Submitted:
08 May 2024
Posted:
08 May 2024
You are already at the latest version
Abstract
Keywords:
1. Introduction
2. Case Description
3. Results & Discussion
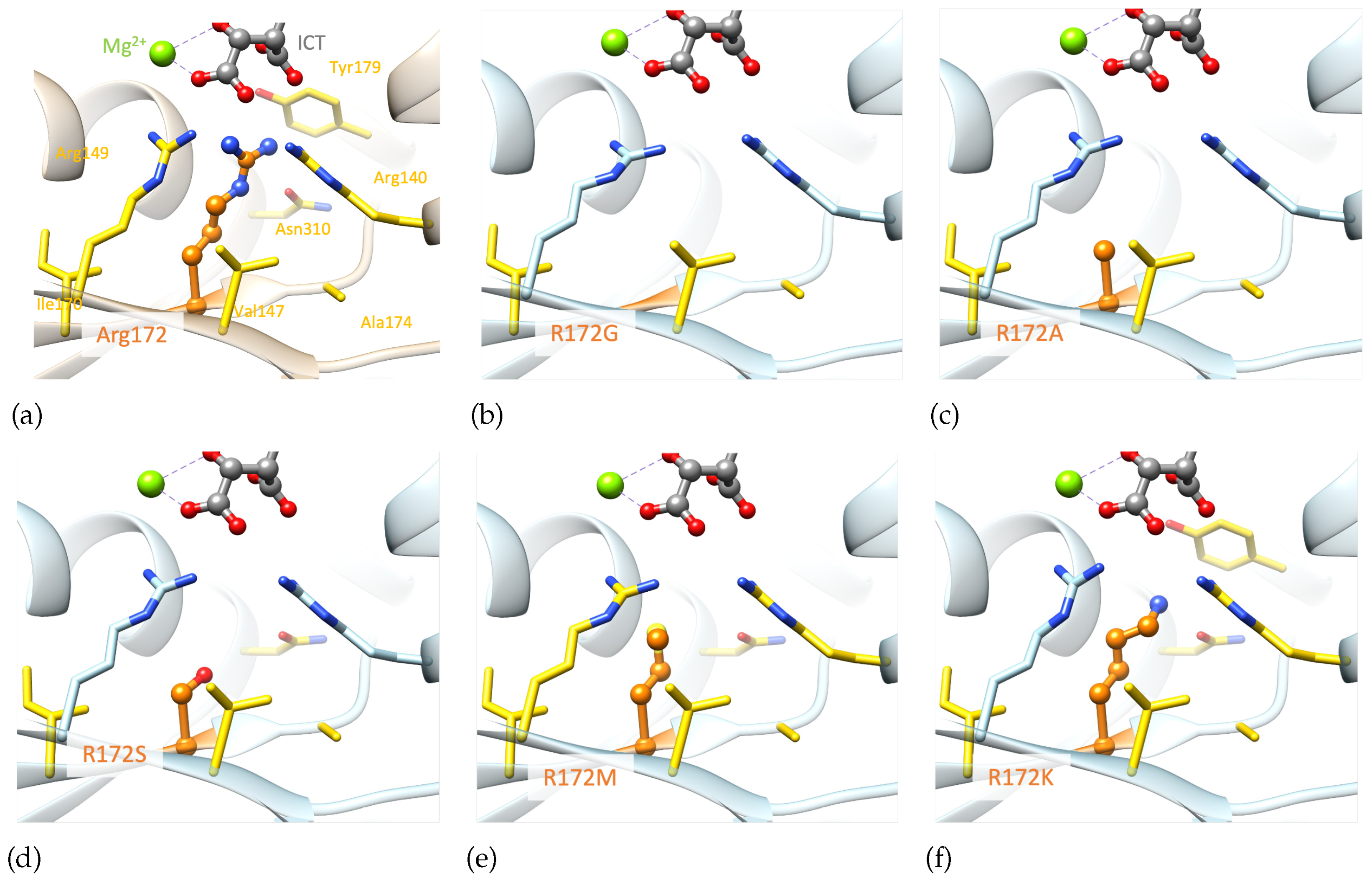
3.1. Molecular analysis
3.2. Methylation analysis
4. Materials and Methods
5. Conclusions
Author Contributions
Funding
Informed Consent Statement
Acknowledgments
Conflicts of Interest
Sample Availability
References
- Dogan, S.; Vasudevaraja, V.; Xu, B.; et al. DNA methylation-based classification of sinonasal undifferentiated carcinoma. Mod. Pathol. 2019, 32, 1447–1459.
- Losman, J.; Kaelin, W.J. What a difference a hydroxyl makes: mutant IDH, (R)-2-hydroxyglutarate, and cancer. Genes Dev. 2013, 27, 836–852.
- Guo, J.; Zhang, R.; Yang, Z.; et al. Biological Roles and Therapeutic Applications of IDH2 Mutations in Human Cancer. Front. Oncol. 2021, 11, 644857.
- Showalter, M.R.; Hatakeyama, J.; Cajka, T.; et al. Reproducibility Project: Cancer Biology. Replication Study: The common feature of leukemia-associated IDH1 and IDH2 mutations is a neomorphic enzyme activity converting alpha-ketoglutarate to 2-hydroxyglutarate. eLife 2017, 6, e26030.
- Nakazawa, S.; Sakata, K.I.; Liang, S.; et al. Dominant-negative p53 mutant R248Q increases the motile and invasive activities of oral squamous cell carcinoma cells. Biomed. Res. 2019, 40, 37–49.
- Yoshikawa, K.; Hamada, J.i.; Tada, M.; Kameyama, T.; et al. Mutant p53 R248Q but not R248W enhances in vitro invasiveness of human lung cancer NCI-H1299 cells. Biomed. Res. 2010, 31, 401–411.
- Monticone, M.; Biollo, E.; Maffei, M.; Donadini, A.; et al. Gene expression deregulation by KRAS G12D and G12V in a BRAF V600E context. Mol. Cancer 2008, 7, 92.
- Tate, J.G.; Bamford, S.; Jubb, H.C.; et al. COSMIC: the Catalogue Of Somatic Mutations In Cancer. Nucleic Acids Res. 2019, 47, D941–D947.
- de Bruijn, I.; Kundra, R.; Mastrogiacomo, B.; et al. Analysis and Visualization of Longitudinal Genomic and Clinical Data from the AACR Project GENIE Biopharma Collaborative in cBioPortal. Cancer Res. 2023, 83, 3861–3867.
- Landrum, M.J.; Lee, J.M.; Benson, M.; et al. ClinVar: improving access to variant interpretations and supporting evidence. Nucleic Acids Res. 2018, 46, D1062–D1067.
- Chakravarty, D.; Gao, J.; Phillips, S.M.; et al. OncoKB: A Precision Oncology Knowledge Base. JCO Precis. Oncol. 2017, 2017, 2473–4284.
- Patterson, S.E.; Liu, R.; Statz, C.M.; et al. The clinical trial landscape in oncology and connectivity of somatic mutational profiles to targeted therapies. Hum. Genom. 2016, 4, 1479–7364.
- Berman, H.M.; Westbrook, J.; Feng, Z.; et al. The Protein Data Bank. Nucl. Acids Res 2000, 28, 235–242.
- Xu, Y.; Liu, L.; Nakamura, A.; et al. Studies on the regulatory mechanism of isocitrate dehydrogenase 2 using acetylation mimics. Sci. Rep. 2017, 7, 9785.
- Yang, H.; Ye, D.; Guan, K.; Xiong, Y. IDH1 and IDH2 mutations in tumorigenesis: mechanistic insights and clinical perspectives. Clin. Cancer Res. 2012, 18, 5562–5571.
- Mondesir, J.; Willekens, C.; Touat, M.; et al. IDH1 and IDH2 mutations as novel therapeutic targets: current perspectives. J. Blood Med. 2016, 7, 171–180.
- Koh, J.; Cho, H.; Kim, H.; et al. IDH2 mutation in gliomas including novel mutation. Neuropathology 2015, 35, 236–244.
- Ward, P.; Patel, J.; Wise, D.; et al. The common feature of leukemia-associated IDH1 and IDH2 mutations is a neomorphic enzyme activity converting alpha-ketoglutarate to 2-hydroxyglutarate. Cancer Cell 2010, 17, 225–234.
- Jin, G.; Reitman, Z.J.; Spasojevic, I.; et al. 2-hydroxyglutarate production, but not dominant negative function, is conferred by glioma-derived NADP-dependent isocitrate dehydrogenase mutations. PLoS One 2011, 6, e16812.
- Chen, J.Y.; Lai, Y.S.; Tsai, H.J.; et al. The oncometabolite R-2-hydroxyglutarate activates NF-κB-dependent tumor-promoting stromal niche for acute myeloid leukemia cells. Sci. Rep. 2016, 6, 32428.
- Capper, D.; Jones, D.; Sill, M.; et al. DNA methylation-based classification of central nervous system tumours. Nature 2018, 555, 469–474.
- Jurmeister, P.; Glöß, S.; Roller, R.; et al. DNA methylation-based classification of sinonasal tumors. Nat. Commun. 2022, 13, 7148.
- Sciarra, A.; Missiaglia, E.; Trimech, M.; et al. Gallbladder Mixed Neuroendocrine-Non-neuroendocrine Neoplasm (MiNEN) Arising in Intracholecystic Papillary Neoplasm: Clinicopathologic and Molecular Analysis of a Case and Review of the Literature. Endocr. Pathol. 2020, 31, 84–93.
- Consortium, U. UniProt Consortium. UniProt: the Universal Protein Knowledgebase in 2023. Nucleic Acids Res. 2023, 6, D523–D531.
- Sievers, F.; Wilm, A.; Dineen, D.; et al. Fast, scalable generation of high-quality protein multiple sequence alignments using Clustal Omega. Mol. Syst. Biol. 2011, 11, 539.
- Pettersen, E.; Goddard, T.; Huang, C.; et al. UCSF Chimera–a visualization system for exploratory research and analysis. J. Comput. Chem. 2004, 25, 1605–12.
- Schymkowitz, J.; Borg, J.; Stricher, F.; et al. The FoldX web server: an online force field. Nucleic Acids Res. 2005, 1, W382–8.
- Bledea, R.; Vasudevaraja, V.; Patel, S.; Stafford, J.; Serrano, J.; Esposito, G.; Tredwin, L.M.; Goodman, N.; Kloetgen, A.; Golfinos, J.G.; et al. Functional and topographic effects on DNA methylation in IDH1/2 mutant cancers. Sci. Rep. 2019, 9, 16830.
- Aryee, M.J.; Jaffe, A.E.; Corrada-Bravo, H.; et al. Minfi: a flexible and comprehensive Bioconductor package for the analysis of Infinium DNA methylation microarrays. Bioinformatics 2014, 30, 1363–1369.
- Du, P.; Zhang, X.; Huang, C.C.; et al. Comparison of Beta-value and M-value methods for quantifying methylation levels by microarray analysis. BMC Bioinformatics 2010, 11, 587.
- Virtanen, P.; Gommers, R.; Oliphant, T.E.; et al. SciPy 1.0: Fundamental Algorithms for Scientific Computing in Python. Nat. Methods 2020, 17, 261–272.
- Seabold, S.; Perktold, J. statsmodels: Econometric and statistical modeling with python. In Proceedings of the 9th Python in Science Conference, 2010.
- Pedregosa, F.; Varoquaux, G.; Gramfort, A.; et al. Scikit-learn: Machine Learning in Python. J. Mach. Learn. Res. 2011, 12, 2825–2830.
- Hunter, J.D. Matplotlib: A 2D graphics environment. Comput. Sci. Eng. 2007, 9, 90–95.
- Waskom, M.L. seaborn: statistical data visualization. J. Open Source Softw. 2021, 6, 3021.









| Regions | % | % | ||
|---|---|---|---|---|
| TSS200 | 1237 | 12.37 | 50040 | 13.51 |
| TSS1500 | 1643 | 16.43 | 64419 | 17.39 |
| 5UTR | 1482 | 14.82 | 50649 | 13.67 |
| Body | 3805 | 38.05 | 134277 | 36.25 |
Disclaimer/Publisher’s Note: The statements, opinions and data contained in all publications are solely those of the individual author(s) and contributor(s) and not of MDPI and/or the editor(s). MDPI and/or the editor(s) disclaim responsibility for any injury to people or property resulting from any ideas, methods, instructions or products referred to in the content. |
© 2024 by the authors. Licensee MDPI, Basel, Switzerland. This article is an open access article distributed under the terms and conditions of the Creative Commons Attribution (CC BY) license (http://creativecommons.org/licenses/by/4.0/).