Submitted:
22 April 2024
Posted:
23 April 2024
You are already at the latest version
Abstract
Keywords:
1. Introduction
2. Model and Methods
2.1. Dirac Equation for the Disk Geometry
2.2. Analytic Solutions
2.3. Mode-Matching Method
2.4. Landauer-Büttiker Formalism
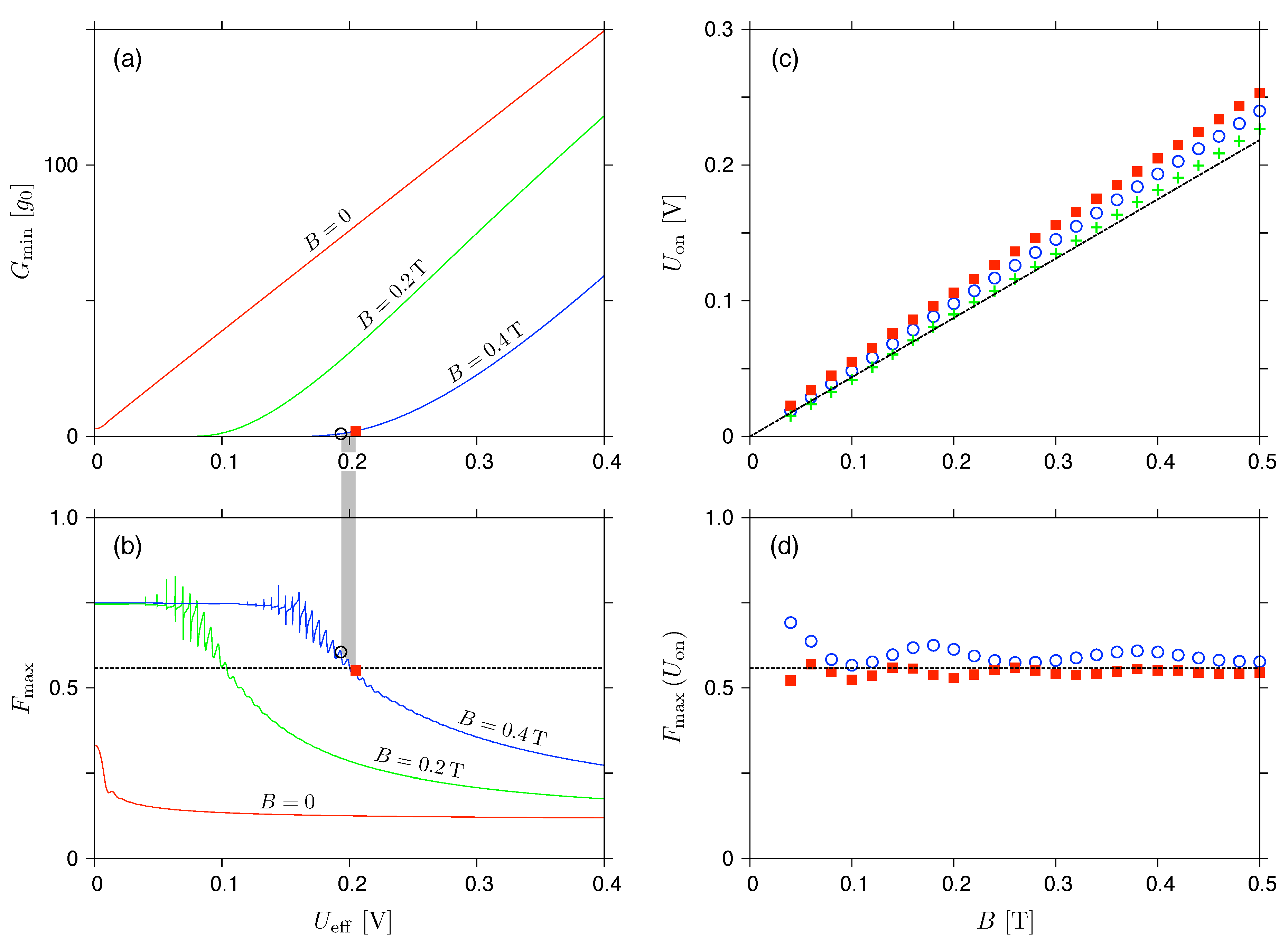
3. Approximate Conductance and Fano Factor at the Magnetic Field
3.1. Corbino Disk in Graphene as a Double Barrier
3.2. The Zero-Field Limit
3.3. The Zero-Conductance Limit
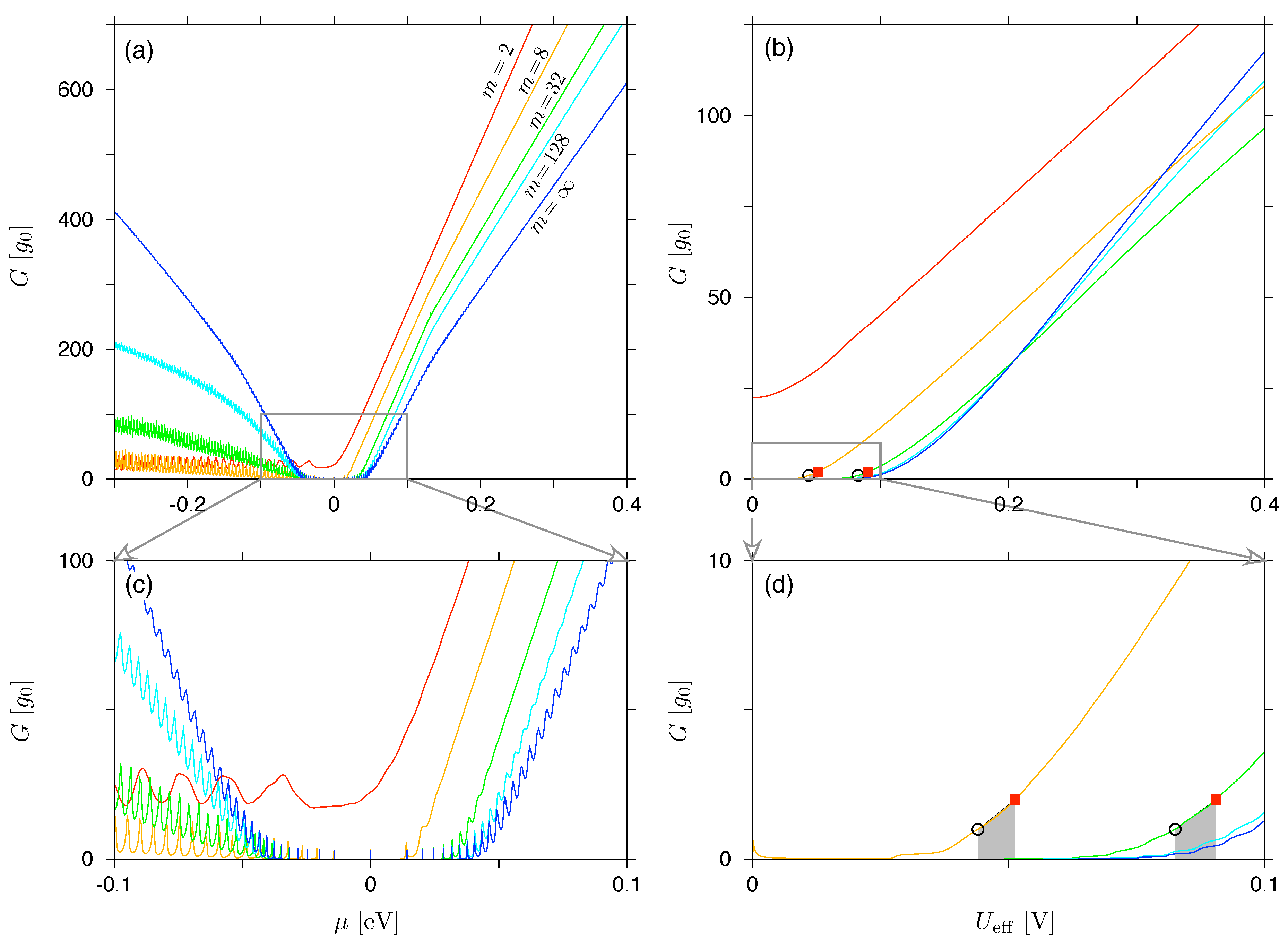
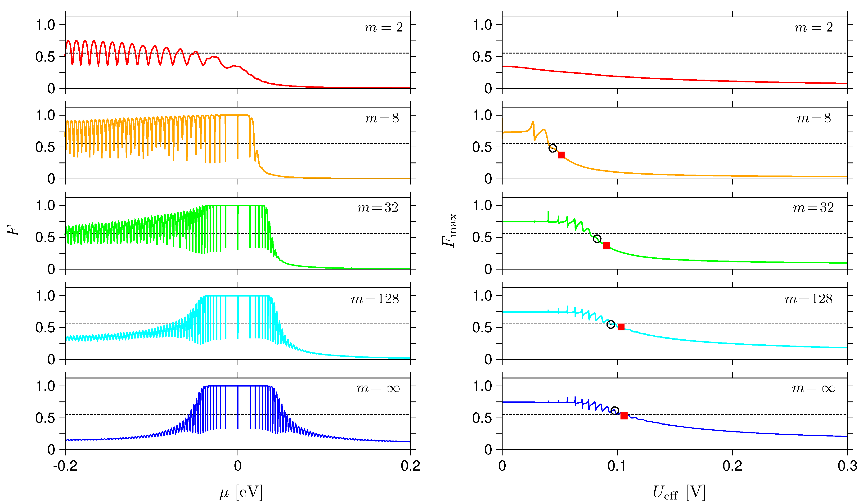
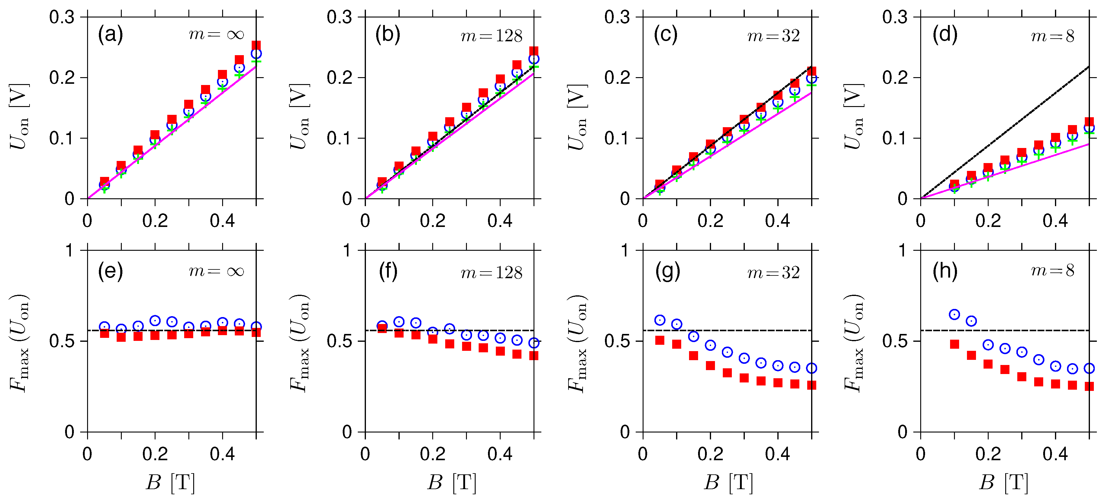
4. Results and Discussion
4.1. The Rectangular Barrier of an Infinite Height
4.2. Smooth Potential Barriers
5. Conclusions
Author Contributions
Acknowledgments
Appendix A. Numerical Mode Matching for Smooth Potentials
References
- Datta, S. Quantum Transport: Atom to Transistor, Cambridge University Press: Cambridge, UK, 2005.
- Kittel, C. Introduction to Solid State Physics, 8th ed. John Willey and Sons: New York, NY, USA, 2005.
- Deaver, Jr., B.S.; Fairbank, W.M. Experimental Evidence for Quantized Flux in Superconducting Cylinders. Phys. Rev. Lett. 1961, 7, 43. [CrossRef]
- Doll, R.; Näbauer, M. Experimental Proof of Magnetic Flux Quantization in a Superconducting Ring. Phys. Rev. Lett. 1961, 7, 51. [CrossRef]
- Josephson, B.D. The discovery of tunneling supercurrents. Rev. Mod. Phys. 1974, 46, 251. [CrossRef]
- Imry, Y. Introduction to Mesoscopic Physics, 2nd ed. Oxford University Press: Oxford, UK, 2002; Chapter 5.
- Ando, T.; Matsumoto, Y.; Uemura, Y. Theory of Hall Effect in a Two-Dimensional Electron System. J. Phys. Soc. Jpn. 1975, 39, 279. [CrossRef]
- v. Klitzing, K,; Dorda, G.; Pepper, M. New Method for High-Accuracy Determination of the Fine-Structure Constant Based on Quantized Hall Resistance. Phys. Rev. Lett. 1980, 45, 494. [CrossRef]
- Laughlin, R.B. Quantized Hall conductivity in two dimensions. Phys. Rev. B 1981, 23, 5632(R). [CrossRef]
- Tsui, D.C.; Stormer, H.L.; Gossard, A.C. Two-Dimensional Magnetotransport in the Extreme Quantum Limit. Phys. Rev. Lett. 1982, 48, 1559. [CrossRef]
- Novoselov, K.S.; Geim, A.K.; Morozov, S.V.; Jiang, D.; Katsnelson, M.I.; Grigorieva, I.V.; Dubonos, S.V.; Firsov, A.A. Two-dimensional gas of massless Dirac fermions in graphene. Nature 2005, 438, 197. [CrossRef]
- Zhang, Y.; Tan, Y.-W.; Stormer, H.L.; Kim, P. Experimental observation of the quantum Hall effect and Berry’s phase in graphene. Nature 2005, 438, 201.
- van Wees, B.J.; van Houten, H.; Beenakker, C.W.J.; Williamson, J.G.; Kouwenhoven, L.P.; van der Marel, D.; Foxon, C.T. Quantized conductance of point contacts in a two-dimensional electron gas. Phys. Rev. Lett. 1988, 60, 848. [CrossRef]
- Webb, R.A.; Washburn, S.; Umbach, C.P.; Laibowitz, R.B. Observation of h/e Aharonov-Bohm Oscillations in Normal-Metal Rings. Phys. Rev. Lett. 1985, 54, 2696. [CrossRef]
- Lee, P.A.; Stone, A.D. Universal Conductance Fluctuations in Metals. Phys. Rev. Lett. 1985, 55, 1622. [CrossRef]
- Altshuler, B.L.; Shklovskii, B.I. Repulsion of energy levels and conductivity of small metal samples. Zh. Eksp. Teor. Fiz. 91, 220 1986 [Sov. Phys. – JETP 1986, 64, 127].
- Pal, A.N.; Kochat, V.; Ghosh, A. Direct Observation of Valley Hybridization and Universal Symmetry of Graphene with Mesoscopic Conductance Fluctuations. Phys. Rev. Lett. 2012, 109, 196601. [CrossRef]
- Hu, Y.; Liu, H.; Jiang, H.; Xie, X.C. Numerical study of universal conductance fluctuations in three-dimensional topological semimetals. Phys. Rev. B 2017, 96, 134201. [CrossRef]
- Sharapov, S.G.; Gusynin, V.P.; Beck, H. Transport properties in the d-density-wave state in an external magnetic field: The Wiedemann-Franz law. Phys. Rev. B 2003, 67, 144509. [CrossRef]
- Mahajan, R.; Barkeshli, M.; Hartnoll, S.A. Non-Fermi liquids and the Wiedemann-Franz law. Phys. Rev. B 2013, 88, 125107. [CrossRef]
- Yoshino, H.; Murata, K. Significant Enhancement of Electronic Thermal Conductivity of Two-Dimensional Zero-Gap Systems by Bipolar-Diffusion Effect. J. Phys. Soc. Jpn. 2015, 84, 024601. [CrossRef]
- Crossno, J.; Shi, J.K.; Wang, K.; Liu, X.; Harzheim, A.; Lucas, A.; Sachdev, S.; Kim, P.; Taniguchi, T.; Watanabe, K.; Ohki, T.A.; Fong, K.C. Observation of the Dirac fluid and the breakdown of the Wiedemann-Franz law in graphene. Science 2016, 351, 1058. [CrossRef]
- Rycerz, A. Wiedemann–Franz Law for Massless Dirac Fermions with Implications for Graphene. Materials 2021, 14, 2704. [CrossRef]
- Tu, Y.-T.; Das Sarma, S. Wiedemann-Franz law in graphene. Phys. Rev. B 2023, 107, 085401. [CrossRef]
- Katsnelson, M.I. The Physics of Graphene, 2nd ed.; Cambridge University Press: Cambridge, UK, 2020; Chapter 3. [CrossRef]
- Katsnelson, M.I.; Novoselov, K.S.; Geim, A.K. Chiral tunnelling and the Klein paradox in graphene. Nature Phys. 2006, 2, 620. [CrossRef]
- Tworzydło, J.; Trauzettel, B.; Titov, M.; Rycerz, A.; Beenakker, C.W.J. Sub-Poissonian shot noise in graphene. Phys. Rev. Lett. 2006, 96, 246802. [CrossRef]
- Miao, F.; Wijeratne, S.; Zhang, Y.; Coskun, U.; Bao, W.; Lau, C.N. Phase-Coherent Transport in Graphene Quantum Billiards. Science 2007, 317, 5844. [CrossRef]
- Sonin, E.B. Charge transport and shot noise in ballistic graphene sheet. Phys. Rev. B 2008, 77, 233408. [CrossRef]
- Danneau, R.; Wu, F.; Craciun, M.F.; Russo, S.; Tomi, M.Y.; Salmilehto, J.; Morpurgo, A.F.; Hakonen, P.J. Shot Noise in Ballistic Graphene. Phys. Rev. Lett. 2008, 100, 196802. [CrossRef]
- Laitinen, A.; Paraoanu, G.S.; Oksanen, M.; Craciun, M.F.; Russo, S.; Sonin, E.; Hakonen, P. Contact doping, Klein tunneling, and asymmetry of shot noise in suspended graphene. Phys. Rev. B 2016, 93, 115413. [CrossRef]
- Nair, R.R.; Blake, P.; Grigorenko, A.N.; Novoselov, K.S.; Booth, T.J.; Stauber, T.; Peres, N.M.R.; Geim, A.K. Fine Structure Constant Defines Visual Transparency of Graphene. Science 2008, 320, 1308. [CrossRef]
- Skulason, H.S.; Gaskell, P.E.; Szkopek, T. Optical reflection and transmission properties of exfoliated graphite from a graphene monolayer to several hundred graphene layers. Nanotechnology 2010, 21, 295709. [CrossRef]
- Merthe, D.J.; Kresin, V.V. Transparency of graphene and other direct-gap two-dimensional materials. Phys. Rev. B 2016, 94, 205439. [CrossRef]
- Rycerz, A; Witkowski, P. Sub-Sharvin conductance and enhanced shot noise in doped graphene. Phys. Rev. B 2021, 104, 165413.
- Rycerz, A; Witkowski, P. Theory of sub-Sharvin charge transport in graphene disks. Phys. Rev. B 2022, 106, 155428.
- Sharvin, Yu.V. A possible method for studying Fermi surfaces. Zh. Eksp. Teor. Fiz. 1965, 48, 984 [Sov. Phys. JETP 1965, 21, 655].
- Beenakker, C.W.J.; van Houten, H. Quantum transport in semiconductor nanostructures. Solid State Phys. 1991, 44, 1.
- Wang, C.R.; Lu, W.-S.; Hao, L.; Lee, W.-L.; Lee, T.-K.; Lin, F.; Cheng, I-C.; Chen, J.-Z. Enhanced thermoelectric power in dual-gated bilayer graphene. Phys. Rev. Lett. 2011, 107, 186602. [PubMed]
- Suszalski, D.; Rut, G.; Rycerz, A. Lifshitz transition and thermoelectric properties of bilayer graphene. Phys. Rev. B 2018, 97, 125403. [CrossRef]
- Suszalski, D.; Rut, G.; Rycerz, A. Thermoelectric properties of gapped bilayer graphene. J. Phys.: Condens. Matter 2019, 31, 415501. [CrossRef]
- Zong, P.; Liang, J.; Zhang, P.; Wan, C.; Wang, Y.; Koumoto, K.; Graphene-Based Thermoelectrics. ACS Appl. Energy Mater. 2020, 3, 2224. [CrossRef]
- Jayaraman, A.; Hsieh, K.; Ghawri, B.; Mahapatra, P.S.; Watanabe, K.; Taniguchi, T.; Ghosh, A. Evidence of Lifshitz Transition in the Thermoelectric Power of Ultrahigh-Mobility Bilayer Graphene. Nano Lett. 2021, 21, 1221. [CrossRef]
- Rycerz, A.; Recher, P.; Wimmer, M. Conformal mapping and shot noise in graphene. Phys. Rev. B 2009, 80, 125417. [CrossRef]
- Rycerz, A. Magnetoconductance of the Corbino disk in graphene. Phys. Rev. B 2010, 81, 121404(R). [CrossRef]
- Peters, E.C.; Giesbers, A.J.M.; Burghard, M.; Kern, K. Scaling in the quantum Hall regime of graphene Corbino devices, Appl. Phys. Lett. 2014, 104, 203109.
- Abdollahipour, B.; Moomivand, E. Magnetopumping current in graphene Corbino pump. Physica E 2017, 86, 204. [CrossRef]
- Zeng, Y.; Li, J.I.A.; Dietrich, S.A.; Ghosh, O.M.; Watanabe, K.; Taniguchi, T.; Hone, J.; Dean, C.R. High-Quality Magnetotransport in Graphene Using the Edge-Free Corbino Geometry, Phys. Rev. Lett. 2019, 122, 137701. [CrossRef]
- Suszalski, D.; Rut, G.; Rycerz, A. Mesoscopic valley filter in graphene Corbino disk containing a p-n junction. J. Phys. Mater. 2020, 3, 015006. [CrossRef]
- Kamada, M.; Gall, V.; Sarkar, J.; Kumar, M.; Laitinen, A.; Gornyi, I.; Hakonen, P. Strong magnetoresistance in a graphene Corbino disk at low magnetic fields. Phys. Rev. B 2021, 104, 115432. [CrossRef]
- Rycerz, A.; Suszalski, D. Graphene disk in a solenoid magnetic potential: Aharonov-Bohm effect without a two-slit-like setup. Phys. Rev. B 2020, 101, 245429. [CrossRef]
- Bouhlal, A.; Jellal, A.; Mansouri, M. Quantum tunneling in graphene Corbino disk in a solenoid magnetic potential with wedge disclination. Physica B 2022, 639, 413904. [CrossRef]
- Kumar, C.; Birkbeck, J.; Sulpizio, J.A.; Perello, D.; Taniguchi, T.; Watanabe, K.; Reuven, O.; Scaffidi, T.; Stern, A.; Geim, A.K.; Ilani, S. Imaging Hydrodynamic Electrons Flowing Without Landauer-Sharvin Resistance. Nature 2022, 609, 276. [CrossRef]
- Rycerz, A.; Rycerz, K.; Witkowski, P. Thermoelectric Properties of the Corbino Disk in Graphene. Materials 2023, 16, 4250. [CrossRef]
- For the forthcoming numerical calculations, we set (in the physical units) ℏ vF=0.575214eV·nm, and e/(πℏ)=2067.83T-1·nm-2.
- Recher, P.; Nilsson, J.; Burkard, G.; Trauzettel, B. Bound states and magnetic field induced valley splitting in gate-tunable graphene quantum dots. Phys. Rev. B 2009, 79, 085407. [CrossRef]
- Abramowitz, M.; Stegun, I.A. (eds.), Handbook of Mathematical Functions; Dover Publications, Inc.: New York, 1965; Chapter 13.
- An important step in the derivation of Eq. (uid15) is the recognition of the Wronskian of Hankel functions, cf. Ref. [57]; Chapter 9, Eq. 9.1.17.
- Nazarov, Yu.V.; Blanter, Ya.M. Quantum Transport: Introduction to Nanoscience; Cambridge University Press: Cambridge, UK, 2009; Chapter 1.
- Katsnelson, M.I. Aharonov-Bohm effect in undoped graphene: Magnetotransport via evanescent waves. Europhys. Lett. 2010, 89, 17001. [CrossRef]
- Rycerz, A. Aharonov-Bohm and Relativistic Corbino Effects in Graphene: A Comparative Study of Two Quantum Interference Phenomena. Acta Phys. Polon. A 2012, 121, 1242. [CrossRef]
- Datta, S. Electronic Transport in Mesoscopic Systems; Cambridge University Press: Cambridge, UK, 1997; Chap. 3, p. 129. [CrossRef]
- We use the identityand first derivative of the above over a; see also Gradshteyn, I.S.; Ryzhik, I.M. Table of Integrals, Series, and Products, Seventh Edition; Academic Press: New York, 2007; Eq. 2.553.3.
- Giovannetti, G.; Khomyakov, P.A.; Brocks, G.; Karpan, V.M.; van den Brink, J.; Kelly, P.J. Doping Graphene with Metal Contacts. Phys. Rev. Lett. 2008, 101, 026803. [CrossRef]
- Cusati, T.; Fiori, G.; Gahoi, A.; Passi, V.; Lemme, M.C.; Fortunelli, A.; Iannaccone, G. Electrical properties of graphene-metal contacts. Sci. Rep. 2017, 7, 5109. [CrossRef]
- Paraoanu, G.S. Klein tunneling through the trapezoidal potential barrier in graphene: conductance and shot noise. New J. Phys. 2021, 23, 043027. [CrossRef]
- Anderson, E.; Bai, Z.; Bischof, C.; Blackford, S.; Demmel, J.; Dongarra, J.; et al. LAPACK Users’ Guide, 3rd ed.; Society for Industrial and Applied Mathematics: Philadelphia, USA, 1999.







Disclaimer/Publisher’s Note: The statements, opinions and data contained in all publications are solely those of the individual author(s) and contributor(s) and not of MDPI and/or the editor(s). MDPI and/or the editor(s) disclaim responsibility for any injury to people or property resulting from any ideas, methods, instructions or products referred to in the content. |
© 2024 by the authors. Licensee MDPI, Basel, Switzerland. This article is an open access article distributed under the terms and conditions of the Creative Commons Attribution (CC BY) license (http://creativecommons.org/licenses/by/4.0/).

