower bound methods using a soluble many-Fermion model , Phys. Rev. C 27 (1983) 2340. [CrossRef]


Disclaimer/Publisher’s Note: The statements, opinions and data contained in all publications are solely those of the individual author(s) and contributor(s) and not of MDPI and/or the editor(s). MDPI and/or the editor(s) disclaim responsibility for any injury to people or property resulting from any ideas, methods, instructions or products referred to in the content. |
© 2024 by the authors. Licensee MDPI, Basel, Switzerland. This article is an open access article distributed under the terms and conditions of the Creative Commons Attribution (CC BY) license (http://creativecommons.org/licenses/by/4.0/).