Submitted:
22 May 2024
Posted:
24 May 2024
You are already at the latest version
Abstract
Keywords:
1. Introduction
2. Materials and Methods
2.1. Collection Sites and Sampling
2.2. Sample Processing for Bacterial 16S rRNA Sequencing
2.3. Analysis of Bacterial Communities of Flies
2.4. Post-Illumina Sequence Confirmation & Phylogenetic Placement of Wolbachia Sequences
3. Results
3.1. Bacterial Community Composition
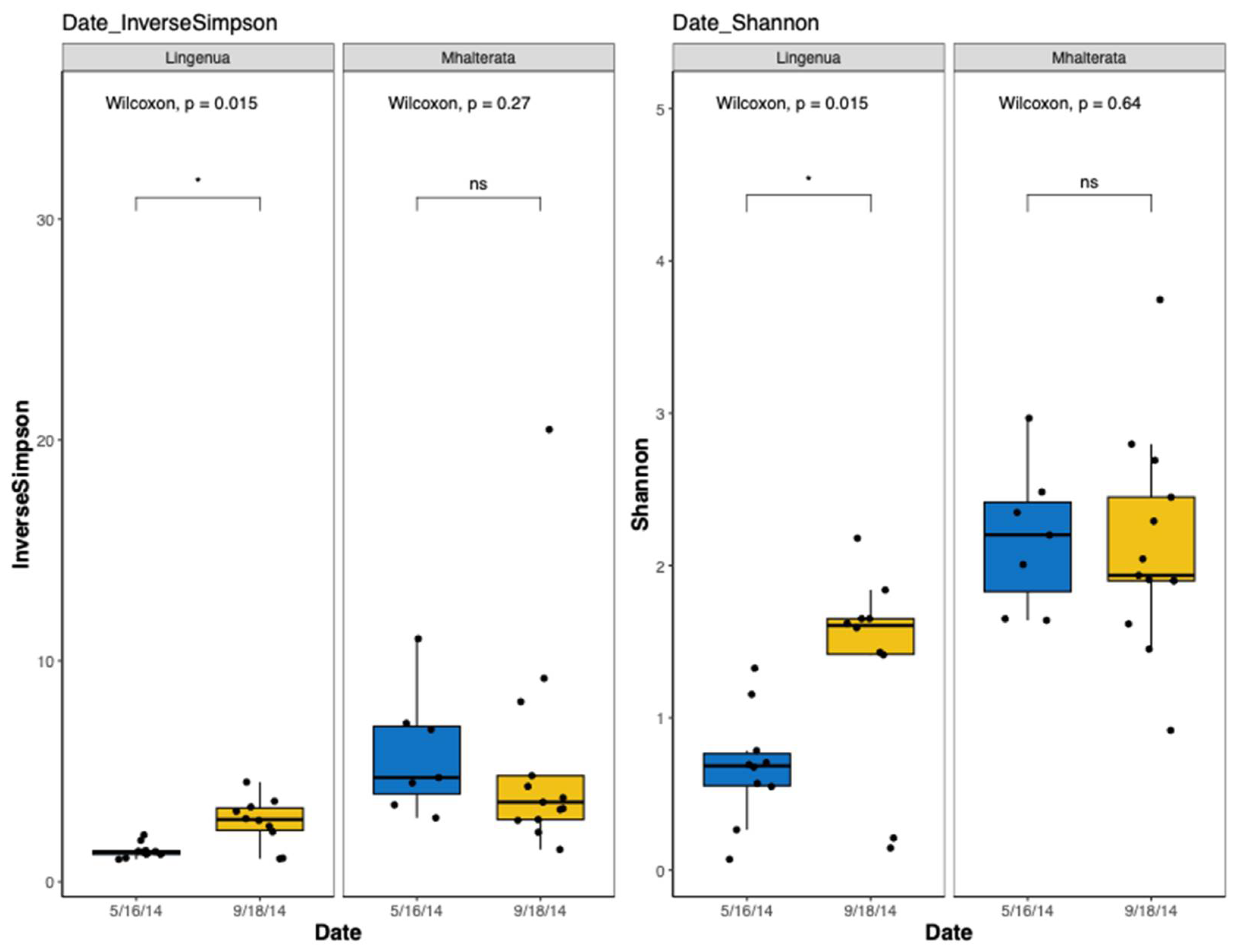
3.2. Bacterial Diversity
3.3. Sequence Confirmation and Phylogenetic Placement of Wolbachia Sequences
4. Discussion
4.2. Limitations of the Study
4.3. Future Studies
Author Contributions
Funding
Data Availability Statement
Acknowledgments
Conflicts of Interest
References
- Grimaldi, D.; Jaenike, J. Competition in Natural Populations of Mycophagous Drosophila. Ecology 1984, 65, 1113–1120. [Google Scholar] [CrossRef]
- Jakovlev, J. Fungal Hosts of Mycetophilids (Diptera: Sciaroidea Excluding Sciaridae): A Review. Mycology 2012, 3, 11–23. [Google Scholar] [CrossRef]
- Bunyard, B.A. Biodiversity and Ecology of Mycophagous Diptera in Northeastern Ohio. Proceedings of the Entomological Society of Washington 2003, 105, 847–858. [Google Scholar]
- Stamets, P.; Chilton, J.S. The Mushroom Cultivator: A Practical Guide to Growing Mushrooms at Home; Agarikon Press ; Western distribution by Homestead Book Co: Olympia, Wash. : Seattle, Wa, 1983. ISBN 978-0-9610798-0-2.
- Willette, A.; Van Slambrook, L.; Hollingsworth, C. Mushroom Pests: Mushroom-Mushroom Fly. In Pacific Northwest Insect Management Handbook [online]; Oregon State University: Corvallis, OR, 2023. [Google Scholar]
- Wuest, P.J.; Bengtson, G.D.; Schisler, L.C. Pennsylvania State University College of Agricultural Sciences Penn State Handbook for Commercial Mushroom Growers: A Compendium of Scientific and Technical Information Useful to Mushroom Farmers; Penn State, College of Agricultural Sciences University Park, PA: University Park, PA, 2003.
- Jess, S.; Murchie, A.K.; Bingham, J.F.W. Potential Sources of Sciarid and Phorid Infestations and Implications for Centralised Phases I and II Mushroom Compost Production. Crop Protection 2007, 26, 455–464. [Google Scholar] [CrossRef]
- Scheepmaker, J.W.A.; Geels, F.P.; Van Griensven, L.J.L.D.; Smits, P.H. Substrate Dependent Larval Development and Emergence of the Mushroom Pests Lycoriella Auripila and Megaselia Halterata. Entomologia Exp Applicata 1996, 79, 329–334. [Google Scholar] [CrossRef]
- Mazin, M.; Andreadis, S.S.; Jenkins, N.E.; Cloonan, K.R.; Baker, T.C.; Rajotte, E.G. Activity and Distribution of the Mushroom Phorid Fly, Megaselia Halterata, in and around Commercial Mushroom Farms. Entomologia Exp Applicata 2019, 167, 389–395. [Google Scholar] [CrossRef]
- Ernst, F.G.M.; Shetty, S.; Borman, T.; Lahti, L. Mia: Microbiome Analysis. 2023.
- Callahan, B.J.; McMurdie, P.J.; Rosen, M.J.; Han, A.W.; Johnson, A.J.A.; Holmes, S.P. DADA2: High-Resolution Sample Inference from Illumina Amplicon Data. Nat Methods 2016, 13, 581–583. [Google Scholar] [CrossRef]
- McMurdie, P.J.; Holmes, S. Phyloseq: An R Package for Reproducible Interactive Analysis and Graphics of Microbiome Census Data. PLOS ONE 2013, 8, e61217. [Google Scholar] [CrossRef]
- Quast, C.; Pruesse, E.; Yilmaz, P.; Gerken, J.; Schweer, T.; Yarza, P.; Peplies, J.; Glöckner, F.O. The SILVA Ribosomal RNA Gene Database Project: Improved Data Processing and Web-Based Tools. Nucl. Acids Res. 2013, 41, D590–D596. [Google Scholar] [CrossRef]
- Werren, J.H.; Windsor, D.M. Wolbachia Infection Frequencies in Insects: Evidence of a Global Equilibrium? Proceedings of the Royal Society of London B: Biological Sciences 2000, 267, 1277–1285. [Google Scholar] [CrossRef]
- Sakamoto, J.M.; Silva Diaz, G.E.; Wagner, E.A. Bacterial Communities of Ixodes Scapularis from Central Pennsylvania, USA. Insects 2020, 11, 718. [Google Scholar] [CrossRef] [PubMed]
- Darriba, D.; Taboada, G.L.; Doallo, R.; Posada, D. jModelTest 2: More Models, New Heuristics and Parallel Computing. Nature Methods 2012, 9, 772–772. [Google Scholar] [CrossRef] [PubMed]
- Kumar, S.; Stecher, G.; Li, M.; Knyaz, C.; Tamura, K. MEGA X: Molecular Evolutionary Genetics Analysis across Computing Platforms. Mol. Biol. Evol. 2018, 35, 1547–1549. [Google Scholar] [CrossRef] [PubMed]
- Shikano, I.; Woolcott, J.; Cloonan, K.; Andreadis, S.; Jenkins, N.E. Biology of Mushroom Phorid Flies, Megaselia Halterata (Diptera: Phoridae): Effects of Temperature, Humidity, Crowding, and Compost Stage. Environ Entomol 2021, 50, 149–153. [Google Scholar] [CrossRef] [PubMed]
- Konecka, E.; Olszanowski, Z. Wolbachia Supergroup E Found in Hypochthonius Rufulus (Acari: Oribatida) in Poland. Infect Genet Evol 2021, 91, 104829. [Google Scholar] [CrossRef] [PubMed]
- Konecka, E.; Olszanowski, Z.; Koczura, R. Wolbachia of Phylogenetic Supergroup E Identified in Oribatid Mite Gustavia Microcephala (Acari: Oribatida). Mol Phylogenet Evol 2019, 135, 230–235. [Google Scholar] [CrossRef] [PubMed]
- Jess, S.; Bingham, J.F.W. Biological Control of Sciarid and Phorid Pests of Mushroom with Predatory Mites from the Genus Hypoaspis (Acari: Hypoaspidae) and the Entomopathogenic Nematode Steinernema Feltiae. Bull. Entomol. Res. 2004, 94, 159–167. [Google Scholar] [CrossRef] [PubMed]
- Schütte, C.; Dicke, M. Verified and Potential Pathogens of Predatory Mites (Acari: Phytoseiidae). Exp Appl Acarol 2008, 46, 307–328. [Google Scholar] [CrossRef] [PubMed]
- Abou-Zeid, M.A. Pathogenic Variation in Isolates of Pseudomonas Causing the Brown Blotch of Cultivated Mushroom, Agaricus Bisporus. Brazilian Journal of Microbiology: [publication of the Brazilian Society for Microbiology] 2012, 43, 1137–1146. [Google Scholar] [CrossRef]
- Delmas, J. Cultivation in Western Countries: Growing in Caves. In The Biology and Cultivation of Edible Mushrooms; Elsevier, 1978; pp. 251–298 ISBN 978-0-12-168050-3.
- Insect Pest Control for the Amateur Mushroom Grower.; E-347; United States. Bureau of Entomology and Plant Quarantine.: Place of publication not identified, 1935.
- Shamshad, A. The Development of Integrated Pest Management for the Control of Mushroom Sciarid Flies, Lycoriella Ingenua (Dufour) and Bradysia Ocellaris (Comstock), in Cultivated Mushrooms: IPM for Control of Sciarid Flies in Mushrooms. Pest. Manag. Sci. 2010, 66, 1063–1074. [Google Scholar] [CrossRef]
- Snetsinger, R.; Wuest, P. A Historical Perspective on Mushroom Arthropod Pest Control. In Developments in Crop Science; Elsevier, 1987; Vol. 10, pp. 641–648 ISBN 978-0-444-42747-2.
- Beyer, D.M.; Rinker, D. Nematode Problems in Mushroom Cultivation and Their Sustainable Management. In Nematode Diseases of Crops and their Sustainable Management; Elsevier, 2023; pp. 337–347 ISBN 978-0-323-91226-6.
- Andreadis, S.S.; Cloonan, K.R.; Bellicanta, G.S.; Paley, K.; Pecchia, J.; Jenkins, N.E. Efficacy of Beauveria Bassiana Formulations against the Fungus Gnat Lycoriella Ingenua. Biological Control 2016, 103, 165–171. [Google Scholar] [CrossRef]
- Cloonan, K.R.; Andreadis, S.S.; Baker, T.C. Attraction of Female Fungus Gnats, Lycoriella Ingenua, to Mushroom-Growing Substrates and the Green Mold Trichoderma Aggressivum. Entomologia Experimentalis et Applicata 2016, 159, 298–304. [Google Scholar] [CrossRef]







Disclaimer/Publisher’s Note: The statements, opinions and data contained in all publications are solely those of the individual author(s) and contributor(s) and not of MDPI and/or the editor(s). MDPI and/or the editor(s) disclaim responsibility for any injury to people or property resulting from any ideas, methods, instructions or products referred to in the content. |
© 2024 by the authors. Licensee MDPI, Basel, Switzerland. This article is an open access article distributed under the terms and conditions of the Creative Commons Attribution (CC BY) license (http://creativecommons.org/licenses/by/4.0/).