1. Introduction
General Relativity (GR) is a pearl of science found on simple intuitive principles by Einstein and graceful, economic mathematics by Hilbert. Its classically complete and clean structure only permits a free constant, the Cosmological Constant (CC)[
1]. The non-relativistic limit follows as Newtonian Gravity. It came as a surprise (not chronologically) observations of the “Pioneer Anomaly”[
2] and the distribution of galactic rotation curves. The former has been explained by radiation pressure from a heat source on the Pioneer craft [
3] and dispensed with the need for some Modified Newtonian Dynamics (MOND)[
4] at the outer planetary system scale. It would have beggared belief - ad-hoc empirical corrections to well-founded laws based on good mathematical principles.
Similarly, though at the outer galactic scale, rather large and obvious discrepancies have been observed in the distribution of velocities in galactic rotation curves, the so-called Fisher-Tulley Law [
5,
6].
Figure 1 (from [
5]) shows a typical velocity distribution curve for a galaxy, in this case, M33 (“Triangulum Galaxy”, some 30 Klyr in radius). There seems to be a perhaps linear increase after 10 kilo-light years or perhaps some other power law. A simple consideration with the mass of the galaxy concentrated at the centre and the centripetal force would arrive at

even if we had a somewhat centrally distributed mass in the galaxy (the initial slow rise of the graph). Use of Gauss’ Law and a uniform, spherical distribution of matter would give

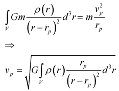
. A general distribution of matter (for non-relativistic considerations: Newtonian Gravity (NG), which is mostly the case) would involve this integral:
If the motion around the mass distribution is assumed circular, where r
p and v
p concern the position and velocity of the point in question. This has been done for various distributions of

: mass dust, gas, stars, etc. but to obtain the Fisher-Tulley Law, additional “dark matter” is speculated as an extra gravitating source, other than matter already accounted for. This matter is most peculiar and only acts via the gravitational force. Some have postulated that dark matter may be primordial black holes[
7]. Further speculation exists as to whether it is cold or hot and its distribution is expected to be a halo around galaxies out to several galactic radii.
Other researchers have gilded the lily of the mathematical structures of Newtonian Gravity and General Relativity[
4,
8] (and more, a detailed literature review is needed). These typically have been found wanting for the following reasons: non-local; inconsistency with known results, such as star formation theory; observations of colliding galaxies proving incompatible with such theories[
9].
Yet another researcher has tried to add some underpinning to MOND by “quantising inertia”[
10], positing that some minimum possible acceleration is responsible for the effects. McCulloch believes that accelerating bodies experience two horizons: aft being a Rindler Horizon[
1] and fore, the Cosmological Horizon[
1], with the intention of modelling a Casmir Cavity, such that inertia is described by radiation pressure.
The current author is not aware how this would create a minimum acceleration figure but believes the idea is flawed, in the first instance, by equating the Unruh temperature, the intensity of the radiation by the Stefan-Boltzmann Law and the radiation pressure from the said intensity of radiation – it cannot explain inertia. It is miniscule and should have been picked up sooner by peer review
1(DARPA grant indeed[
11]). (Worth mentioning too is that purported propulsion device developed by Mulloch[
12], from these ideas, falls foul of hidden momentum considerations[
13,
14], for the quantised inertia ideas are surely wrong.) No further mention of this hypothesis is needed.
Our contribution is to aim for purity and parsimony by respecting the mathematical and physical structure of GR, whilst looking at the Cosmological Constant.
2. Is There Truly a Need for Dark Matter?
The author’s earlier paper[
15] on fitting and matching the “zeropoint energy” of quantum field theory (QFT) to the Cosmological Constant, achieved the gulf of 120 orders of magnitude in a final audacious step of postulating that it was 9 orders of magnitude higher than calculated by QFT. This allowed it to fit into a Taylor expansion of the Einstein Field Equation at second order in frequency, recognising that, technically, zeropoint energy is a fluctuation. The paper in question asked if there was interaction energy between the modes and performed a semi-classical calculation that gave a ball-park figure. This seems well-founded, though a more detailed QFT calculation is required as further work, for the creation of e
-e
+ pairs (etc.) present in the electrical fields of the other field modes.
Similarly in this paper we will now ask if a shift upwards of the zeropoint level is possible in and around galaxies. GR measures or “responds” to absolute energy, whilst the rest of physics deals with differences in energy levels. We will postulate, without much detail at present and back of the envelope calculations, whether the astronomical vacuum energy (derivable from observations of the Hubble Constant) of some 5.4x10-10 J/m3 might increase by a few orders of magnitude, in the said spatial environment and whether this energy over a few galactic radii provides the mass attributed to Dark Matter.
A few factors help with a rough calculation: A typical galaxy like the Milky Way hold some 10
11 stars, of which the sun is fairly typical at some 2x10
30 kg mass. The galactic radius is some 100,000 lyr (9.5x10
20 m) and the dark matter halo is meant to be three radii in diameter and 90% the mass of the galaxy itself. A figure for the mass we can see would be about 2x10
41 kg and the dark matter halo, assuming a spherical distribution, would be The energy density of space, as inferred from astronomical measurements is around 5.4x10
-10 J/m
3 and an increase in this by a factor of 1000 or so by the postulated interactions[
15] or interaction with the starlight from the galaxy (a function of the mass of the galaxy) or even interaction with gravitons (a long range force like electromagnetism) would account for this but take further work to justify.
However the mathematical structure of general relativity is preserved and the machinery to affect the Fisher-Tulley Law is placed in the free constant, the Cosmological “constant”. Metrics of the galaxy, considered as a Schwarzschild metric and a FLRW metric[
1] shows that the non-g
00 components of the former “swamp” the latter, such that near or within the galaxy, only matter, EM radiation and the energy density of some modifiedgravitate, with no expansion of space. The situation is akin to what is shown in
Figure 2.
You may observe a slight puckering near the stickers and a “ballooning”/bulging effect away from them. The stickers are less elastic than the balloon material and this is a good analogue to space not expanding as much within galaxies (due to gravitating sources overcoming the tendency for space to expand by Dark Energy) but expanding outside galaxies or galactic clusters.
3. Conclusions
Our understanding of gravity is based on Newtonian Gravity and General Relativity. Explaining the Fisher-Tully Law requires these alternatives:
▪ Modify GR/NG and lose the mathematical structure of GR/NG
▪ Add elusive dark matter and hunt for that
▪ Modify the Cosmological “Constant” to vary with position/time and preserve the mathematical structure of GR/NG
Dark matter is still speculation, not known nor measured directly. This paper posits an hypothesis with a shift in vacuum energy level of dark energy, with no mechanism at present (save the author’s earlier suggestion in a previous paper[
15], which would need to be extended for the hypothesis that something from the galaxy (the intensity of its starlight or gravity) changes it. Perhaps this is not so wild and is an early foray to the merging of General Relativity and Quantum Field Theory against experimental observation.
References
- Misner, C. , Thorne, K., Wheeler, J., Gravitation. 21st ed. 1998: W. H. Freeman and Co.
- Rathke, A. , Izzo, D., "Options for a non-dedicated test of the Pioneer Anomaly". Journal of Spacecrafts and Rockets, 2006. 43(4): p. 806-821. [CrossRef]
- Editorial, "...and farewell to the Pioneer anomaly". Nature Physics, 2012. 8(9): p. 635-635.
- Milgrom, M. A modification of the Newtonian dynamics as a possible alternative to the hidden mass hypothesis. Astrophys. J. 1983, 270, 365–370. [Google Scholar] [CrossRef]
- Tully, R. "Tully-Fisher relation". 2007; Available from: http://www.scholarpedia.org/article/Tully-Fisher_relation.
- Corbelli, E.; Salucci, P. The extended rotation curve and the dark matter halo of M33. Mon. Not. R. Astron. Soc. 2000, 311, 441–447. [Google Scholar] [CrossRef]
- Carr, B.; Clesse, S.; García-Bellido, J.; Hawkins, M.; Kühnel, F. Observational evidence for primordial black holes: A positivist perspective. Phys. Rep. 2024, 1054, 1–68. [Google Scholar] [CrossRef]
- Moffat, J.W. , "Scalar–Tensor–Vector Gravity Theory". Journal of Cosmology and Astroparticle Physics, 2006. 3. [CrossRef]
- Clowe, D.; Bradač, M.; Gonzalez, A.H.; Markevitch, M.; Randall, S.W.; Jones, C.; Zaritsky, D. A Direct Empirical Proof of the Existence of Dark Matter. Astrophys. J. 2006, 648, L109–L113. [Google Scholar] [CrossRef]
- McCulloch, M.E. Galaxy rotations from quantised inertia and visible matter only. Astrophys. Space Sci. 2017, 362. [Google Scholar] [CrossRef]
- Williams, A. , "Scientists receive $1.3 million DARPA grant to study new propulsion idea for spacecraft", in University of Plymouth press release 2018.
- McCulloch, M.E. , "Propellant-less Propulsion from Quantized Inertia". Journal of Space Exploration, 2018. 7(3).
- Cornwall, R.O. , "A Mechanism for Propulsion without the Reactive Ejection of Matter or Energy". Preprints, 2019 https://www.academia.edu/38062548/A_Mechanism_for_Propulsion_without_The_Reactive_Ejection_of_Matter_or_Energy. 3806. [Google Scholar]
- Comay, "Exposing 'hidden momentum'". Am. J. Phys., 1996. 64(8).
- Cornwall, R.O. "Reconciling the Cosmological Constant with the Energy Density of Quantum Field Theories of the Zeropoint". 2021; Available from: https://www.academia.edu/50327052/Reconciling_the_Cosmological_Constant_with_the_Energy_Density_of_Quantum_Field_Theories_of_the_Zeropoint.
| [1] |
where a is the acceleration and is an area element normal to it. |
|
Disclaimer/Publisher’s Note: The statements, opinions and data contained in all publications are solely those of the individual author(s) and contributor(s) and not of MDPI and/or the editor(s). MDPI and/or the editor(s) disclaim responsibility for any injury to people or property resulting from any ideas, methods, instructions or products referred to in the content. |
© 2024 by the authors. Licensee MDPI, Basel, Switzerland. This article is an open access article distributed under the terms and conditions of the Creative Commons Attribution (CC BY) license (https://creativecommons.org/licenses/by/4.0/).