Submitted:
02 September 2025
Posted:
03 September 2025
You are already at the latest version
Abstract
Keywords:
I. Introduction
A. Motivation
II. Quantum Model and the Fisher Information Framework
A. Fisher Information with Respect to Interaction Strength
B. Kolmogorov–Smirnov Distance as a Redundancy Probe
III. Results and Interpretation
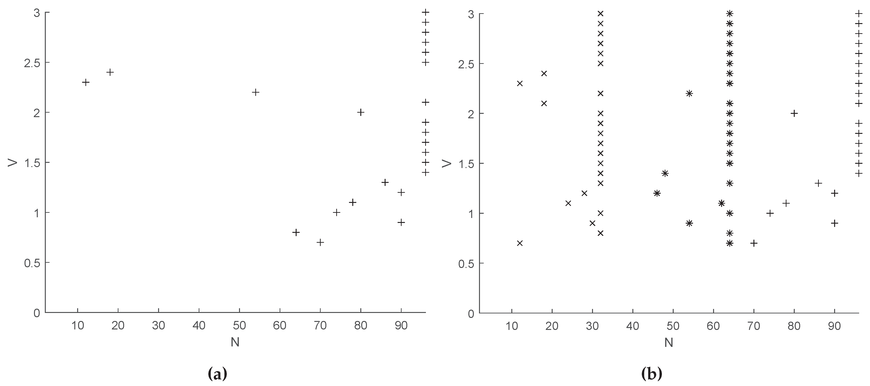
A. Proliferation of KS-Zeroes with System Size
B. Entropic Coincidence at KS-Zeroes
C. Degeneracy in Additional Thermodynamic Observables
- The thermal purity , a measure of state mixedness.
- The specific heat , obtained from the energy variance.
D. Interpretation: Redundancy as a Marker of Physical Information Compression
| N | Total Zeroes | |||
|---|---|---|---|---|
| 12 | 0 | 1 | 1 | 2 |
| 18 | 0 | 0 | 2 | 2 |
| 24 | 0 | 1 | 0 | 1 |
| 28 | 0 | 1 | 0 | 1 |
| 30 | 0 | 1 | 0 | 1 |
| 32 | 0 | 5 | 12 | 17 |
| N | ||
|---|---|---|
| 12 | 0.7 | 2.3 |
| 18 | 2.1 | 2.4 |
| 24 | 1.1 | |
| 28 | 1.2 | |
| 30 | 0.9 |
| 5 | - | |
| 7 | 1.89 | |
| 10 | 0.99 | |
| 12 | 0.82 | |
| 15 | 0.71 | |
| 17 | 0.67 | |
| 20 | 0.63 | |
| 25 | 0.58 | |
| 30 | 0.54 |
| N | V | |||||
|---|---|---|---|---|---|---|
| 12 | 0.7 | 0.0173 | 0.0173 | 0.9951 | 0.9951 | ≈ 0 |
| 12 | 2.3 | 0.0000 | 0.0000 | 1.0000 | 1.0000 | ≈ 0 |
| 18 | 2.1 | 0.0000 | 0.0000 | 1.0000 | 1.0000 | ≈ 0 |
| 18 | 2.4 | 0.0000 | 0.0000 | 1.0000 | 1.0000 | ≈ 0 |
| 24 | 1.1 | 0.3653 | 0.3653 | 0.7900 | 0.7900 | ≈ 0 |
| 28 | 1.2 | 0.0910 | 0.0910 | 0.9647 | 0.9647 | ≈ 0 |
| 30 | 0.9 | 0.3653 | 0.3653 | 0.7900 | 0.7900 | ≈ 0 |
| 32 | 0.8 | 0.0910 | 0.0910 | 0.9647 | 0.9647 | ≈ 0 |
| Number of Fermions N | Zeroes of at V |
|---|---|
| 12 | 0.7 |
| 18 | 2.1 |
| 24 | 1.1 |
| 28 | 1.2 |
| 30 | 0.9 |
IV. Discussion and Broader Implications
V. Conclusions
Appendix A. Our Present Thermal Equations
References
- B. R. Frieden, Physics from Fisher Information: A Unification, Cambridge University Press (1998).
- B. B. Mandelbrot, The variation of certain speculative prices, Journal of Business 36, 394–419 (1963).
- G. Ruppeiner, Riemannian geometry in thermodynamic fluctuation theory, Rev. Mod. Phys. 67, 605 (1995).
- G. Ruppeiner, Thermodynamic curvature measures interactions, Am. J. Phys. 78, 1170 (2010).
- A. Plastino, A. R. A. Plastino, A. R. Plastino, M. Casas, S.P. Flego, Fisher Information, Thermodynamics, and Schrodinger Equation (pp. 171-192), in Information Theory: New Research ed. by Pierre Deloumeaux and Jose D. Gorzalka, NOVA PRESS, New York, 2012.
- D. Brody and L. P. Hughston, Statistical Geometry in Quantum Mechanics, Proc. R. Soc. A 454, 2445–2475 (1998).
- F. I. Dretske, Knowledge and the Flow of Information, MIT Press, 1981. ISBN 9780262540377.
- R. Rossignoli, A. R. Rossignoli, A. Plastino, Thermal effects and the interplay between pairing and shape deformations. Phys. Rev. C, 1985. [Google Scholar]
- A. N. Kolmogorov, Sulla determinazione empirica di una legge di distribuzione, Giornale dell’Istituto Italiano degli Attuari, 4, 83–91 (1933).
- N. V. Smirnov, Table for estimating the goodness of fit of empirical distributions, Ann. Math. Stat., 19, 279–281 (1948).
- F. J. Massey Jr., The Kolmogorov-Smirnov Test for Goodness of Fit, J. Am. Stat. Assoc., 46(253), 68–78 (1951).
- M. A. Stephens, Use of the Kolmogorov-Smirnov, Cramér–von Mises and Related Statistics Without Extensive Tables, J. R. Stat. Soc. Ser. B, 32(1), 115–122 (1970).
- R. Landauer, Irreversibility and heat generation in the computing process, IBM Journal of Research and Development 5, 183–191 (1961).
- D. C. Brody and L. P. Hughston, Geometrization of statistical mechanics, Proc. R. Soc. Lond. A 455, 1683 (1999).
- S.-I. Amari and H. Nagaoka, Methods of Information Geometry, AMS Translations of Mathematical Monographs, Vol. 191 (Oxford University Press, 2000).
- R. A. Fisher, Theory of statistical estimation, Proc. Cambridge Philos. Soc. 22, 700 (1925).
- D. N. Page, Average entropy of a subsystem, Phys. Rev. Lett. 71, 1291 (1993).
- W. H. Press et al., Numerical Recipes: The Art of Scientific Computing, 3rd ed., Cambridge University Press (2007).
- A. Bohr and B. R. Mottelson, Nuclear Structure, Benjamin, New York (1969).
- E. T. Jaynes, Information Theory and Statistical Mechanics, Phys. Rev. 106, 620 (1957); 108, 171 (1957).


Disclaimer/Publisher’s Note: The statements, opinions and data contained in all publications are solely those of the individual author(s) and contributor(s) and not of MDPI and/or the editor(s). MDPI and/or the editor(s) disclaim responsibility for any injury to people or property resulting from any ideas, methods, instructions or products referred to in the content. |
© 2025 by the authors. Licensee MDPI, Basel, Switzerland. This article is an open access article distributed under the terms and conditions of the Creative Commons Attribution (CC BY) license (http://creativecommons.org/licenses/by/4.0/).