Submitted:
15 September 2024
Posted:
16 September 2024
You are already at the latest version
Abstract
Keywords:
1. Introduction
, even if we had a somewhat centrally distributed mass in the galaxy (the initial slow rise of the graph). Use of Gauss’ Law and a uniform, spherical distribution of matter would give
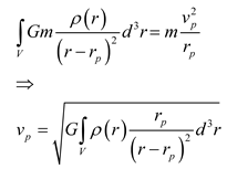
. A general distribution of matter (for non-relativistic considerations: Newtonian Gravity (NG), which is mostly the case) would involve this integral:.
, even if we had a somewhat centrally distributed mass in the galaxy (the initial slow rise of the graph). Use of Gauss’ Law and a uniform, spherical distribution of matter would give
. A general distribution of matter (for non-relativistic considerations: Newtonian Gravity (NG), which is mostly the case) would involve this integral:.
2. Is There Truly a Need for Dark Matter?
3. Modulation of Dark Energy
3.1. The Virtual Particle Debate
3.2. The Need for Fermions from Dark Energy in Our Theory and the Mechanism for Modulation of It by Gravity
3.3. The Mechanism for Modulation of Dark Energy by Gravity
3.3.1. Dark-Energy Can Expand Space or Gravitate Dependent on Coordinate Viewpoint
- In this section we shall show that dark-energy upon looking towards the centre of a gravity-well adds to the mass-energy causing the well but when looking away from the well, causes the expansion of space. This happens at several nested layers, the effect increasing with more expanse of space.
which of course acts radially. There is more space near a gravitating body and up to the Schwarzschild radius
(anything beyond this requires an interior coordinate system/metric[1] for this is just a coordinate singularity and it is beyond relevance here for the general argument, such radius are small and well inside a gravitating body) an observer further out from the centre of the gravity-well will see an object squeezed and elongated, its volume apparently increasing as it heads towards the centre. However, gravity causes volume contraction.
. Incidentally, the author has an earlier paper[23] which attempts to put the effects of both Special and General Relativity on a mechanistic rather than a phenomenological basis, by the variation of masses of particles due to their velocity or position in a gravity field: that time dilation and length contraction (bond lengths governed by virtual or bound particles) are real physical effects.
is positive and near unity but
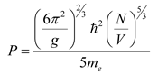
in the direction towards the centre is negative and here is our point: Looking towards the centre, the usual negative pressure of dark-energy becomes positive and so contributes to the mass-energy of the whole system (we’d know this by taking the trace of the stress-energy tensor and obtaining the scalar curvature) and gravitates. However, looking out of the well the pressure is negative and so the observer will see other gravitating bodies red-shifting away, especially with the large amount of negative pressure accrued over astronomical volumes.3.3.2. The Variation of Pressure of the Degenerate Electron Gas with Volume
4. Conclusion and Discussion
- Modify GR and lose the mathematical structure of it.
- Add elusive dark matter and hunt for that.
- Modify the Cosmological “Constant” to vary with position/time and preserve the mathematical structure of GR.
- Dark-matter is still speculation, not known nor measured directly.
Appendix A. Maple Script (Copied as Images but Available as Supplemental File)





| 1 | where a is the acceleration and is an area element normal to it. |
| 2 | They are precisely solutions of the wave equation (Green’s function) with point sources. |
| 3 | The internal metric contribution is negligible, see Appendix A
|
References
- Misner, C., Thorne, K., Wheeler, J., “Gravitation”. 21st ed. 1998: W. H. Freeman and Co.
- Rathke, A., Izzo, D., “Options for a non-dedicated test of the Pioneer Anomaly”. Journal of Spacecrafts and Rockets, 2006. 43(4): p. 806-821.
- .
- Milgrom, M., “A modification of the Newtonian dynamics as a possible alternative to the hidden mass hypothesis”. The Astrophysical Journal,, 1983. 270: p. 365-370. [CrossRef]
- Tully, R. “Tully-Fisher relation”. 2007; Available from: http://www.scholarpedia.org/article/Tully-Fisher_relation.
- Corbelli, E., Salucci. P., “The Extended Rotation Curve and the Dark Matter Halo of M33”. arxiv.org, 1999. [CrossRef]
- Carr, B.J., Clesse, S., García-Bellido, J., Hawkins, M. R. S., Kühnel, F. , “Observational evidence for primordial black holes: A positivist perspective”. Physics Reports., 2024. 1054: p. 1-68. [CrossRef]
- Moffat, J.W., “Scalar–Tensor–Vector Gravity Theory”. Journal of Cosmology and Astroparticle Physics, 2006. 3.
- Clowe, D., Bradač, M., Gonzalez, A. H., Markevitch, M., Randall, S. W., Jones, C., Zaritsky, D. , “A Direct Empirical Proof of the Existence of Dark Matter”. The Astrophysical Journal Letters, 2006. 648(2). [CrossRef]
- McCulloch, M.E., “Galaxy rotations from quantised inertia and visible matter only”. Astrophysics and Space Science, 2017. 362(149). [CrossRef]
- Williams, A., “Scientists receive $1.3 million DARPA grant to study new propulsion idea for spacecraft” University of Plymouth press release, 2018. https://www.plymouth.ac.uk/news/scientists-receive-13-million-to-study-new-propulsion-idea-for-spacecraft.
- McCulloch, M.E., “Propellant-less Propulsion from Quantized Inertia”. Journal of Space Exploration, 2018. 7(3).
- Cornwall, R.O., A Mechanism for Propulsion without the Reactive Ejection of Matter or Energy. Preprints, 2019 https://www.academia.edu/38062548/A_Mechanism_for_Propulsion_without_The_Reactive_Ejection_of_Matter_or_Energy.
- Comay, Exposing “hidden momentum”. Am. J. Phys., 1996. 64(8).
- Cornwall, R.O. “Reconciling the Cosmological Constant with the Energy Density of Quantum Field Theories of the Zeropoint”. 2021; Available from: https://www.academia.edu/50327052/Reconciling_the_Cosmological_Constant_with_the_Energy_Density_of_Quantum_Field_Theories_of_the_Zeropoint.
- Persic, M., Salucci, P., & Stel, F., “The universal rotation curve of spiral galaxies - I. The dark matter connection.”. Monthly Notices of the Royal Astronomical Society, 1996. 281(1): p. 27-47.
- Klypin, A., Zhao, H., & Somerville, R. S., “ΛCDM-based Models for the Milky Way and M31. I. Dynamical Models.”. The Astrophysical Journal, 2002. 573(2): p. 592-613.
- Read, J.I., “The Local Dark Matter Density.”. Journal of Physics G: Nuclear and Particle Physics, 2014. 41(6).
- Lifshitz, L., “A Course in Theoretical Physics: Statistical Physics”. Vol. 5. 1996: Butterworth Heinemann.
- Landau, L., A Course in Theoretical Physics: Quantum Mechanics. Vol. 3. 1982: Butterworth-Heinemann.
- Landau, L., A Course in Theoretical Physics: Quantum Electrodynamics. Butterworth-Heinemann. Vol. 4. 1984.
- Landau Lifshitz, A Course in Theoretical Physics: Classical Theory of Fields. Vol. 2 1982: Butterworth-Heinemann.
- Cornwall, R.O., A Mechanism for the effects of Relativity 2014 http://vixra.org/abs/1405.0303.





Disclaimer/Publisher’s Note: The statements, opinions and data contained in all publications are solely those of the individual author(s) and contributor(s) and not of MDPI and/or the editor(s). MDPI and/or the editor(s) disclaim responsibility for any injury to people or property resulting from any ideas, methods, instructions or products referred to in the content. |
© 2024 by the authors. Licensee MDPI, Basel, Switzerland. This article is an open access article distributed under the terms and conditions of the Creative Commons Attribution (CC BY) license (http://creativecommons.org/licenses/by/4.0/).

