Submitted:
08 April 2024
Posted:
09 April 2024
You are already at the latest version
Abstract
Keywords:
1. Introduction
2. Materials and Methods
2.1. One-Dimensional Model
2.2. Two-Dimensional Model
3. Results
- Liquid (water): , , and ;
- Gas (air): , , and ;
- Bubbles: , , and .
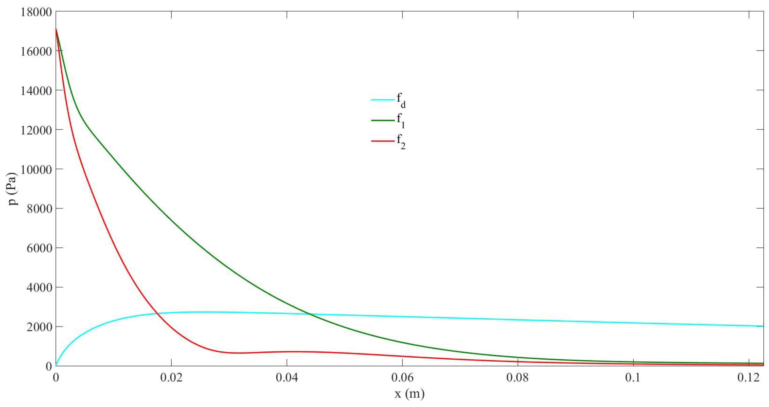
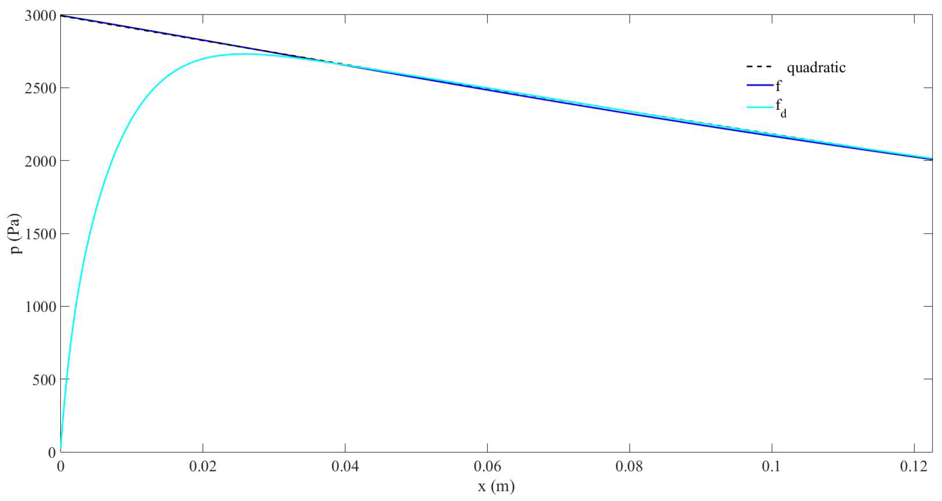
3.1. Study in a One-Dimensional Bubbly Liquid
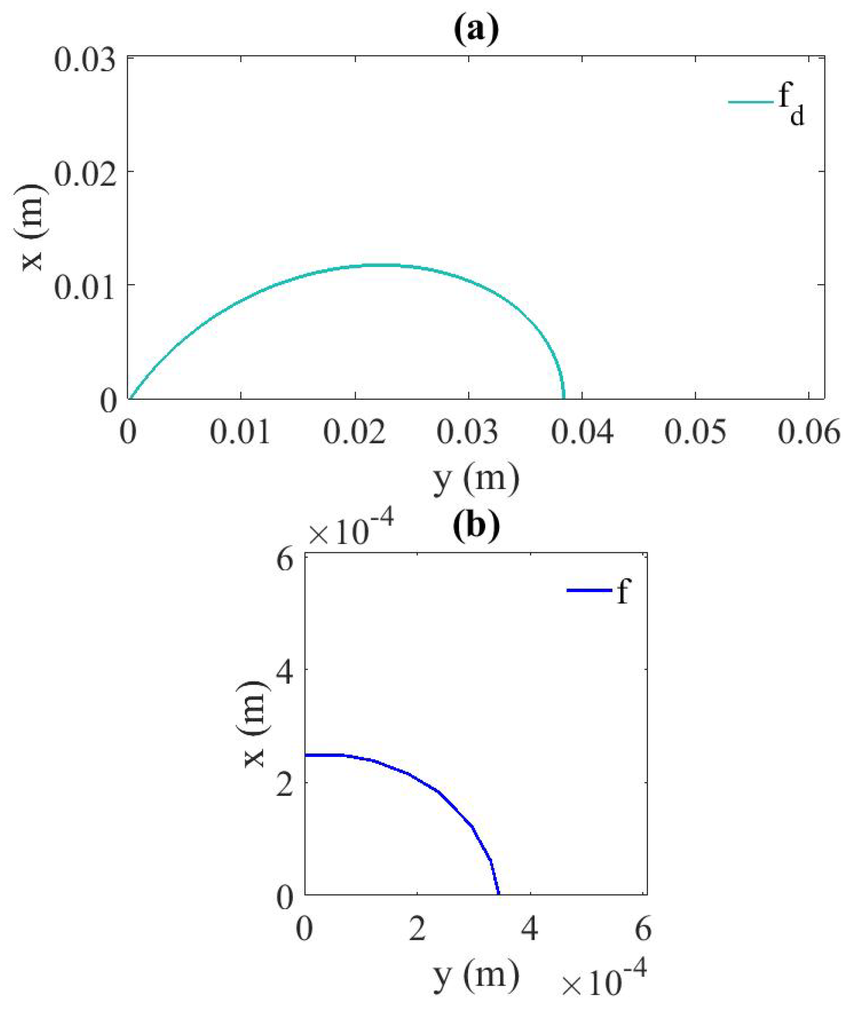
3.2. Study in a Two-Dimensional Bubbly Liquid
4. Conclusions
Author Contributions
Funding
Data Availability Statement
Acknowledgments
Conflicts of Interest
Abbreviations
| DFC | Difference-Frequency Component |
| PAA | Parametric Acoustic Array |
| 1D | One-Dimensional |
| 2D | Two-Dimensional |
| DM | Direct Method |
| FFT | Fast Fourier Transform |
References
- Mason, T.; Lorimer, J. Applied sonochemistry: the uses of power ultrasound in chemistry and processing; 2002.
- Greiser, F.; Choi, P.; Enomoto, N.; Harada, H.; Okitsu, K.; Yasui, K. Sonochemistry and the Acoustic Bubble; Elsevier, 2015.
- Gallego-Juárez, J.; Graff, K. Power Ultrasonics: Applications of High-Intensity Ultrasound; Elsevier, 2014.
- Naugolnykh, K.; Ostrovsky, L. Nonlinear Wave Processes in Acoustics; Cambridge University Press, 1998.
- Hamilton, M.; Blackstock, D. Nonlinear Acoustics; Academic Press, 1998.
- Prieur, F.; Näsholm, S.; Austeng, A.; Tichy, F.; Holm, S. Feasibility of second harmonic imaging in active sonar: Measurements and simulations. IEEE J. Ocean. Eng. 2012, 37, 467–477. [Google Scholar] [CrossRef]
- Berry, J.; Sidhu, P. Microbubble contrast-enhanced ultrasound in liver transplantation. Eur. Radiol. 2004, 14 Suppl 8, 96–103. [Google Scholar]
- Desser, T.; Jeffrey, R. Tissue harmonic imaging tecniques: Physical principles and clinical aplications. Semin. Ultrasound CT MRI 2001, 22, 1–10. [Google Scholar] [CrossRef] [PubMed]
- Wu, J.; Nyborg, W. Emerging Therapeutic Ultrasound; World Scientific, 2006.
- Westerveld, P. Parametric acoustic array. J. Acoust. Soc. Am. 1963, 35, 535–537. [Google Scholar] [CrossRef]
- Gan, W.S.; Yang, J.; Kamakura, T. A review of parametric acoustic array in air. Appl. Acoust. 2012, 73, 1211–1219. [Google Scholar] [CrossRef]
- Zhou, H.; Huang, S.; Li, W. Parametric acoustic array and its application in underwater acoustic engineering. Sensors 2020, 20, 2148. [Google Scholar] [CrossRef]
- Komatsuzaki, T.; Iwata, Y. Active noise control using high-directional parametric loudspeaker. J. Environ. Eng. 2011, 6, 140–149. [Google Scholar] [CrossRef]
- Nakashima, Y.; Yoshimura, T.; Naka, N.; Ohya, T. Prototype of mobile super directional loudspeaker. NTT DoCoMo Tech. J. 2006, 8, 25–32. [Google Scholar]
- Achanta, A.; McKenna, M.; Guy, S.; Malyarenko, E.; Lynch, T.; Heyman, J.; Rudd, K.; Hinders, M. Nonlinear acoustic concealed weapons detection. Mater. Eval. 2005, 63, 1195–1202. [Google Scholar]
- kuang, Z.; Wu, M.; Ye, C.; Yang, J. Method for measuring the absorption coefficient of sound absorbing materials in situ. Acta Acoust. 2010, 35, 162–168. [Google Scholar]
- Moffett, M.; Konrad, W. Nonlinear sources and receivers. Encyclopedia Acoust. 1997, pp. 607–617.
- Sapozhnikov, O.; Khokhlova, V.; Cleveland, R.; Blanc-Benon, P.; Hamilton, M. Nonlinear Acoustics Today. Acoust. Today 2019, 15, 55–64. [Google Scholar] [CrossRef]
- Sinha, D.N.; Pantea, C. Broadband unidirectional ultrasound propagation using sonic crystal and nonlinear medium. Emerging Materials Research 2013, 2, 117–126. [Google Scholar] [CrossRef]
- Qu, K.; Zou, B.; Chen, J.; Guo, Y.; Wang, R. Experimental study of a broadband parametric acoustic array for sub-bottom profiling in shallow water. Shock Vib. 2018, 2018, 3619257. [Google Scholar] [CrossRef]
- Lee, C.; Lee, J.; Bae, J.; Paeng, D.G.; Lee, S.; Shin, J.; Jung, J. Digital communication system using beamsteering for difference frequency in a parametric array. J. Acoust. Soc. Am. 2012, 131, 3445. [Google Scholar] [CrossRef]
- Zhao, A.B.; Cheng, Y.; An, T.S.; Hui, J. Covert underwater acoustic communication system using parametric array. Mar. Tech. Soc. J. 2019, 53, 20–26. [Google Scholar] [CrossRef]
- Esipov, I.; Naugolnykh, K.; Timoshenko, V. The parametric array and long-range ocean research. Acoust. Today 2010, 6, 20–26. [Google Scholar] [CrossRef]
- Kim, D.; Kwon, Y.; Kang, D.H. ; S., S.; Park, J.; Lee, B. Difference-frequency-based ultrasonic contrast imaging of material elasticities. Proc. 2022 IEEE Int. Ultrason. Symp., 2022, pp. 1–4.
- Zabolotskaya, E.; Soluyan, S. Emission of harmonic and combination frequency waves by air bubbles. soviet physics acoustics journal 1973, 18, 396–398. [Google Scholar]
- Sastre, M.T.; Vanhille, C. A numerical model for the study of the difference frequency generated from nonlinear mixing of standing ultrasonic waves in bubbly liquids. Ultrason. Sonochem. 2017, 34, 881–888. [Google Scholar] [CrossRef] [PubMed]
- Doinikov, A. , Bjerknes forces and translational bubble dynamics; Research Signpost, 2005; Vol. Bubble and Particle Dynamics in Acoustic Fields: Modern Trends and Applications.
- Sastre, M.T.; Vanhille, C. Numerical models for the study of the nonlinear frequency mixing in two and three-dimensional resonant cavities filled with a bubbly liquid. Ultrason. Sonochem. 2017, 39, 597–610. [Google Scholar] [CrossRef]
- Vanhille, C.; Campos-Pozuelo, C. An acoustic switch. Ultrason. Sonochem. 2014, 21, 50–52. [Google Scholar] [CrossRef]
- Vanhille, C.; Campos-Pozuelo, C. Ultrasounds in bubbly liquids: unidirectional propagation and switch. Phys. Proc. 2015, 63, 163–166. [Google Scholar] [CrossRef]
- Vanhille, C.; Campos-Pozuelo, C. Nonlinear Interaction of Air Bubbles and Ultrasonic Field: an Analysis of some Physical Aspects. Recent Developments in Nonlinear Acoustics, AIP Conf. Proc. 1685, 2015, pp. 050008–1. [Google Scholar]





Disclaimer/Publisher’s Note: The statements, opinions and data contained in all publications are solely those of the individual author(s) and contributor(s) and not of MDPI and/or the editor(s). MDPI and/or the editor(s) disclaim responsibility for any injury to people or property resulting from any ideas, methods, instructions or products referred to in the content. |
© 2024 by the authors. Licensee MDPI, Basel, Switzerland. This article is an open access article distributed under the terms and conditions of the Creative Commons Attribution (CC BY) license (http://creativecommons.org/licenses/by/4.0/).
