Submitted:
05 April 2024
Posted:
05 April 2024
You are already at the latest version
Abstract
Keywords:
1. Introduction
2. Materials and Methods
2.1. Multimodal Detection System
2.2. Image Registration
2.3. Sample Preparation
2.4. Spectrum Feature and Color Feature
2.5. Modelling and Evaluation
3. Results
3.1. Feature Analysis
3.1.1. Spectral Analysis
3.1.2. Principal Component Analysis(PCA)
3.2. Comparison of Different Models
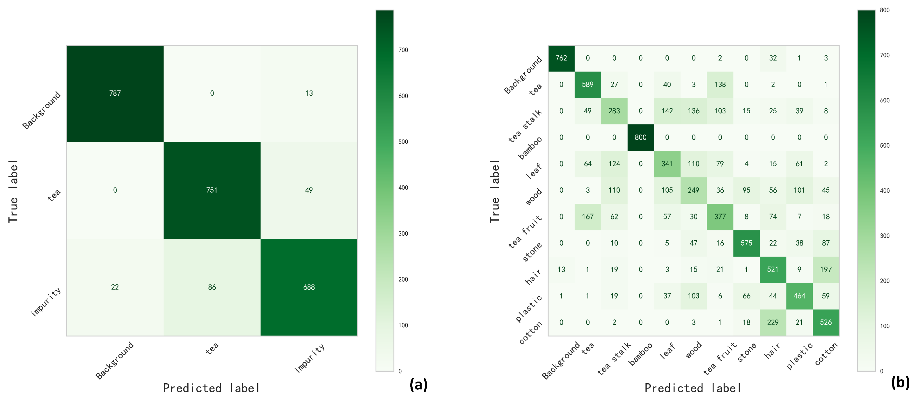
3.3. Classification Results
4. Discussion
4.1. Post-Processing
4.2. Small Impurity
4.3. Model Extrapolation Capability
4.4. Result Discussion and Prospect
5. Conclusions
Author Contributions
Funding
Conflicts of Interest
References
- Mukhi, S.E.; Varshini, R.T.; Sherley, S.E.F. Diagnosis of COVID-19 from Multimodal Imaging Data Using Optimized Deep Learning Techniques. SN computer science 2023, 4, 212. [Google Scholar] [CrossRef]
- Nayak, M.; Tiyadi, J. Predicting the Onset of Diabetes Using Multimodal Data and a Novel Machine Learning Method. Technical report, EasyChair, 2023.
- Houria, L.; Belkhamsa, N.; Cherfa, A.; Cherfa, Y. Multimodal magnetic resonance imaging for Alzheimer’s disease diagnosis using hybrid features extraction and ensemble support vector machines. International Journal of Imaging Systems and Technology 2023, 33, 610–621. [Google Scholar] [CrossRef]
- Spaide, R.F.; Curcio, C.A. Drusen characterization with multimodal imaging. Retina((Philadelphia, Pa.) 2010, 30, 1441–1454. [Google Scholar] [CrossRef] [PubMed]
- Heintz, A.; Sold, S.; Wühler, F.; Dyckow, J.; Schirmer, L.; Beuermann, T.; Rädle, M. Design of a Multimodal Imaging System and Its First Application to Distinguish Grey and White Matter of Brain Tissue. A Proof-of-Concept-Study. Applied Sciences 2021, 11, 4777. [Google Scholar] [CrossRef]
- Li, X.; Zhang, G.; Cui, H.; Hou, S.; Chen, Y.; Li, Z.; Li, H.; Wang, H. Progressive fusion learning: A multimodal joint segmentation framework for building extraction from optical and SAR images. ISPRS Journal of Photogrammetry and Remote Sensing 2023, 195, 178–191. [Google Scholar] [CrossRef]
- Quan, L.; Lou, Z.; Lv, X.; Sun, D.; Xia, F.; Li, H.; Sun, W. Multimodal remote sensing application for weed competition time series analysis in maize farmland ecosystems. Journal of Environmental Management 2023, 344, 118376. [Google Scholar] [CrossRef] [PubMed]
- Zhao, L.; Han, L.; Zhang, H.; Liu, Z.; Gao, F.; Yang, S.; Wang, Y. Study on recognition of coal and gangue based on multimode feature and image fusion. Plos one 2023, 18, e0281397. [Google Scholar] [CrossRef]
- Chu, X.; Tang, L.; Sun, F.; Chen, X.; Niu, L.; Ren, C.; Li, Q. Defect detection for a vertical shaft surface based on multimodal sensors. IEEE Journal of Selected Topics in Applied Earth Observations and Remote Sensing 2022, 15, 8109–8117. [Google Scholar] [CrossRef]
- Saran, G.; Ganguly, A.; Tripathi, V.; Kumar, A.A.; Gigie, A.; Bhaumik, C.; Chakravarty, T. Multi-modal imaging-based foreign particle detection system on coal conveyor belt. Transactions of the Indian Institute of Metals 2022, 75, 2231–2240. [Google Scholar] [CrossRef]
- Maheshkar, V. Improved Detection of Recyclable Plastics Using Multi Modal Sensing and Machine Learning. PhD thesis, State University of New York at Buffalo, 2023.
- Jiang, L.; Xue, R.; Liu, D. Node-Loss Detection Methods for CZ Silicon Single Crystal Based on Multimodal Data Fusion. Sensors 2023, 23, 5855. [Google Scholar] [CrossRef]
- Villafana, T.; Edwards, G. Creation and reference characterization of Edo period Japanese woodblock printing ink colorant samples using multimodal imaging and reflectance spectroscopy. Heritage Science 2019, 7, 1–14. [Google Scholar] [CrossRef]
- Lee, J.H.; Kim, B.H.; Kim, M.Y. Machine learning-based automatic optical inspection system with multimodal optical image fusion network. International Journal of Control, Automation and Systems 2021, 19, 3503–3510. [Google Scholar] [CrossRef]
- Momin, M.A.; Yamamoto, K.; Miyamoto, M.; Kondo, N.; Grift, T. Machine vision based soybean quality evaluation. Computers and Electronics in Agriculture 2017, 140, 452–460. [Google Scholar] [CrossRef]
- Mahirah, J.; Yamamoto, K.; Miyamoto, M.; Kondo, N.; Ogawa, Y.; Suzuki, T.; Habaragamuwa, H.; Ahmad, U. Monitoring harvested paddy during combine harvesting using a machine vision-Double lighting system. Engineering in agriculture, environment and food 2017, 10, 140–149. [Google Scholar] [CrossRef]
- Senni, L.; Ricci, M.; Palazzi, A.; Burrascano, P.; Pennisi, P.; Ghirelli, F. On-line automatic detection of foreign bodies in biscuits by infrared thermography and image processing. Journal of Food Engineering 2014, 128, 146–156. [Google Scholar] [CrossRef]
- Zhang, H.; Li, D. Applications of computer vision techniques to cotton foreign matter inspection: A review. Computers and electronics in agriculture 2014, 109, 59–70. [Google Scholar] [CrossRef]
- Zhang, R.; Li, C.; Zhang, M.; Rodgers, J. Shortwave infrared hyperspectral reflectance imaging for cotton foreign matter classification. Computers and Electronics in Agriculture 2016, 127, 260–270. [Google Scholar] [CrossRef]
- Zhang, M.; Li, C.; Yang, F. Classification of foreign matter embedded inside cotton lint using short wave infrared (SWIR) hyperspectral transmittance imaging. Computers and Electronics in Agriculture 2017, 139, 75–90. [Google Scholar] [CrossRef]
- Sun, X.; Xu, C.; Luo, C.; Xie, D.; Fu, W.; Gong, Z.; Wang, X. Non-destructive detection of tea stalk and insect foreign bodies based on THz-TDS combination of electromagnetic vibration feeder. Food Quality and Safety 2023, 7, fyad004. [Google Scholar] [CrossRef]
- Yang, Z.; Ma, W.; Lu, J.; Tian, Z.; Peng, K. The Application Status and Trends of Machine Vision in Tea Production. Applied Sciences 2023, 13, 10744. [Google Scholar] [CrossRef]
- Tian, J.; Zhu, Z.; Wu, B.; Wang, L.; Liu, X. Bacterial and fungal communities in Pu’er tea samples of different ages. Journal of food science 2013, 78, M1249–M1256. [Google Scholar] [CrossRef] [PubMed]
- Thike, A.; San, Z.M.; Oo, Z.M. Design and development of an automatic color sorting machine on belt conveyor. International Journal of Science and Engineering Applications 2019, 8, 176–179. [Google Scholar] [CrossRef]
- Pan, S.; Zhang, X.; Xu, W.; Yin, J.; Gu, H.; Yu, X. Rapid On-site identification of geographical origin and storage age of tangerine peel by Near-infrared spectroscopy. Spectrochimica Acta Part A: Molecular and Biomolecular Spectroscopy 2022, 271, 120936. [Google Scholar] [CrossRef] [PubMed]
- Zhang, X.; Gao, Z.; Yang, Y.; Pan, S.; Yin, J.; Yu, X. Rapid identification of the storage age of dried tangerine peel using a hand-held near infrared spectrometer and machine learning. Journal of Near Infrared Spectroscopy 2022, 30, 31–39. [Google Scholar] [CrossRef]
- Yu, Z.; Cui, W. LSCA-net: A lightweight spectral convolution attention network for hyperspectral image processing. Computers and Electronics in Agriculture 2023, 215, 108382. [Google Scholar] [CrossRef]
- Yin, J.; Yang, Y.; Hong, W.; Cai, Y.; Yu, X. Portable smart spectrometer integrated with blockchain and big data technology. Applied Sciences 2019, 9, 3279. [Google Scholar] [CrossRef]
- Liang, D.; Zhou, Q.; Ling, C.; Gao, L.; Mu, X.; Liao, Z. Research progress on the application of hyperspectral imaging techniques in tea science. Journal of Chemometrics 2023, 37, e3481. [Google Scholar] [CrossRef]
- Zhu, B.; Zhou, L.; Pu, S.; Fan, J.; Ye, Y. Advances and challenges in multimodal remote sensing image registration. IEEE Journal on Miniaturization for Air and Space Systems 2023. [Google Scholar] [CrossRef]
- Rao, C.R. The use and interpretation of principal component analysis in applied research. Sankhyā: The Indian Journal of Statistics, Series A 1964, pp. 329–358.
- Cortes, C.; Vapnik, V. Support-vector networks. Machine learning 1995, 20, 273–297. [Google Scholar] [CrossRef]
- Yang, Y.; Zhang, X.; Yin, J.; Yu, X. Rapid and nondestructive on-site classification method for consumer-grade plastics based on portable NIR spectrometer and machine learning. Journal of Spectroscopy 2020, 2020, 1–8. [Google Scholar] [CrossRef]
- Jiang, L.; Cai, Z.; Wang, D.; Jiang, S. Survey of improving k-nearest-neighbor for classification. In Proceedings of the Fourth international conference on fuzzy systems and knowledge discovery (FSKD 2007). IEEE, 2007, Vol. 1, pp. 679–683.
- Biau, G.; Scornet, E. A random forest guided tour. Test 2016, 25, 197–227. [Google Scholar] [CrossRef]
- Song, Y.Y.; Ying, L. Decision tree methods: applications for classification and prediction. Shanghai archives of psychiatry 2015, 27, 130. [Google Scholar] [CrossRef] [PubMed]









| tea | tea stalk | bamboo | leaf | wood | tea fruit | stone | hair | plastic | cotton |
|---|---|---|---|---|---|---|---|---|---|
![]() | |||||||||
| SVM | RF | KNN | DT | |
|---|---|---|---|---|
| Spectrum | 0.86 | 0.86 | 0.86 | 0.84 |
| Spectrum + RGB | 0.93 | 0.91 | 0.91 | 0.88 |
Disclaimer/Publisher’s Note: The statements, opinions and data contained in all publications are solely those of the individual author(s) and contributor(s) and not of MDPI and/or the editor(s). MDPI and/or the editor(s) disclaim responsibility for any injury to people or property resulting from any ideas, methods, instructions or products referred to in the content. |
© 2024 by the authors. Licensee MDPI, Basel, Switzerland. This article is an open access article distributed under the terms and conditions of the Creative Commons Attribution (CC BY) license (http://creativecommons.org/licenses/by/4.0/).
