Submitted:
08 July 2024
Posted:
09 July 2024
You are already at the latest version
Abstract
Keywords:
1. Introduction
2. Material and Methods
2.1. Study site and sampling
2.2. Complementary measures and methods
3. Results and discussion
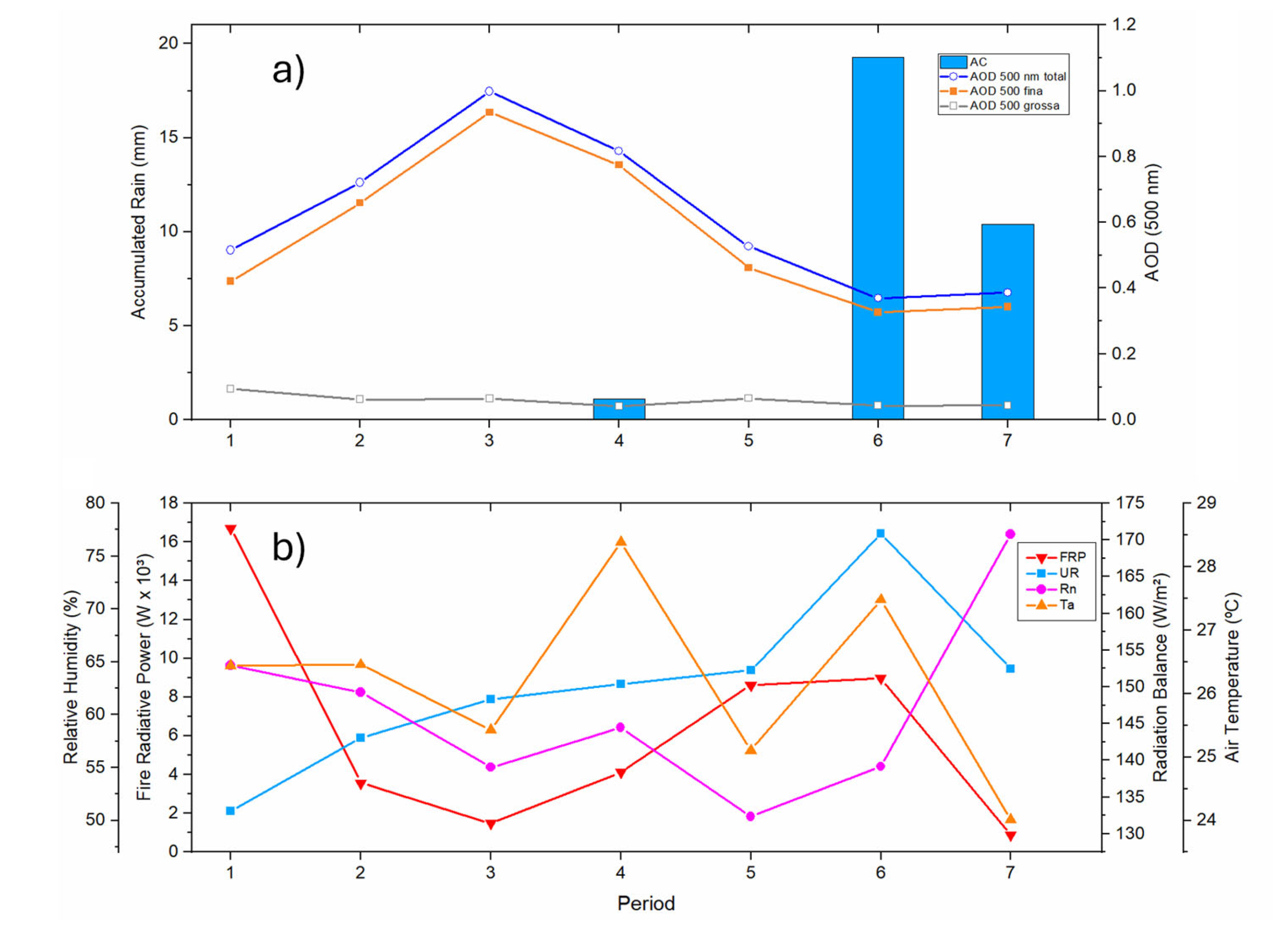
3.1. Variations in PM2.5 and BC concentrations
3.2. Meteorological influences
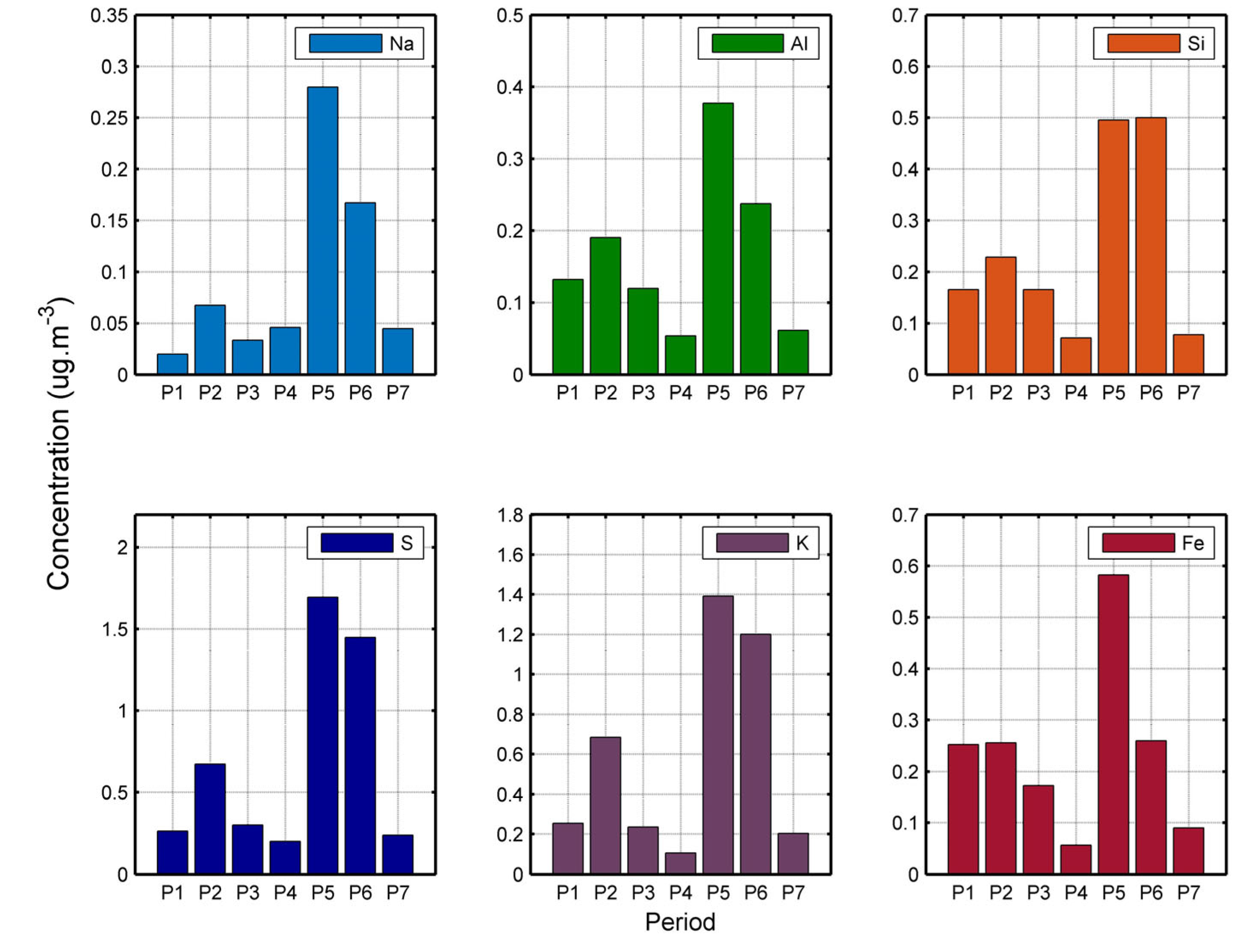
3.3. Elemental concentration and Enrichment factor
4. Conclusions
Author Contributions
Funding
Data Availability Statement
Acknowledgments
Conflicts of Interest
References
- IPCC, 2013. Climate Change 2013: the Physical Science Basis. Contribution of Working Group I to the Fifth Assessment Report of the Intergovernmental Panel on Climate Change. Cambridge University Press, New York.
- Kumar, M.; Raju, M.P.; Singh, R.S.; Banerjee, T. Impact of drought and normal monsoon scenarios on aerosol induced radiative forcing and atmospheric heating in Varanasi over middle Indo-Gangetic Plain. J. Aerosol Sci. 2017, 113, 95–107. [Google Scholar] [CrossRef]
- Kumar, K.R.; Sivakumar, V.; Yin, Y.; Reddy, R.R.; Kang, N.; Diao, A.J.A.; Yu, X. Long-term (2003-2013) climatological trendsand variations in aerosol optical parametersfrom MODIS over three stations in SouthAfrica. Atmos. Envir. 2014, 95, 400–408. [Google Scholar] [CrossRef]
- Kang, N.; Kumar, K.R.; Hu, K.; Yu, X.; Yin, Y. Long-term (2002–2014) evolution and trend in Collection 5.1 Level-2 aerosol products derived from the MODIS and MISR sensors over the Chinese Yangtze River Delta. Atmos. Res. 2016, 181, 29–43. [Google Scholar] [CrossRef]
- Rizzo, L.V.; Artaxo, P.; Müller, T.; Wiedensohler, A.; Paixão, M.; Cirino, G.G.; Arana, A.; Swietlicki, E.; Roldin, P.; Fors, E.O.; Wiedemann, K.T.; Leal, L.S.M.; Kulmala, M. Long term measurements of aerosol optical properties at a primary forest site in Amazonia. Atmos. Chem. Phys. 2013, 2013. 13, 2391–2413. [Google Scholar] [CrossRef]
- Thornhill, G.D.; Ryder, C.L.; Highwood, E.J.; Shaffrey, L.C.; Johnson, B.T. The effect of South American biomass burning aerosol emissions on the regional climate. Atmos. Chem. Phys. 2018, 18, 5321–5342. [Google Scholar] [CrossRef]
- Bond, T.C.; Doherty, S.J.; Fahey, D.W.; Forster, P.M.; Berntsen, T.; DeAngelo, B.J.; Flanner, M.G.; Ghan, S.; Kärcher, B.; Koch, D.; Kinne, S.; Kondo, Y.; Quinn, P.K.; Sarofim, M.C.; Schultz, M.G.; Schulz, M.; Venkataraman, C.; Zhang, H.; Zhang, S.; Bellouin, N.; Guttikunda, S.K.; Hopke, P.K.; Jacobson, M.Z.; Kaiser, J.W.; Klimont, Z.; Lohmann, U.; Schwarz, J.P.; Shindell, D.; Storelvmo, T.; Warren, S.G.; Zender, C.S. Bounding the role of black carbon in the climate system: Ascientific assessment. J. Geophys. Res. 2013, 118, 5380–5552. [Google Scholar] [CrossRef]
- Artaxo, P.; Martins, J.V.; Yamasoe, M.; Procopio, A.S.; Pauliquevis, T.M.; Andreae,M. O.; Guyon, P.; Gatti, L.V.; Leal, A.M.C. Physical and chemical properties ofaerosols in the wet and dry seasons inRondonia, Amazonia. . J. Geophys. Res. 2002, 107, 8081. [Google Scholar] [CrossRef]
- Andreae, M.O.; Gelencsér, A. Black carbon or brown carbon? The nature of light-absorbing carbonaceous aerosols. Atmos. Chem. Phys. 2006, 6, 3131–3148. [Google Scholar] [CrossRef]
- Bennett, J.E.; Tamura-Wicks, H.; Parks, R.M.; Burnett, R.T.; Pope, A.; Bechle, M.J.; Marshall, J.D.; Danaei, G.; Ezzati, M. Particulate matter air pollution and national and county life expectancy loss in the USA: A spatiotemporal analysis. PLoS. Med. 2019, 16, e1002856. [Google Scholar] [CrossRef]
- Requia, W.J.; Amini, H.; Mukherjee, R.; Gold, D.R.; Schwartz, J.D. Health impacts of wild fi re-related air pollution in Brazil: a nationwide study of more than 2 million hospital admissions between 2008 and 2018. Nat. Commun. 2021, 12, 6555. [Google Scholar] [CrossRef]
- Andrade Filho, V.S.; Artaxo, P.; Hacon, S.; Carmo, C.N.; Cirino, G. Aerossóis de queimadas e doenças respiratórias em crianças, Manaus, Brasil. Rev. Saúde Púb. 2013, 47, 239–247. [Google Scholar] [CrossRef] [PubMed]
- Brunelli, T.C.; Paiva, S.; Yara, A.; Elizeu, C.; Otávio, L.; Basso, J. Environmental parameters and relationships with COVID-19 cases in central South America. Quim. Nova, 2021, 44, 1236–1244. [Google Scholar] [CrossRef]
- Jacobson, L. da S.V.; de Oliveira, B.F.A.; Schneider, R.; Gasparrini, A.; Hacon, S. de S. Mortality Risk from Respiratory Diseases Due to Non-Optimal Temperature among Brazilian Elderlies. Int J Environ Res Public Health. [CrossRef]
- Arana, A.; Artaxo, P. Composição elementar do aerossol atmosférico na região central da bacia amazônica. Quim. Nova, 2014, 37, 268–276. [Google Scholar] [CrossRef]
- Rizzo, L.V.; Correia, A.L.; Artaxo, P.; Procppio, A.S.; Andreae, M.O. Spectral dependence of aerosol light absorption over \newline the Amazon Basin. Atmos. Chem. Phys. 2011, 11, 8899–8912. [Google Scholar] [CrossRef]
- Rizzo, L.V.; Roldin, P.; Brito, J.; Backman, J.; Swietlicki, E.; Krejci, R.; Tunved, P.; Petäjä, T.; Kulmala, M.; Artaxo, P. Multi-year statistical and modelling analysis of submicrometer aerosol number size distributions at a rain forest site in Amazonia. Atmos. Chem. Phys. 2018, 18, 10255–10274. [Google Scholar] [CrossRef]
- Saturno, J.; Holanda, B.A.; Pöhlker, C.; Ditas, F.; Wang, Q.; Moran-Zuloaga, D.; Brito, J.; Carbone, S.; Cheng, Y.; Chi, X.; Ditas, J. Hoffmann, T., Angelis, I. H. de, Könemann, T., Lavrič, J. V., Ma, N., Ming, J., Paulsen, H., Pöhlker, M. L., Rizzo, L. V., Schlag, P.; Su, H.; Walter, D.; Wolff, S.; Zhang, Y.; Artaxo, P.; Pöschl, U.; Andreae, M.O. Black and brown carbon over central Amazonia: long-term aerosol measurements at the ATTO site. Atmos. Chem. Phys. 2018, 18, 12817–12843. [Google Scholar] [CrossRef]
- Ponczek, M.; Franco, M.A.; Carbone, S.; Rizzo, L.V.; Santos, D.M.; Morais, F.G.; Duarte, A.; Barbosa, H.M.J.; Artaxo, P. Linking the chemical composition and optical properties of biomass burning aerosols in Amazonia. Environ. sci. Atmos. 2022, 2, 252–269. [Google Scholar] [CrossRef]
- Santos, A.C.A.; Finger, A. , Nogueira, J.D.S.; Curado, L.F.A.; Palácios, R.S.; Pereira, V.M.R. Analysis of the concentration and composition of aerosols from fires in the Mato grosso wetland. Quím. Nova, 2016, 39, 919–924. [Google Scholar] [CrossRef]
- Marengo, J.A.; Cunha, A.P.; Cuartas, L.A.; Leal, K.R.D.; Broedel, E.; Seluchi, M.E.; Michelin, C.M.; Baião, C.F.P.; Ângulo, E.C.; Almeida, E.K.; Kazmierczak, M.L.; Mateus, N.P.A.; Silva, R.C.; Bender, F. Extreme Drought in the Brazilian Pantanal in 2019–2020: Characterization, Causes, and Impacts. Front. Water, 2021, 3, 639204. [Google Scholar] [CrossRef]
- Palácios, R.; Romera, K.; Rizzo, L.; Cirino, G.; Adams, D.; Imbiriba, B.; Nassarden, D.; Rothmund, L.; Siqueira, A.; Basso, J.; Rodrigues, T.; Curado, L.; Weber, A.; Nogueira, J.; Morais, F.; Artaxo, P. Optical properties and spectral dependence of aerosol light absorption over the Brazilian Pantanal. Atmos. Pollut. Res. 2022, 13, 101413. [Google Scholar] [CrossRef]
- Libonati, R.; Geirinhas, J.L.; Silva, P.S.; Russo, A.; Rodrigues, J.A.; Belém, L.B.C.; Nogueira, J.; Roque, F.O.; DaCamara, C.C.; Nunes, A.M.B. Assessing the role of compound drought and heatwave events on unprecedented 2020 wildfires in the Pantanal. Environ. Res. Lett. 2022, 17, 015005. [Google Scholar] [CrossRef]
- Garcia, L.C.; Szabo, J.K.; Roque, F.O.; Pereira, A.M.M.; da Cunha, C.N.; Damasceno-Júnior, G.A.; Morato, R.G.; Tomas, W.M.; Libonati, R.; Ribeiro, D.B. Record-breaking wildfires in the world’s largest continuous tropical wetland: Integrative fire management is urgently needed for both biodiversity and humans. J. Environ. Manage, 2021, 293, 112870. [Google Scholar] [CrossRef] [PubMed]
- Kumar, S.; Getirana, A.; Libonati, R.; Hain, C.; Mahanama, S.; Andela, N. Changes in land use enhance the sensitivity of tropical ecosystems to fire-climate extremes. Sci. Rep. 2022, 12, 964. [Google Scholar] [CrossRef] [PubMed]
- Martins, P.I.; Belém, L.B.C.; Szabo, J.K.; Libonati, R.; Garcia, L.C. Prioritising areas for wildfire prevention and post-fire restoration in the Brazilian Pantanal. Ecol. Eng. 2022, 176, 106517. [Google Scholar] [CrossRef]
- Köppen, G.W.; Geiger, M.R. Handbuch Der Klimatologie; Berlin, 1936.
- Guimarães, D.P.; Landau, E.C.; Santos, M.C.B.; Mendes, S.H.G. da S. Caracterização de Chuvas Do Pantanal Mato-Grossense; 2018.
- Vieira, E.V.R.; do Rosario, N.E.; Yamasoe, M.A.; Morais, F.G.; Martinez, P.J.P.; Landulfo, E.; Maura de Miranda, R. Chemical Characterization and Optical Properties of the Aerosol in São Paulo, Brazil. Atmosphere, 2023, 14, 1460. [Google Scholar] [CrossRef]
- Artaxo, P.; Martins, J.V.; Yamasoe, M.A.; Procópio, A.S.; Pauliquevis, T.M.; Andreae, M.O.; Guyon, P.; Gatti, L. V.; Leal, A.M.C. Physical and Chemical Properties of Aerosols in the Wet and Dry Seasons in Rondônia, Amazonia. J. Geo.Res.: Atmospheres, 2002, 107, LBA–49. [Google Scholar] [CrossRef]
- Maenhaut, W.; Raes, N.; Chi, X.; Cafmeyer, J.; Wang, W.; Salma, I. Chemical Composition and Mass Closure for Fine and Coarse Aerosols at a Kerbside in Budapest, Hungary, in Spring 2002. X-Ray Spectrometry, 2005, 34, 290–296. [Google Scholar] [CrossRef]
- Curado, L.F.A.; de Paulo, S.R.; da Silva, H.J.A.; Palácios, R.; Marques, J.B.; de Paulo, I.J.C.; Dalmagro, H.J.; Rodrigues, T.R. Effect of biomass burning emission on carbon assimilation over Brazilian Pantanal. Theor Appl Climatol, 2024, 155, 999–1006. [Google Scholar] [CrossRef]
- Holben, B.N.; Eck, T.F.; Slutsker, I.; Tanré, D.; Buis, J.P.; Setzer, A.; Vermote, E.; Reagan, J.A.; Kaufman, Y.J.; Nakajima, T.; Lavenu, F.; Jankowiak, I.; Smirnov, A. AERONET – a federated instrument network and data archive for aerossol characterization. Remote Sens. Environ. 1998, 66, 1–16. [Google Scholar] [CrossRef]
- Santanna, F.B.; Almeida Filho, E.O.; Vourlitis, G.L.; Arruda, P.H.Z.; Palácios, R.S.; Nogueira, J.S. Elemental composition of PM10 and PM2.5 for a Savanna (Cerrado) region of Southern Amazonia. Quim. Nova, 2016, 39, 1170–1176. [Google Scholar] [CrossRef]
- Duce, R.; Hoffman, G.L.; Zoller, W. Atmospheric Trace Metals at Remote Northern and Southern Hemisphere Sites: Pollution or Natural? Science. [CrossRef]
- Zoller, W.H.; Gladney, E.S.; Duce, R.A. Atmospheric Concentrations and Sources of Trace Metals at the South Pole. Science. [CrossRef]
- Marcazzan, G. M.; Vaccaro, S.; Valli, G.; Vecchi, R. Characterisation of PM10 and PM2.5 particulate matter in the ambient air of Milan (Italy). Atmos. Environ. 2001, 35, 4639. [Google Scholar] [CrossRef]
- Braga, C.F.; Teixeira, E.C.; Meira, L. , Wiegand F.; Yoneama M.L.; Dias J.F. Elemental composition of PM10 and PM2.5 in urban environment in South Brazil. Atmos. Environ. 2005, 39, 1801–1815. [Google Scholar] [CrossRef]
- Palácios, R.S.; Romera, K.S.; Curado, L.F.A.; Banga, N.M.; Rothmund, L.D.; Sallo, F.d.S.; Morais, D.; Santos, A.C.A.; Moraes, T.J.; Morais, F.G.; Landulfo, E.; Franco, M.A.M.; Kuhnen, I.A.; Marques, J.B.; Nogueira, J.S.; Júnior, L.C.G.d.V.; Rodrigues, T.R. Long Term Analysis of Optical and Radiative Properties of Aerosols in the Amazon Basin. Aerosol Air Qual. Res. 2020, 20, 139–154. [Google Scholar] [CrossRef]
- Artaxo, P.; Rizzo, L.V.; Brito, J.F.; Barbosa, H.M.J.; Arana, A.; Sena, E.T.; Cirino, G.G.; Bastos, W.; Martin, S.T.; Andreae, M.O. Atmospheric aerosols in Amazonia and land use change: from natural biogenic to biomass burning conditions. Faraday Discuss. 2013, 165, 203–235. [Google Scholar] [CrossRef] [PubMed]
- Palácios, R.; Castagna, D.; Barbosa, L.; Souza, A.P.; Imbiriba, B.; Zolin, C.A.; Nassarden, D.; Duarte, L.; Morais, F.G.; Franco, M.A.; Cirino, G.; Kuhn, P.; Sodré, G.; Curado, L.; Basso, J.; de Paulo, S.R.; Rodrigues, T. ENSO effects on the relationship between aerosols and evapotranspiration in the south of the Amazon biome, Environ. Res. 2024, 250, 118516. [Google Scholar] [CrossRef]
- Caumo, S.; Lázaro, W.L.; Sobreira Oliveira, E.; Beringui, K.; Gioda, A.; Massone, C.G.; Carreira, R.; de Freitas, D.S.; Ignacio, A.R.A.; Hacon, S. Human Risk Assessment of Ash Soil after 2020 Wildfires in Pantanal Biome (Brazil). Air Qual Atmos Health, 2022, 15, 2239–2254. [Google Scholar] [CrossRef]
- Andreae, M.A. Soot Carbon and Excess Fine Potassium: Long-Range Transport of Combustion-Derived Aerosols. Science, 1148. [Google Scholar] [CrossRef]
- Urban, R.C.; Lima-Souza, M.; Caetano-Silva, L.; Queiroz, M.E.C.; Nogueira, R.F.P.; Allen, A.G.; Cardoso, A.A.; Held, G.; Campos, M.L.A.M. Use of levoglucosan, potassium, and water-soluble organic carbon to characterize the origins of biomass-burning aerosols, Atmos. Environ. 2012, 61, 562–569. [Google Scholar] [CrossRef]
- Garba, S.T.; Abubakar, M.A. Source and Distribution of The Heavy Metals: Pb, Cd, Cu, Zn, Fe, Cr, and Mn in Soils of Bauchi Metropolis, Nigeria. A. Journal of Eng. Res. 2018, 7, 13–22. [Google Scholar]
- Holanda, B.A.; Pöhlker, M.L.; Walter, D.; Saturno, J.; Sörgel, M.; Ditas, J.; Ditas, F.; Schulz, C.; Aurélio Franco, M.; Wang, Q.; et al. Influx of African Biomass Burning Aerosol during the Amazonian Dry Season through Layered Transatlantic Transport of Black Carbon-Rich Smoke. Atmos. Chem. Phys. 2020, 20, 4757–4785. [Google Scholar] [CrossRef]
- Morais, F.G. Estudo Das Propriedades de Absorção de Brown Carbon e Black Carbon Utilizando Sensoriamento Remoto e Medidas in Situ Na Amazônia, Instituto de Pesquisas Energéticas e Nucleares, 2022.
- Artaxo, P.; Fernandes, E.T.; Martins, J.V.; Yamasoe, M.A.; Hobbs, P.V.; Maenhaut, W.; Longo, K.M.; Castanho, A. Large-scale aerosol source apportionment in Amazonia, J. Geophys. Res. Atmos. 1998, 103, 31837–31847. [Google Scholar] [CrossRef]
- Reid, J.S.; Hobbs, P.V.; Ferek, R.J.; Blake, D.R.; Martins, J.V.; Dunlap, M.R.; Liousse, C. Physical, chemical, and optical properties of regional hazes dominated by smoke in Brazil, J. Geophys. Res. Atmos. 1998, 103, 32059–32080. [Google Scholar] [CrossRef]







| Fine particulate matter BAPP Pantanal (Dry season) | ||||
|---|---|---|---|---|
| Mean | σ | Min | Max | |
| PM | 36.62 | 31.69 | 7.02 | 83.66 |
| BC | 1.83 | 1.65 | 0.37 | 3.72 |
| Na | 94.05 | 95.33 | 19.68 | 279.87 |
| Mg | 28.12 | 27.45 | 0.86 | 81.81 |
| Al | 167.60 | 113.47 | 53.82 | 377.72 |
| Si | 243.52 | 181.99 | 71.59 | 500.15 |
| P | 33.54 | 38.88 | 5.74 | 98.82 |
| S | 688.32 | 627.43 | 200.90 | 1693.09 |
| Cl | 2.19 | 3.13 | 0.05 | 8.55 |
| K | 582.71 | 524.06 | 106.69 | 1392.17 |
| Ca | 49.07 | 45.44 | 11.56 | 132.15 |
| Ti | 18.93 | 21.01 | 0.02 | 53.30 |
| Cr | 2.05 | 1.71 | 0.42 | 4.62 |
| Mn | 3.86 | 3.30 | 0.74 | 8.65 |
| Fe | 238.28 | 172.63 | 56.47 | 582.40 |
| Ni | 0.53 | 0.49 | 0.11 | 1.45 |
| Cu | 2.65 | 3.15 | 0.69 | 9.16 |
| Zn | 7.66 | 7.22 | 1.33 | 22.49 |
| As | 0.14 | 0.10 | 0.01 | 0.31 |
| Se | 0.12 | 0.16 | 0.00 | 0.45 |
| Br | 8.62 | 7.47 | 2.36 | 18.84 |
| Rb | 0.98 | 0.80 | 0.20 | 2.53 |
| Sr | 2.27 | 3.96 | 0.00 | 11.00 |
| Cd | 8.56 | 8.48 | 0.85 | 22.37 |
| Sb | 5.47 | 4.55 | 1.78 | 13.39 |
| Pb | 4.28 | 9.16 | 0.08 | 24.93 |
| PM2.5 | BC | Local | Period | Reference |
|---|---|---|---|---|
| 3.40±2.00 | 0.23±0.15 | ZF2 Amazon Forest | 2008-2012 | Artaxo et al. [40] |
| 33.00±36.00 | 2.80±2.92 | PVH Amazon deforested | 2009-2012 | Artaxo et al. [40] |
| 1.65±0.92 | 0.09±0.06 | ZF2 Amazon Forest | 2008 | Arana and Artaxo [15] |
| 7.60±3.70 | 1.20±0.80 | Cuiabá | 2004 | Santanna et al. [34] |
| 26.72±14.20 | 2.27±1.30 | São Paulo | 2019 | Vieira et al. [29] |
| 8.66±3.14 | 0.76±0.42 | Pantanal | 2012 | Santos et al. [20] |
| -- | 0.75±0.83 | Pantanal | 2017-2019 | Palácios et al. [22] |
| 36.62±31.69 | 1.83±1.65 | Pantanal | 2022 | This work |
Disclaimer/Publisher’s Note: The statements, opinions and data contained in all publications are solely those of the individual author(s) and contributor(s) and not of MDPI and/or the editor(s). MDPI and/or the editor(s) disclaim responsibility for any injury to people or property resulting from any ideas, methods, instructions or products referred to in the content. |
© 2024 by the authors. Licensee MDPI, Basel, Switzerland. This article is an open access article distributed under the terms and conditions of the Creative Commons Attribution (CC BY) license (http://creativecommons.org/licenses/by/4.0/).
