Preprint
Article

This version is not peer-reviewed.

Magic Numbers and Mixing Degree in Many-Fermion Systems

A peer-reviewed article of this preprint also exists.

Submitted:

06 July 2023

Posted:

07 July 2023

You are already at the latest version

Abstract
We consider an $N$ fermion system at low temperature $T$ in which we encounter special particle number values $N_m$ exhibiting special traits. These values arise in focusing attention upon the degree of mixture (DM) of the pertinent quantum states. Given the coupling constant of the Hamiltonian, the DMs stay constant for all $N$-values, but experience sudden jumps at the $N_m$. For a quantum state described by the matrix $\rho$, its purity is expressed by $Tr \rho^2$ and then the degree of mixture is given by $1 - Tr \rho^2$, a quantity that coincides with the entropy $S_q$ for $q=2$. Thus, Tsallis entropy of index two faithfully represents the degree of mixing of a state, that is, it measures the extent to which the state departs from maximal purity . Macroscopic manifestations of the degree of mixing can be observed through various physical quantities. Our present study is closely related to properties of many-fermion systemsn that are usually manipulated at zero temperature. Here we wish to study the subject at finite temperature. Gibbs' ensemble is appealed to. Some interesting insights are thereby gained.
Keywords: 
;  ;  ;  ;  

1. Introduction

Tsallis q-entropy, also known as non-extensive entropy, is an alternative entropy measure introduced by Constantino Tsallis in 1988. Unlike the traditional Shannon entropy or Boltzmann-Gibbs entropy, which are based on logarithmic functions, Tsallis entropy incorporates a power-law function to capture certain characteristics of diverse physical scenarios , in particular those involving complex systems. For instance, Tsallis entropy has been used to describe physical systems that exhibit long-range interactions, such as self-gravitating systems, turbulent flows, and systems with power-law distributions. It provides a framework to characterize the statistical properties of these systems and has connections to generalized statistical mechanics and information theory. It is worth noting that Tsallis entropy has its own set of mathematical properties and implications, and its interpretation and applicability depend on the context and field of study [1-7].
Tsallis entropy has also been used to investigate a variegated range of quantum phenomena (see, for example, [8,9,10,11,12,13,14] and references therein). Some of these studies deal with the explicit application of Tsallis thermostatistics to describe particular quantum systems. It is worth noting, however, that Tsallis entropy also proved to be valuable for the analysis of quantum phenomena not related to Tsallis thermostatistics. In this sense, Tsallis entropy is already an important member of the general tool-kit employed by quantum scientists. Indeed, Tsallis entropy can nowadays be found mentioned in monographs devoted to aspects of quantum science, such as quantum entanglement [15] or quantum information [16], which are not necessarily linked to Tsallis statistical theory. In particular, the entropy S q , associated with the value q = 2 of Tsallis parameter, which is sometimes referred to as the linear entropy, is a widely used measure of the degree of mixedness exhibited by a quantum state. The aim of the present effort is to employ the S 2 entropy to characterize some features of many fermion systems at low temperature, that constitute finite-temperature remanents of basic properties, related to quantum-phase transitions, exhibited by these systems at zero-temperature.
One important instance of these few examples is that of quantum phase transitions between different macroscopic phases of matter that occur at absolute zero temperature. These transitions can be driven by quantum fluctuations and involve a change in the quantum coherence of the system. In such transitions, the macroscopic properties of the system, such as magnetization, conductivity, or order parameter, can undergo sudden changes due to the alteration in the quantum coherence of the underlying quantum states.

1.1. Present goal

In this work we intend to study properties of the mixing degree quantifier and of its manifestations at finite temperature.
Of course, the quantum N-fermion system exhibits variegated properties, some of them intricate indeed [17,18,19,20,21,22,23,24,25,26,27,28,29,30]. We will study manifestations at finite temperature as described by statistical mechanics with reference to an exactly solvable model that are able to illuminate some interesting theoretical effects. We speak of a many-fermion model of the Lipkin kind, which is a kind of Hubbard model [29].
Thermal statistical manipulation of many fermion body deportment at finite temperature can yield interesting insights [30]. Accordingly, we appeal here to an exactly solvable Lipkin-like model (LLM) [31,32] at finite temperature and consider the pertinent structural traits in the framework of Gibbs’ canonical ensemble formalism. LLM are non trivial, finite, easily solvable fermion systems [31,32]. Indeed, they are quite useful testing grounds for envisaging new many-body approaches and using them, as we always have an exact solution with which to compare our approximations. In this effort we work with one of the Lipkin model variants, called the AFP (Abecasis-Faessler-Plastino) model [27,35,36,37].

2. Model structure

Our model possesses N = 2 Ω fermions that occupy two different N-fold degenerate single-particle (sp) energy levels. They are characterized by a sp energy gap ϵ . Set for convenience Ω = N / 2 . This entails 4 Ω s.p. micro states. Two quantum numbers ( μ and p) are associated to a given micro state. The first one, called μ adopts the values μ = 1 (lower level) and μ = + 1 (upper level). The remaining quantum number , called p, is baptized as a quasi-spin or pseudo spin, that singles out a specific micro state pertaining to the 2 N -fold degeneracy. The pair p, μ is viewed as a ”site” that can be occupied (by a fermion) or empty. Lipkin fixes
N = 2 J .
Here J is a sort of angular momentum. Lipkin [30,31] uses special operators called quasi-spin ones.

2.1. Quasi spin operators

One has
J z = p , μ μ C p , μ + C p , μ ,
J + = p C p , + + C p , ,
J = p C p , + C p , + ,
and the Casimir operator
J 2 = J z 2 + 1 2 ( J + J + J J + ) .
The eigenvalues of J 2 take form J ( J + 1 ) and the Lipkin Hamiltonian reads (V is a coupling constant)
H = ϵ J z + V 4 ( J + 2 + J 2 ) .

2.2. The AFP Model

It displays [27,35,36,38] a similar quasi-spin structure. One uses the operators
G i j = p = 1 2 Ω C p i , + C p , j
Also, V is the two body interaction coupling constant. Our Hamiltonian is
H A F P = ϵ i N G i , i + V ( J x J x 2 ) .
J x is the sum [ J + + J ] / 2 . Its eigenvalues are called E n ( c , J ) [31,32].

2.3. AFP Hamiltonian matrix

See the Appendix.

3. Working within the Gibbs’ ensemble framework

The procedure is detailedly described in [38]. All thermal quantities of interest are deduced from the partition function Z[17]. We construct Z using probabilities assigned to the models’ microscopic states. Their energies are E i [17]. Some important macroscopic quantifiers are computed as in [17]. These indicators, together with Z, derive from the canonical probability distributions[17] P n ( v , J , β ) . β is the inverse temperature. The pertinent expressions are given in [17]. One has, is we call the mean energy U a nd the free energy F:
P n ( v , J , β ) = 1 Z ( v , J , β ) e β E n ( v , J )
Z ( v , J , β ) = n = 0 N e β E n ( v , J ) U ( v , J , β ) = E = l n Z ( v , J , β ) β = = n = 0 N E n ( v , J ) P n ( v , J , β ) =
= 1 Z ( v , J , β ) n = 0 N E n ( v , J ) e β E n ( v , J )
S ( v , J , β ) = 1 n = 0 N P n ( v , J , β ) ln [ P n ( v , J , β ) ]
F ( v , J , β ) = U ( v , J , β ) T S ( v , J , β ) .
The thermal quantifiers above provide much more information than the one obtained via just the quantum resources of zero temperature T[17]. Taking a low enough T, our quantifiers above yield a good representation of the T = 0 scenario [17]. Below, we will adopt the high enough β = 20 value.

3.1. A state’s ρ degree of mixture C f

As well known in quantum mechanics, the the degree of mixture C f of a given state represented by ρ is given by [39]
C f = 1 T r ρ 2 = 1 i p i 2 ,
where, T r ρ 2 is the so called ”Purity” P y . Note that we have C f = 0 and P y = 1 for pure states. C f is a very important quantity for us here. Because the Tsallis practitioner will immediately recognize that Eq. (14) is Tsallis’ entropy of index q = 2 , i.e., S 2 one encounters a direct link (equality) between S 2 and C f [31].
In probability terms one has P y = n = 0 N ( P n ( v , J , β ) ) 2 and C f = S 2 = 1 P y 2 .

4. Present results

4.1. Results as a function of the particle number

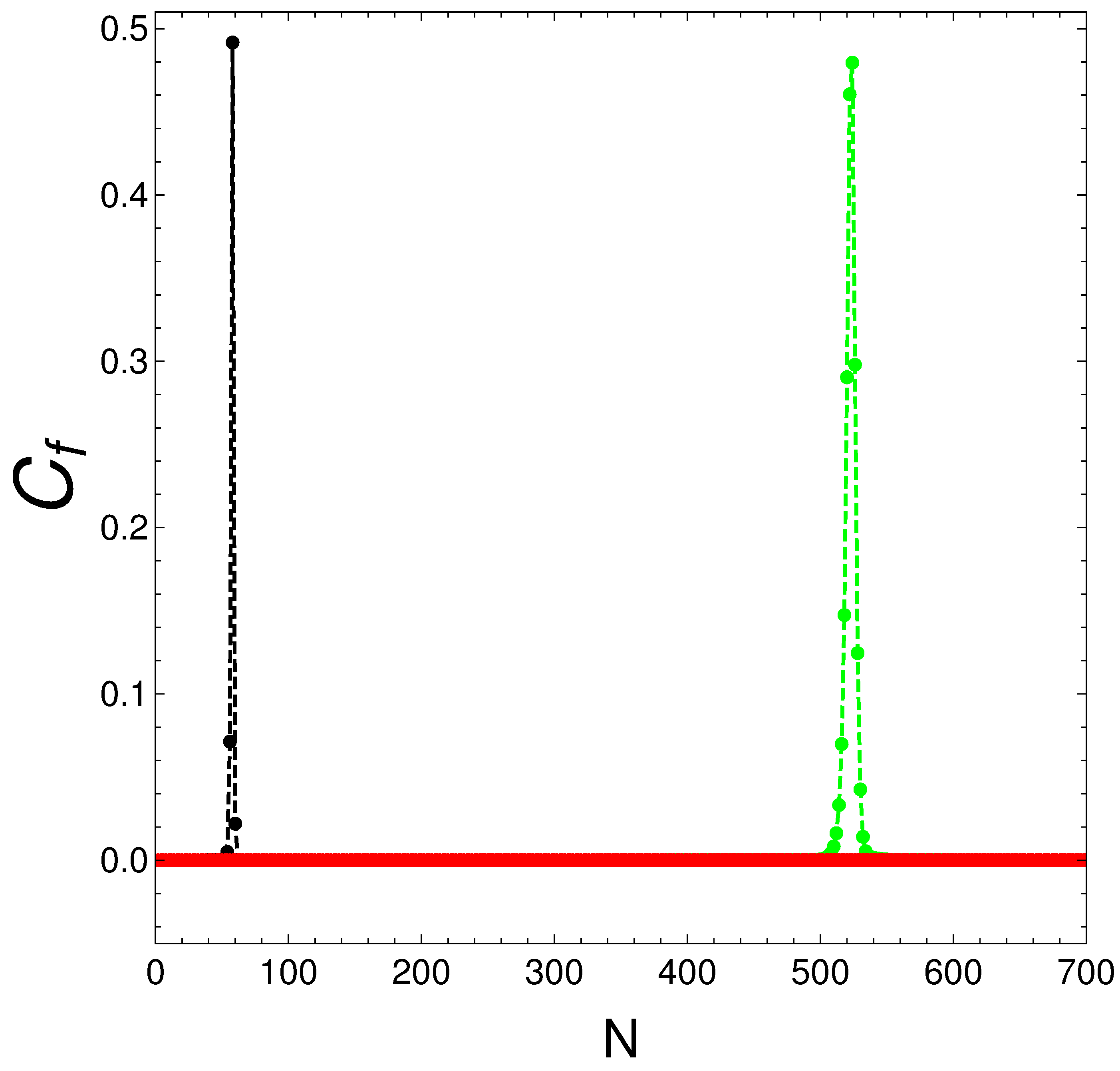
Remember that we work at finite temperature but for very low T values, so that T = 0 remnants are very pronounced ones. In our first graph (Figure 1) we depict S 2 = C f versus the fermion number for several values of the coupling constant v. Remarkably enough, given the v value, for all N values but one of them, S 2 = C f = 0 , entailing finite temperature purity: T is not high enough to generate mixing. This is an interesting result. However, given v, this happens for specific values of N, and only for them.
This effects occurs for all v and we encounter a special N value ( = N m ) for which S 2 , and the the mixing degree, suddenly grows. We borrow here from nuclear physics the adjective ”magic number” N m ( v ) such that the system experiences a noticeable amount of mixing. Magic numbers are rather typical features of fermion systems (see for instance [40].) We discover that as v diminishes, N m grows.
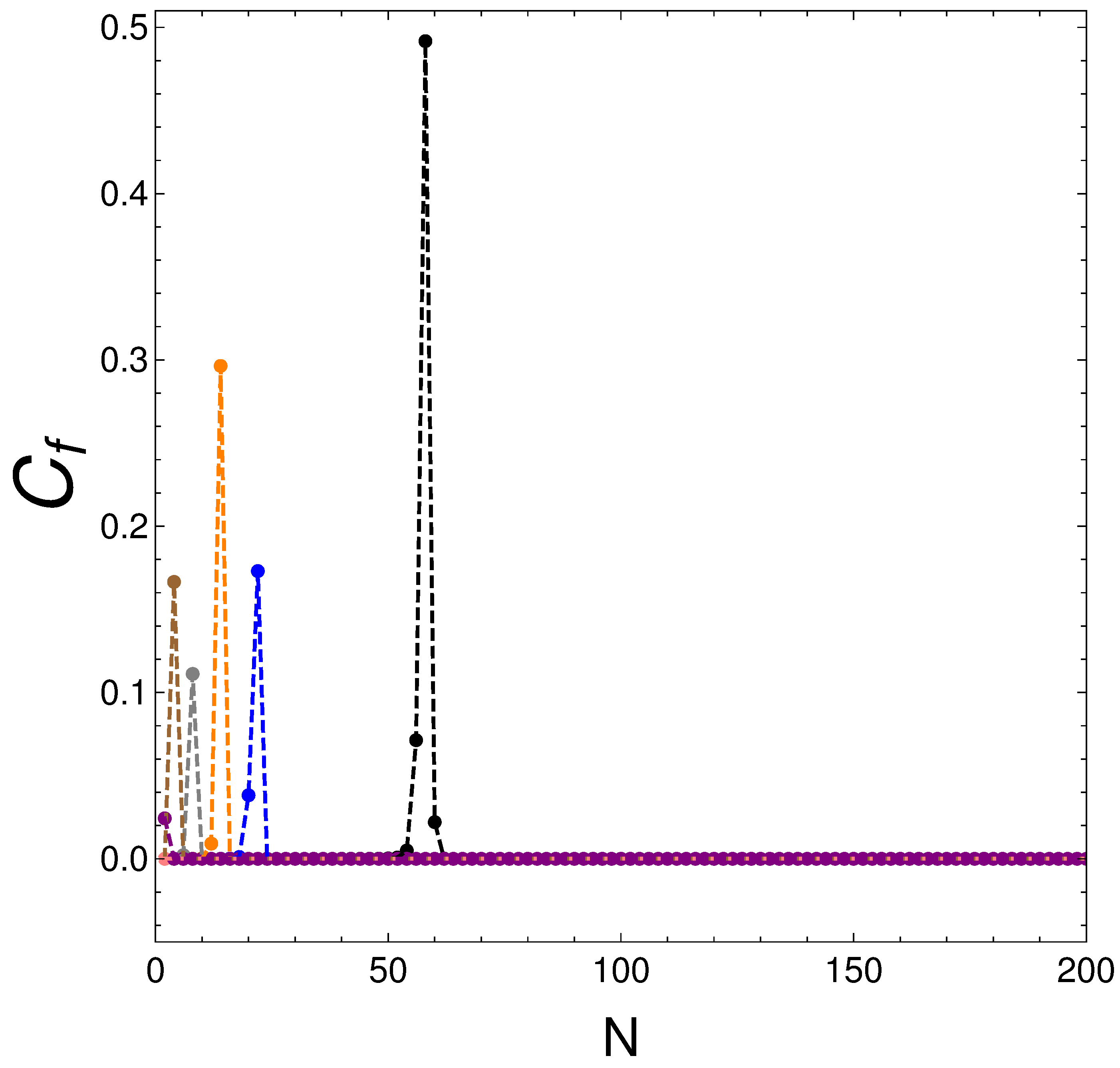
Figure 2 is similar to Figure 1, but for much larger N values, which makes our findings more transparent. The same panorama prevails in general.
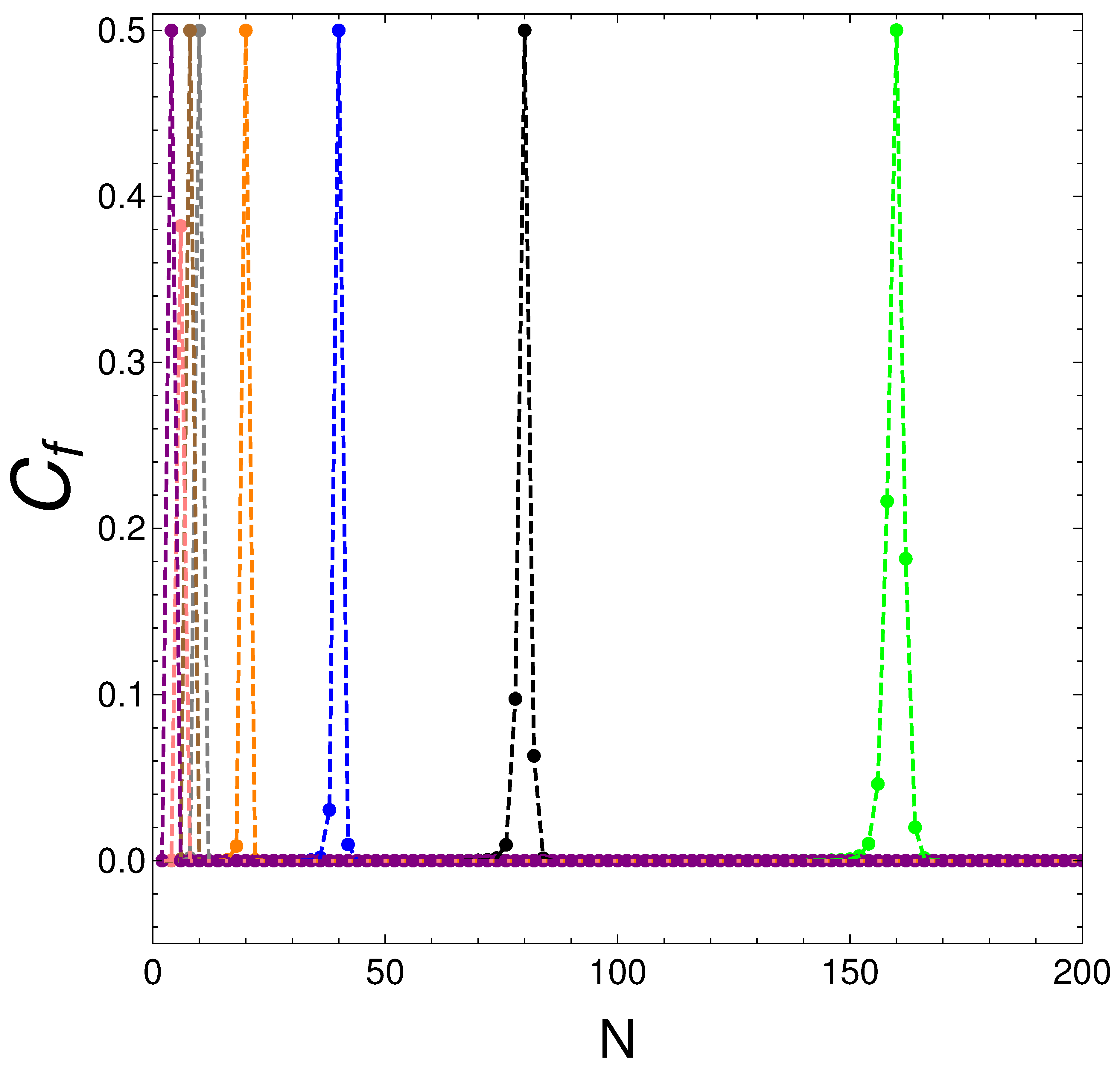
Figure 3 emphasizes the above results in looking in more detail for the N m ( v ) dependence.
Let us pass now to discuss the results depicted in Fo. 4 below. One notices there that given N, C f vsv presents a peak at a particular value of v, where C f = 0.5 . We look in Figure 4 at these special values:
Table 1. Values of v where C f vsv has its peak, for specific values of N (See Figure 4).
Table 1. Values of v where C f vsv has its peak, for specific values of N (See Figure 4).
v N
0.0034 160
0.0070 80
0.0149 40
0.0323 20
0.0717 10
0.0932 8
0.1358 6
0.2185 4
0.6180 2
Table 2. Values of v where C f vsv has its peak, for specific values of N (see Figure 4 below). N m ( v ) decreases as v increases.
Table 2. Values of v where C f vsv has its peak, for specific values of N (see Figure 4 below). N m ( v ) decreases as v increases.
v 0.0034 0.0070 0.0149 0.0323 0.0717 0.0932 0.1358 0.2185 0.6180
N 160 80 40 20 10 8 6 4 2

4.2. Energetic interpretation of the N m

Let E 0 ( N ) stand for energy of the ground state of our Hamiltonian matrix and further, let E 1 ( N ) be the energy of the associated first exited state. Consider their difference
A ( N ) = E 1 E 0 .
With regard to Figure 1, we next list A for several triplets N m 2 , N m , and N m + 2 . These triplets are associated to the peaks in Figure 1.
Table 3. Values of the difference A ( N ) = E 1 E 0 for the triplets associatted to the peaks in Figure 1.
Table 3. Values of the difference A ( N ) = E 1 E 0 for the triplets associatted to the peaks in Figure 1.
Color line v N m A m 2 A m A m + 2
Black 0.01 58 0.1629 0.0129 0.2243
Blue 0.03 22 0.1959 0.1123 0.5503
Orange 0.05 14 0.2689 0.0755 0.6447
At N m we see that A is very small, which in turn generates a sort of quasi-degeracy of the two lowest lying states of our Hamiltonian matrix, which favors mixing.

4.3. Results as a function of the coupling constant v

We pass now to consider the behavior of the mixing degree C f = S 2 as a function of the Hamiltonian’s coupling constant v for different values of N. Figure 4 displays an illustrative example. Even if purity prevails overall, magic numbers become noticeable again, but this time with reference to v values. We have a magic number for every v.

4.4. Effects of the S 2 peaks on macroscopic quantities

Let us compute the mean energy < U > , and the Shannon entropy S versus v. The results are depicted in Figure 5. The magic character manifests itself in slope-changes for the mean enery and in peaks for the two entropies.

5. Conclusions

Statistical mechanics uses probability models to describe the behavior of large ensembles of particles and systems composed of a large number of microscopic constituents. In this work our constituents are interacting fermions and the ensembles are the canonical ones of Gibbs’. We work at very low temperatures so as to use results as useful´proxies for many-body features at zero temperature. Remnants of these results survive very well at low T and are much easier to deal with than appealing directly to the many-fermion structural properties. We have appealed to a well known exactly solvable many fermion system so as to discuss exact results. More specifically, we have investigated fermion dynamical traits associated to the mixing degree of the pertinent many body states.
There are two important quantities in this paper: the fermion number N and the Hamiltonian’s coupling constant v. Considering the system’s micro-states at very low temperature, we find that, given v, they remain pure at our finite low T for all N but one magic one N m . For each v, there is a corresponding N m , that is smaller the larger the coupling constant is. The special quantities, that we call magic, are discrete (of course). One has C f = 0.5 at the peaks.
We emphasize that the magic mixing degree is not caused by temperature. It originates in a quasi-degeneracy of the Hamiltonian’s two lowest lying self-energies. Thus we face a phenomenon of quantum origin, nor a thermal one.

6. Appendix: our Hamiltonian matrix

For the AFP one deals [see from Eq. (6) of [36] with the Hamiltonian matrix
n | H A F P | n = ( n J ) δ n , n + 1 2 v { 2 ( 2 J 2 + J + n 2 2 J n ) δ n , n + 2 ( 2 J n ) ( n + 1 ) δ n , n + 1 + 2 ( 2 J n + 1 ) n δ n , n 1 ( 2 J n 1 ) ( n + 2 ) ( 2 J n ) ( n + 1 ) δ n , n + 2 ( 2 J n + 2 ) ( n 1 ) ( 2 J n + 1 ) n δ n , n 2

7. Miscellany

Author Contributions: All authors participated in equal fashion in the research and planning of this paper.
All authors have read and agreed to the published version of the manuscript.
Funding: This research received no external funding
Data Availability Statement: Everything that might be needed is here.
Acknowledgments: We thank Conicet (Argentine Agency).
Conflicts of Interest: The authors declare no conflict of interest.

Author Contributions

Investigation, D. M., A.P. and A.R.P..; Project administration, A.P.; Writing—original draft, D.M. A.P., and A.R.P. All authors have read and agreed to the published version of the manuscript.

Funding

This research was partially supported by FONDECYT, grant 1181558, and by CONICET (Argentine Agency).

Data Availability Statement

Every thing neede is found in the manuscript.

Conflicts of Interest

The authors declare no conflict of interest.

References

  1. Tsallis, C. Possible generalization of Boltzmann-Gibbs statistics. J. Stat. Phys. 1988, 52, 479–487. [Google Scholar] [CrossRef]
  2. Gell-Mann, M.; Tsallis, C. Nonextensive entropy: interdisciplinary applications; Oxford University Press: Oxford, England, 2004. [Google Scholar]
  3. Tsallis, C. Entropy. Encyclopedia 2022, 2, 264–300. [Google Scholar] [CrossRef]
  4. Tsallis, C. The nonadditive entropy Sq and its applications in physics and elsewhere: some remarks. Entropy 2011, 13(10), 1765–1804. [Google Scholar] [CrossRef]
  5. Tsallis, C. Beyond Boltzmann-Gibbs-Shannon in physics and elsewhere. Entropy 2019, 21, 696. [Google Scholar] [CrossRef]
  6. Sánchez Almeida, J. The principle of maximum entropy and the distribution of mass in galaxies. Universe 2022, 2022 8, 214. [Google Scholar] [CrossRef]
  7. Tsallis, C. Introduction to Nonextensive Statistical Mechanics - Approaching a Complex World - Second Edition; Springer, 2023. [Google Scholar]
  8. S. Curilef, On the generalized Bose-Einstein condensation, Physics Letters A, 218 (1996) 11. [CrossRef]
  9. U. Tirnakli, F. Buyukkilic, and D. Demirhan, Some bounds upon the nonextensivity parameter using the approximate generalized distribution functions, Physics Letters A, 245 (1998) 62. [CrossRef]
  10. H. Uys, H. G. Miller, and F.C. Khanna, Generalized statistics and high- Tc superconductivity, Physics Letters A, 289 (2001) 264.
  11. J. M. Conroy and H. G. Miller, Color superconductivity and Tsallis statistics, Physical Review D 78 (2008) 054010. [CrossRef]
  12. R. Silva, D. H. A. L. Anselmo, and J. S. Alcaniz, Nonextensive quantum H-theorem, Europhysics Letters 89 (2010) 10004.
  13. T. S. Biro, K. M. Shen, and b. W. Zhang, Non-extensive quantum statistics with particle-hole symmetry, Physica A 428 (2015) 410. [CrossRef]
  14. A. Deppman, E. Megias, and D. P. Menezes, Fractal Structures of Yang-Mills Fields and Non-Extensive Statistics: Applications to High Energy Physics, Physics, 2 (2020) 455.
  15. I. Bengtsson and K. Zyczkowsi, Geometry of Quantum States: An Introduction to Quantum Entanglement, Cambridge University Press, 2006.
  16. G. Jaeger, Qantum information: An Overview, Springer, 2007.
  17. A. R. Plastino, D. Monteoliva, A. Plastino, Information-theoretic features of many fermion systems: an exploration based on exactly solvable models, Entropy 23 (2021) 1488.
  18. Regine Frank, Quantum criticality and population trapping of fermions by non-equilibrium lattice modulations New Journal of Physics 15 (2013) 123030.
  19. Andreas Lubatsch and Regine Frank, Evolution of Floquet topological quantum states in driven semiconductors, Eur. Phys. J. B, 92 (2019) 215. [CrossRef]
  20. D. Otero, A. Proto, A. Plastino, Surprisal Approach to Cold Fission Processes, Physics Letters B 98 (1981) 225. [CrossRef]
  21. W. Satuła, J. Dobaczewski, W. Nazarewicz, Odd-Even Staggering of Nuclear Masses: Pairing or Shape Effect?, Phys. Rev. Lett. 81 (1998) 3599. [CrossRef]
  22. T. Dugett, P. Bonche, P. H. Heenen, J. Meyer, Pairing correlations. II. Microscopic analysis of odd-even mass staggering in nuclei, 65 (2001) 014311. [CrossRef]
  23. P. Ring, P. Schuck, The Nuclear Many-Body Problem (Springer, Berlin, 1980).
  24. H. Uys, H.G. Miller, F.C. Khanna, Phys. Lett. A, Generalized statistics and high-Tc superconductivity, 289 (2001) 264. [CrossRef]
  25. M. K. G. Kruse, H. G. Miller, A. R. Plastino, A. Plastino, S. Fujita, Landau-Ginzburg method applied to finite fermion systems: pairing in nuclei, European Journal of Physics A 25 (2005) 339. [CrossRef]
  26. M. de Llano, V.V. Tolmachev, Multiple phases in a new statistical boson fermion model of superconductivity, Physica A 317 (2003) 546. [CrossRef]
  27. F. R. Xu, R. Wyss, P. M. Walker, Mean-field and blocking effects on odd-even mass differences and rotational motion of nuclei Phys. Rev. C 60 (1999) 051301(R). [CrossRef]
  28. H. Hakkinen et al., Phys. Rev. Lett., Universal Shapes of Small Fermion Clusters, 78 (1007) 1034.
  29. J. Hubbard, Electron Correlations in Narrow Energy Bands. Proceedings of the Royal Society of London. 276 (1365) (1963) 237.
  30. Y. Liu, Exact solutions to nonlinear Schrodinger equation with variable coefficients Applied Mathematics and Computation 217 (2011) 5866.
  31. H.J. Lipkin, N. Meshkov, A. J. Glick, Nucl. Phys. , Validity of many-body approximation methods for a solvable model: (I). Exact solutions and perturbation theory., 62 (1965) 188.
  32. Giampaolo Co, Stefano De Leo, Analytical and numerical analysis of the complete Lipkin–Meshkov–Glick Hamiltonian, Int. J. Mod. Phys. E 27 (2018) 5.
  33. L. Arrachea, N. Canosa, A. Plastino, M. Portesi, R. Rossignol, Phys. Rev. A, Maximum Entropy Approach to Critical Phenomena in Finite Quantum Systems, 45 (1992) 44 (and references therein).
  34. S. M. Abecasis, A. Faessler, A. Plastino, Application of the Multi Configuration Hartree-Fock Theory to a Simple Model, Z. Phys. 218 (1969) 394. [CrossRef]
  35. D. H. Feng, R. G. Gilmore, , Phys. Rev. C 26 (1992) 1244.
  36. G. Bozzolo, M. C. Cambiaggio, A. Plastino, Maximum Overlap, Atomic Coherent States and the Generator Coordinate Method, Nucl. Phys. A 356 (1981) 48. [CrossRef]
  37. D. Monteoliva, Angelo Plastino, A. R. Plastino, Statistical Quantifiers Resolve a Nuclear Theory Controversy, Q. Reports 4 (2022) 127.
  38. F. Reif, Fundamentals of statistical theoretic and Thermal Physics (McGraw Hill, New York, 1965).
  39. F. Pennini, A. Plastino, Thermal effects in quantum phase-space distributions, Phys. Lett. A 374 (2010) 1927-1932. [CrossRef]
  40. Angelo Plastino, Diana Monteoliva, Angel Ricardo Plastino, Quasi-Magical Fermion Numbers and Thermal Many-Body Dynamics, Axioms 12 (2023) 493. [CrossRef]
Figure 1. C f = S 2 vsN for several v-values, with β = 20 . Purity prevails, with intriguing exceptions. v colors are assigned in this way: v = 0.5 (violet); v = 0.3 (rose); v = 0.2 (brown); v = 0.1 (grey); v = 0.05 (orange); v = 0.03 (blue); v = 0.01 (black); v = 0.001 (green); v = 0 (red).
Figure 1. C f = S 2 vsN for several v-values, with β = 20 . Purity prevails, with intriguing exceptions. v colors are assigned in this way: v = 0.5 (violet); v = 0.3 (rose); v = 0.2 (brown); v = 0.1 (grey); v = 0.05 (orange); v = 0.03 (blue); v = 0.01 (black); v = 0.001 (green); v = 0 (red).
Preprints 78801 g001
Figure 2. C f = S 2 vsN para variegated v’s, with β = 20 , for large N values in relation to those of Figure 1. The colors mean the same as in that Figure 1. The presence of magic numbers is quite noticeable.
Figure 2. C f = S 2 vsN para variegated v’s, with β = 20 , for large N values in relation to those of Figure 1. The colors mean the same as in that Figure 1. The presence of magic numbers is quite noticeable.
Preprints 78801 g002
Figure 3. C f versus N for the v-values listed on Table 1. The peaks occour at the corresponding N values of Table 1. However, we see that C f ceases to be zero for some fermion-numbers that are neighbors of N m , that are marked with dots in the graph.
Figure 3. C f versus N for the v-values listed on Table 1. The peaks occour at the corresponding N values of Table 1. However, we see that C f ceases to be zero for some fermion-numbers that are neighbors of N m , that are marked with dots in the graph.
Preprints 78801 g003
Figure 4. C f = S 2 vsv for β = 20 . Colors are as follows: N = 2 (red); N = 4 (blue); N = 6 (green); = 8 (black); N = 10 (orange). See that we confront here magic v-regions (windows), whose size diminishes as N grows. Outside these regions the mixing degree vanishes.
Figure 4. C f = S 2 vsv for β = 20 . Colors are as follows: N = 2 (red); N = 4 (blue); N = 6 (green); = 8 (black); N = 10 (orange). See that we confront here magic v-regions (windows), whose size diminishes as N grows. Outside these regions the mixing degree vanishes.
Preprints 78801 g004
Figure 5. C f = S 2 (left), < U > (center) and Shannon’s S (right) vsv for N = 2 , 4 , , 10 , with β = 20 . One sees that < U > displays slope-changes at the v’s values associated to entropic peaks.
Figure 5. C f = S 2 (left), < U > (center) and Shannon’s S (right) vsv for N = 2 , 4 , , 10 , with β = 20 . One sees that < U > displays slope-changes at the v’s values associated to entropic peaks.
Preprints 78801 g005
Disclaimer/Publisher’s Note: The statements, opinions and data contained in all publications are solely those of the individual author(s) and contributor(s) and not of MDPI and/or the editor(s). MDPI and/or the editor(s) disclaim responsibility for any injury to people or property resulting from any ideas, methods, instructions or products referred to in the content.
Copyright: This open access article is published under a Creative Commons CC BY 4.0 license, which permit the free download, distribution, and reuse, provided that the author and preprint are cited in any reuse.
Prerpints.org logo

Preprints.org is a free preprint server supported by MDPI in Basel, Switzerland.

Subscribe

Disclaimer

Terms of Use

Privacy Policy

Privacy Settings

© 2026 MDPI (Basel, Switzerland) unless otherwise stated