Preprint
Article

This version is not peer-reviewed.

Impact of Smoking Cessation and Charlson Comorbidity Index on Influenza Vaccination Efficacy in COPD Patients

A peer-reviewed article of this preprint also exists.

Submitted:

21 May 2024

Posted:

21 May 2024

You are already at the latest version

Abstract
Chronic obstructive pulmonary disease (COPD) patients are particularly susceptible to respiratory infections like influenza, which exacerbate symptoms and increase healthcare utilization. While smoking cessation and influenza vaccination are recommended preventive measures, their combined impact on healthcare resource utilization is underexplored. The Charlson Comorbidity Index (CCI) assesses comorbidity burden in COPD patients and may influence healthcare outcomes. We conducted a retrospective analysis of 357 COPD patients, evaluating smoking cessation success over one year and influenza vaccination receipt, stratifying patients by CCI scores. Healthcare utilization outcomes included emergency room visits, hospitalizations, and medical expenses. Results showed that 51.82% of patients quit smoking and 59.66% received influenza vaccination, with higher comorbidity prevalence in advanced COPD stages (p=0.002). Both smoking cessation and influenza vaccination independently correlated with decreased emergency room visits, hospital admissions, days, and costs. Patients who both quit smoking and received influenza vaccination exhibited the lowest healthcare utilization rates. In conclusion, smoking cessation and influenza vaccination significantly reduce healthcare resource utilization in COPD patients, with the combination yielding synergistic benefits, particularly in those with lower CCI scores. Integrating these interventions and comorbidity management in COPD strategies is essential for optimizing patient outcomes and healthcare efficiency.
Keywords: 
;  ;  ;  

1. Introduction

Chronic obstructive pulmonary disease (COPD) is a complex respiratory disorder marked by enduring airflow limitation, typically coupled with chronic bronchitis and emphysema [1]. It plays a substantial role in global health, contributing significantly to worldwide morbidity and mortality rates [2]. COPD patients grapple with a range of symptoms, including persistent coughing, wheezing, breathlessness, and diminished exercise tolerance, all of which severely impact their quality of life [3]
Of particular concern for COPD patients is their amplified susceptibility to respiratory infections like influenza [4]. Such infections can incite COPD exacerbations characterized by exacerbating symptoms and deteriorating lung function, culminating in hospital admissions and potentially even death [5]. Influenza poses a particular threat given its capacity to cause severe respiratory illness and complications, further undermining respiratory function in an already susceptible population [6].
Considering the increased risk of influenza-related morbidity and mortality amongst COPD patients, influenza immunization is heavily advocated as a preventive measure[7]. Influenza vaccination has demonstrated effectiveness in reducing the incidence of influenza infection, hospitalizations, and mortality amongst COPD patients[8]. However, the efficiency of influenza vaccination in this group may be moderated by various factors including personal attributes and coexisting health conditions.
One such influential factor is smoking cessation, which is pivotal in managing COPD [9]. Smoking is the primary origin of COPD, and continuous smoking exacerbates disease progression and respiratory symptoms [10]. Ceasing smoking not only decelerates the decline in lung function but also lessens the likelihood of exacerbations and enhances overall health outcomes in COPD patients [11]. Nonetheless, the impact of smoking cessation on the efficacy of influenza vaccination is a topic of ongoing study.
Comorbidities that frequently coexist with COPD may also affect the outcomes of vaccination [12]. The Charlson Comorbidity Index (CCI) is a recognized tool for evaluating the burden of comorbidity, covering conditions like cardiovascular disease, diabetes, and renal dysfunction, among others [13]. These comorbidities may influence immune responses to vaccination, thereby predisposing COPD patients to a higher likelihood of influenza-related complications.
Grasping the interactions between smoking cessation, comorbidities as captured by the CCI, and the effectiveness of influenza vaccination is essential for enhancing preventive strategies in COPD patients. Personalised vaccination strategies based on individual patient profiles and addressing modifiable risk factors like smoking and comorbidities could increase vaccine effectiveness and better health outcomes in this vulnerable group [14]. Therefore, additional research is needed to clarify these relationships and guide evidence-based guidelines for influenza vaccination in individuals with COPD.

2. Method

This study conducted a retrospective analysis to explore the individual analysis of the Charlson Comorbidity Index for smoking cessation in patients with chronic obstructive pulmonary disease (COPD) after receiving influenza vaccination. Patient data were collected from the database of Kaohsiung Chang Gung Medical Center, which ranks first in the application for medical service points in the Nanping area. From January to October 2018, patients diagnosed with COPD in outpatient clinics were selected based on the main diagnosis of ICD-10 J44 appearing five times or more. According to a study published in 2017 in an international journal, early COPD patients were observed continuously for six years, with an average of 4.5 outpatient visits per year. In 2012, the average number of outpatient visits was 4.9 ± 5.2 times [5]. Considering that COPD patients need to use bronchodilator drugs for approximately two months, and they require regular follow-up visits to outpatient clinics to monitor their condition, the subjects of this study were selected based on the main diagnosis of ICD-10 J44 appearing five times or more in outpatient diagnosis records. The impact of smoking cessation for one year on the hospitalization days, emergency room visits, medical expenses, and occurrences of respiratory failure in COPD patients after receiving influenza vaccination was observed due to diagnoses of acute respiratory tract infections, pneumonia, and influenza.

2.1. COPD Severity

The severity of COPD was categorized as A, B, C, or D in accordance with GOLD 2020 guidelines [6], taking into account mMRC dyspnea score (< 2 or ≥ 2), the severity of airflow limitation, and the frequency of exacerbations per year.

2.2. Charlson Comorbidity Index (CCI)

Subjects were further stratified into three groups based on their Charlson Comorbidity Index (CCI) scores [7], which serves to adjust for comorbidity status. A higher CCI score indicates a greater burden of comorbid health conditions. Analyzing the distribution of subjects across different CCI scores, we focused on those with scores of 0, 1, and 2 or higher. This study aims to evaluate the effectiveness of the Charlson index in predicting healthcare resource utilization in each group.

2.3. Statistical Analysis

Descriptive statistics were employed to analyze various study variables related to the severity of chronic obstructive pulmonary disease (COPD) across four major groups. The distribution of observed characteristics such as gender, age, Charlson Comorbidity Index, smoking status, influenza vaccination status, emergency room visits, hospitalization days, and medical expenses was examined within each group.
Inferential statistics included chi-square tests for categorical variables and independent samples t-tests for continuous variables. The independent variable in this study was the receipt of influenza vaccination. Multiple linear regression analysis was conducted to explore the relationship between age, gender, smoking status, Charlson Comorbidity Index, hospitalization days, hospitalization medical expenses, and influenza vaccination status.
Furthermore, negative binomial regression analysis was used to assess the impact of Charlson Comorbidity Index on the frequency of emergency room visits and hospitalizations.

3. Results

Table 1 and Figure 1 illustrates the distribution of the study sample. Participants aged 50-59 accounted for 13.73%, those aged 60-69 for 30.53%, those aged 70-79 for 35.85%, and those over 80 for 19.89%. Males comprised 92.44% of the sample, while females accounted for 7.56%, totaling 27 individuals. The Charlson Comorbidity Index, adjusted for COPD as the primary condition, deducted one point. Since COPD was the primary focus of this study, its weight in the Charlson Comorbidity Index was one point. In GOLD stage 1, 33.33% had a Charlson Comorbidity Index score of 0, 26.88% scored 1, and 39.78% scored 2 or higher. In GOLD stage 2, these proportions were 27.78%, 30.95%, and 41.27%, respectively. In GOLD stage 3, they were 20.00%, 19.05%, and 60.95%, and in GOLD stage 4, they were 9.09%, 18.18%, and 72.73%, respectively. Overall, 21.18% scored 0, 23.76% scored 1, and 55.06% scored 2 or higher on the Charlson Comorbidity Index, as shown in Table 1, depicting the distribution of the study sample.
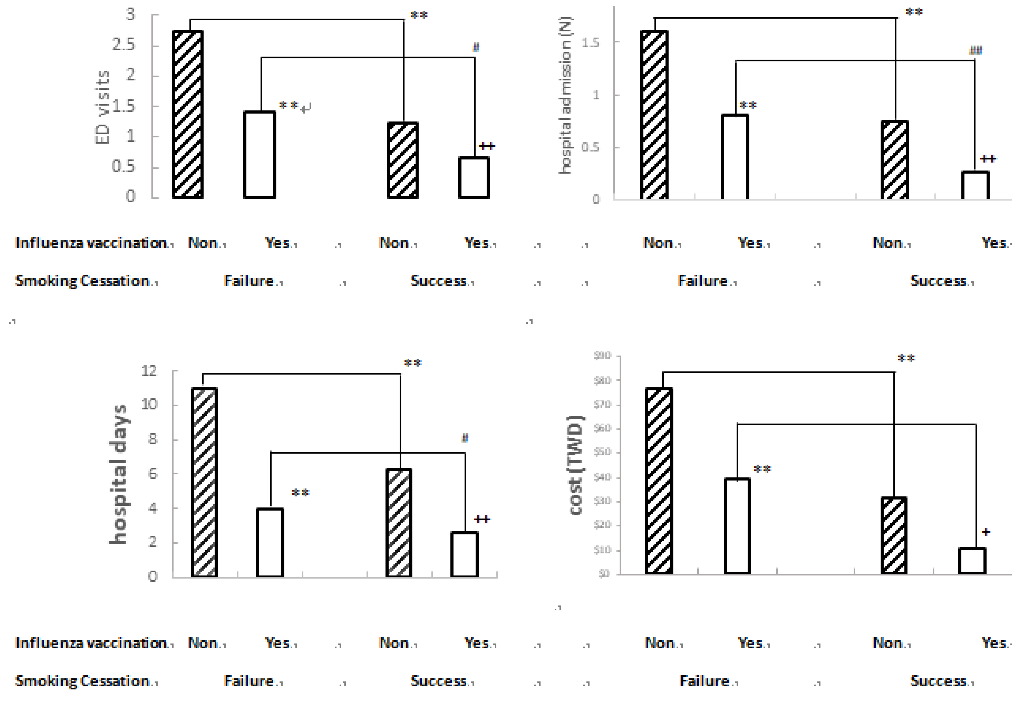
Table 2 presents the analysis of healthcare resource utilization among patients based on smoking cessation and influenza vaccination status. Regarding emergency room visits, patients who quit smoking and did not receive influenza vaccination had an average of 2.72 ± 3.43 visits, whereas those who both quit smoking and received influenza vaccination had an average of 0.66 ± 1.24 visits, significantly fewer than the former group (p = .001**). In terms of hospitalizations, patients who quit smoking and did not receive influenza vaccination had an average of 1.60 ± 1.58 hospitalizations, while those who both quit smoking and received influenza vaccination had an average of 0.26 ± 0.56 hospitalizations, significantly fewer than the former group (p = .001**). Across hospitalization days, hospitalization expenses, and occurrences of respiratory failure, the group that both quit smoking and received influenza vaccination consistently showed lower values compared to the group that did not quit smoking and did not receive influenza vaccination, with all differences being statistically significant.
Table 3 compares outcomes between success and failure smoking cessation groups, and between those who received and those who did not receive influenza vaccination. For the success smoking cessation group versus the failure smoking cessation group, significant decreases were observed in emergency department utilization (coefficient -0.61, 95%CI -0.85 to -0.367), hospital utilization (coefficient -0.54, 95%CI -0.77 to -0.31), hospital days (coefficient -2.14, 95%CI -4.19 to 0.083), and cost (coefficient -15684, 95%CI -37446 to 6078). In the group that received influenza vaccination compared to the group that did not, significant decreases were found in emergency department utilization (coefficient -0.56, 95%CI -0.81 to -0.32), hospital utilization (coefficient -0.71, 95%CI -0.95 to -0.47), hospital days (coefficient -4.14, 95%CI -6.11 to -2.17), and cost (coefficient -37417, 95%CI -58277 to -16557).
Comparing CCI≥2 to CCI=0 group, significant increases were observed in emergency department utilization (coefficient -1.34, 95%CI 0.98 to 1.71), hospital utilization (coefficient 1.06, 95%CI -0.70 to 1.42), hospital days (coefficient 5.24, 95%CI 2.75 to 7.73), and cost (coefficient 49620, 95%CI -23189 to 38457). For CCI=1 compared to CCI=0 group, there was a significant increase in emergency department utilization (coefficient 0.94, 95%CI 0.53 to 1.36), and hospital utilization (coefficient 0.68, 95%CI -0.26 to 1.09). However, there were no significant differences in hospital days (coefficient 1.97, 95%CI -0.93 to 4.87) and cost (coefficient 7634, 95%CI 23282 to 75958).
Figure 2 presents the following findings: Successful smoking cessation groups exhibited a significant reduction in emergency visits (p < 0.001) and hospitalization frequencies (p < 0.001) compared to failed smoking cessation groups, both with and without influenza vaccination (Group III vs. Group I and Group IV vs. Group II). Additionally, successful smoking cessation groups demonstrated a significant reduction in hospitalization days (p < 0.001) and hospitalization costs (p < 0.001) compared to failed smoking cessation groups without influenza vaccination (Group III vs. Group I). However, there was no significant reduction in hospitalization days (p=0.157) and hospitalization costs (p=0.126) compared to failed smoking cessation groups without influenza vaccination (Group IV vs. Group II). Influenza vaccination groups displayed significant reductions in hospitalization frequency (p < 0.05), hospitalization days (p < 0.05), and hospitalization costs (p < 0.05) compared to non-influenza vaccination groups, both with and without successful smoking cessation (Group II vs. Group I and Group IV vs. Group III). Nevertheless, for influenza vaccination groups, there was no significant reduction in emergency visits (p=0.169) compared to the non-influenza vaccination groups, even with successful smoking cessation (Group IV vs. Group III).
Figure 3 analyzes the negative binomial regression of emergency department visits by smoking cessation and influenza vaccination status among the study samples grouped by CCI=0, CCI=1, and CCI≥2. Separate analyses by CCI groups show that both the vaccinated and smoking cessation groups have fewer emergency department visits and hospitalizations, with significant differences observed in all groups except for the CCI=0 group (p=.000**). In terms of emergency department visits and hospitalizations, the CCI=0 group shows fewer visits and hospitalizations regardless of influenza vaccination, smoking cessation, or both, although the differences are not statistically significant. The CCI=1 group also shows fewer emergency department visits and hospitalizations regardless of influenza vaccination, smoking cessation, or both, except for the smoking cessation-only group, which does not show significant differences. However, in the CCI=2 group, all subgroups, whether vaccinated, quit smoking, or both, exhibit significantly fewer emergency department visits and hospitalizations.

4. Discussion

Our study’s findings emphatically highlight the significance of smoking cessation, influenza vaccination, and the Charlson Comorbidity Index (CCI) in lessening COPD’s burden and refining usage of healthcare resources among affected patients. In analyzing these interventions’ implications on COPD outcomes and patterns of healthcare utility, we gleaned several decisive insights.
Primarily, we discerned a prominent correlation between smoking cessation and a decline in healthcare resources among COPD patients. Individuals who successfully relinquished smoking exhibited fewer emergency department consultations, hospital admissions, and related costs compared to persistent smokers [11,15]. This observation harmonizes with current evidence proposing that smoking cessation not just decelerates the advance of COPD but also curtails the regularity and severity of exacerbations, consequently reducing healthcare dependency.
Secondly, influenza vaccination revealed itself as a safeguard against unfavorable COPD outcomes and consumption of healthcare resources [16]. Patients who were immunized against influenza had lower rates of emergency department visits, hospital admissions, and related costs compared with their unvaccinated counterparts [5]. These data accentuate vaccination’s necessity in averting influenza-related exacerbations and complications in COPD patients, hence alleviating the strain on healthcare provision
Our analysis additionally examined the impact of comorbidities, as reflected by the Charlson Comorbidity Index (CCI), on COPD outcomes and healthcare consumption [17]. We discovered that elevated CCI scores, signaling a greater burden of comorbidity, were linked with intensified use of healthcare resources across all examined groups. Notwithstanding, even when comorbidities were present, smoking cessation, and influenza vaccination remained operative in diminishing healthcare reliance among COPD patients.
By incorporating CCI in our evaluation, we’ve gleaned invaluable insights into the effects of comorbidities on the management of COPD and the usage of healthcare resources. COPD patients with higher CCI scores may present more complex healthcare needs and increased susceptibility to adverse results, underscoring the requirement for customized interventions to refine their care [18]. Despite the hurdles imposed by comorbidities, our observations imply that both smoking cessation and influenza vaccination continue to confer substantial advantages in limiting healthcare consumption in this group.
Crucially, our research revealed reciprocated benefits when smoking cessation, influenza immunization, and management of comorbidities were amalgamated into COPD care. COPD patients who quit smoking, received influenza vaccinations, and had lower CCI scores registered the least frequented emergency department visits, hospitalizations, and corresponding costs. This finding underscores adopting a comprehensive approach to managing COPD, tackling modifiable risk factors, precluding exacerbations, and efficiently managing comorbidities.

5. Conclusions

To conclude, our study underlines the profound influence of smoking cessation, influenza vaccination, and management of comorbidities in decreasing the reliance on healthcare resources in COPD patients. These interventions collaboratively play crucial roles in perfecting COPD outcomes, averting exacerbations, and augmenting healthcare effectiveness. By addressing modifiable risk factors like smoking, advocating preventive measures like vaccination, and managing comorbidities effectively, we can lessen the burdens COPD imposes on healthcare systems and enhance patient outcomes. Additional research is necessitated to elucidate the mechanisms underpinning these interventions’ effects and to refine their implementation in clinical practice.

Author Contributions

Shih-Feng Liu and Hui-Chuan Chang: Writing—original draft preparation, and Shih-Feng Liu Writing—review and editing.

Funding

This work had no external funding.

Institutional Review Board Statement

The study was approved by the Chang-Gung Memorial Hospital review board (IRB # 202000547B0C601) on 6 May 2020.

Data Availability Statement

Data can be obtained from Hui-Chuan Chang (elaine11142@cgmh.org.tw).

Acknowledgments

We appreciated the Biostatistics Center, Kaohusing Chang Gung Memorial Hospital for statistics work.

Conflicts of Interest

The author declared no conflicts of interest.

Abbreviations

COPD Chronic Obstructive Pulmonary Disease
GOLD Global Initiative for Chronic Obstructive Lung Disease
FEV1 Forced expiratory volume during the first second
FVC Forced Vital Capacity

References

  1. GOLD. Global Strategy for the Diagnosis, Management and Prevention of COPD. Global Initiative for Chronic Obstructive Lung Disease (GOLD). 2024.
  2. Organization(WHO) WH. Chronic Obstructive Pulmonary Disease 2017.
  3. Barnes, PJ. Inflammatory mechanisms in patients with chronic obstructive pulmonary disease. Journal of Allergy and Clinical Immunology 2016; 138: 16-27. [CrossRef]
  4. Mathers CD, Loncar D. Projections of global mortality and burden of disease from 2002 to 2030. PLoS medicine 2006; 3: e442.
  5. Wesseling, G. Occasional review: influenza in COPD: pathogenesis, prevention, and treatment. International journal of chronic obstructive pulmonary disease 2007; 2: 5-10. [CrossRef]
  6. Schauer U, Hoffjan S, Bittscheidt J, Köchling A, Hemmis S, Bongartz S, Stephan V. RSV bronchiolitis and risk of wheeze and allergic sensitisation in the first year of life. European respiratory journal 2002; 20: 1277-83.
  7. Reilly KH, Gu D, Duan X, et al. Risk factors for chronic obstructive pulmonary disease mortality in Chinese adults. American journal of epidemiology 2008; 167: 998-1004.
  8. Schols A, Buurman WA, Van den Brekel AS, Dentener MA, Wouters E. Evidence for a relation between metabolic derangements and increased levels of inflammatory mediators in a subgroup of patients with chronic obstructive pulmonary disease. Thorax 1996; 51: 819-24.
  9. Charlson ME, Pompei P, Ales KL, MacKenzie CR. A new method of classifying prognostic comorbidity in longitudinal studies: development and validation. Journal of chronic diseases 1987; 40: 373-83.
  10. Trinkmann F, Saur J, Borggrefe M, Akin I. Cardiovascular comorbidities in chronic obstructive pulmonary disease (COPD)—current considerations for clinical practice. Journal of clinical medicine 2019; 8: 69.
  11. Godtfredsen NS, Lam TH, Hansel TT, et al. COPD-related morbidity and mortality after smoking cessation: status of the evidence. European Respiratory Journal 2008; 32: 844-53.
  12. Schikowski T, Sugiri D, Ranft U, Gehring U, Heinrich J, Wichmann H-E, Krämer U. Long-term air pollution exposure and living close to busy roads are associated with COPD in women. Respiratory research 2005; 6: 1-10.
  13. Charlson ME, Carrozzino D, Guidi J, Patierno C. Charlson comorbidity index: a critical review of clinimetric properties. Psychotherapy and psychosomatics 2022; 91: 8-35.
  14. Poland GA, Ovsyannikova IG, Kennedy RB. Personalized vaccinology: a review. Vaccine 2018; 36: 5350-7.
  15. Qaseem A, Wilt TJ, Weinberger SE, et al. Diagnosis and management of stable chronic obstructive pulmonary disease: a clinical practice guideline update from the American College of Physicians, American College of Chest Physicians, American Thoracic Society, and European Respiratory Society. Annals of internal medicine 2011; 155: 179-91.
  16. de Miguel Díez J, Morgan JC, Garrido PC, et al. Hospitalizations from pandemic influenza (pH1N1) infections among patients with COPD in Spain. Eur Respiratory Soc. 2012.
  17. Charlson M, Szatrowski TP, Peterson J, Gold J. Validation of a combined comorbidity index. Journal of clinical epidemiology 1994; 47: 1245-51. [CrossRef]
  18. Rehman AU, Shah S, Abbas G, et al. Assessment of risk factors responsible for rapid deterioration of lung function over a period of one year in patients with chronic obstructive pulmonary disease. Scientific reports 2021; 11: 13578. [CrossRef]
Figure 1. the comorbidity distribution between smoking cessation and influenza vaccination.
Figure 1. the comorbidity distribution between smoking cessation and influenza vaccination.
Preprints 107074 g001
Figure 2. Analysis of healthcare resource utilization among patients based on their and influenza vaccination and smoking cessation status.
Figure 2. Analysis of healthcare resource utilization among patients based on their and influenza vaccination and smoking cessation status.
Preprints 107074 g002
Figure 3. analyzes the negative binomial regression of emergency department visits by smoking cessation and influenza vaccination status.
Figure 3. analyzes the negative binomial regression of emergency department visits by smoking cessation and influenza vaccination status.
Preprints 107074 g003
Table 1. The demographic characteristics of enrolled 357 patients with COPD.
Table 1. The demographic characteristics of enrolled 357 patients with COPD.
Variables (N=357) N(%) p value
Age
 50-59 49 (13.73%)
 60-69 109(30.53%)
 70-79 128(35.85%)
 >80 71(19.89%)
Gender
 women 27 (7.56%)
 man 330(92.44%)
Quit smoking
 success 185(51.82%)
 failure 172(48.18%)
Influenza vaccination
 Received 213(59.66%)
 Unreceived 144(40.34%)
GOLD 1
(N=119)
GOLD 2
(N=66)
GOLD 3
(N=94)
GOLD 4
(N=78)
P=0.002
 CCI 0 31(33.33%) 35(27.78%) 21(20.00%) 3(9.09%)
 CCI 1 25(26.88%) 39(30.95%) 20(19.05%) 6(18.18%)
 CCI ≥2 37(39.78%) 52(41.27%) 64(60.95%) 24(72.73%)
Quit smoking >1 year
 success 56(60.22%) 59(46.83%) 58(55.24%) 12(36.36%) P=0.057
 failure 37(39.78%) 67(53.17%) 47(44.76%) 21(63.64%)
Influenza vaccination P=0.017
 Received 66(70.97%) 67(53.17%) 65(61.90%) 15(45.45%)
 Unreceived 27(29.03%) 59(46.83%) 40(38.10%) 18(54.55%)
CCI: Charlson Comorbidity Index.
Table 2. Analysis of healthcare resource utilization among patients based on smoking cessation and influenza vaccination status.
Table 2. Analysis of healthcare resource utilization among patients based on smoking cessation and influenza vaccination status.
Smoking/
Non-influenza vaccine
Smoking /influenza vaccine Quit Smoking /
Non-influenza vaccine
Quit Smoking/
influenza vaccine
P Value
emergency room visits 2.74(3.43)##++&& 1.40(1.88)**& 1.23(1.88)**& 0.66(1.24)**#++ 0.000
hospitalizations 1.60(1.58) ##++&& 0.81(1.04) **&& 0.75(1.01) **&& 0.26(0.56) ** ##++ 0.000
hospitalization days 10.95(15.53) ##++&& 3.97(5.89) **& 6.27(13.41) **&& 2.58(7.37) **#++ 0.000
hospitalization expenses 77201(177342) ##++&& 39193(99960) ** 31942(63771) **& 10543(31278) **+ 0.0012
* vs. neither quit smoking nor received influenza vaccination, *<0.05** P<0.01. # vs. not quit smoking and received influenza vaccination, #<0.05## P<0.01. + vs. quit smoking and not received influenza vaccination, +<0.05 ++ P<0.01. & vs. quit smoking and received influenza vaccination, &<0.05 && P<0.01.
Table 3. Comparison of medical utilizations between success and failure smoking cessation groups, and between received and did not receive influenza vaccination.
Table 3. Comparison of medical utilizations between success and failure smoking cessation groups, and between received and did not receive influenza vaccination.
Preprints 107074 i001
Disclaimer/Publisher’s Note: The statements, opinions and data contained in all publications are solely those of the individual author(s) and contributor(s) and not of MDPI and/or the editor(s). MDPI and/or the editor(s) disclaim responsibility for any injury to people or property resulting from any ideas, methods, instructions or products referred to in the content.
Copyright: This open access article is published under a Creative Commons CC BY 4.0 license, which permit the free download, distribution, and reuse, provided that the author and preprint are cited in any reuse.
Prerpints.org logo

Preprints.org is a free preprint server supported by MDPI in Basel, Switzerland.

Subscribe

Disclaimer

Terms of Use

Privacy Policy

Privacy Settings

© 2026 MDPI (Basel, Switzerland) unless otherwise stated