Preprint
Article

This version is not peer-reviewed.

Effect of Pit and Soil Types on Growth and Development, Nutrient Content and Fruit Quality of Pomegranate in the Central Deccan Plateau Region, India

A peer-reviewed article of this preprint also exists.

Submitted:

22 July 2024

Posted:

23 July 2024

You are already at the latest version

Abstract
To enhance pomegranate production on marginal gravelly lands, standardized planting techniques were evaluated in an 8-year-old orchard. Trenching, wider pit excavation, pit digging, and auger digs with dimensions of 1 and 2 m were employed. Utilizing native soil from barren land, with or without spent wash, and mixing it with black soil up to 1 m deep, growth parameters, leaf nutrients, fruit production, and fruit quality were assessed. The trench and wider pit methods outperformed others, yielding greater above-ground biomass (>70.3 kg tree−1), root biomass (>24.5 kg, tree−1), and cross-sectional area (>3.30 m² tree−1). These methods also produced longer roots (>4.0 m tree−1) and higher leaf phosphorus (>0.28%) and potassium (>1.81%) levels, fruit juice content (>48.50%), and total soluble solids (>16.05°) compared to other planting methods. This resulted in higher and more sustainable fruit yield production under the trench and wider pit planting methods (>7.21 t ha−1). Similarly, the native and black soil mixture produced healthy fruit trees, improved fruit quality, and sustainably higher fruit yield over the native soil alone. In summary, the trench and wider pit methods (2–3 m³), combined with a soil mixture, are recommended for sustainable, high-quality fruit production in shallow gravelly terrains, thereby improving food security and the livelihoods of farmers in arid regions.
Keywords: 
;  ;  ;  ;  ;  ;  ;  ;  

1. Introduction

Pomegranate is a significant fruit tree cultivated extensively in India’s Deccan plateau region, particularly in Maharashtra, Karnataka, and Andhra Pradesh [1]. The Deccan plateau contributes significantly to India’s total pomegranate production, which amounts to nearly 2.85 million tonnes, with Maharashtra alone contributing over 65% [2]. The cultivation area and production of pomegranates have been steadily increasing over the past two decades, driven by favorable agroclimatic conditions such as adaptability to harsh climates, three-season flower production, short juvenile period, and staggered cultivation [2]. Notably, districts such as Nasik, Solapur, Sangali, Pune, Osmanabad, and Ahmednagar in Maharashtra’s Central Deccan plateau region account for a significant portion of pomegranate cultivation, primarily on marginal and sub-marginal lands totaling approximately 0.19 mha [3]. These lands exhibit characteristics such as sloping terrain, high coarse fragments, shallow soil depth, elevated bulk density, low water retention, and poor soil fertility with low organic carbon and nutrient content, posing significant challenges to fruit tree growth and development [4].
Furthermore, the growth and development of fruit trees face substantial limitations in slopping, shallow, and gravelly barren land. These soils typically exhibit poor soil structure, leading to restricted root penetration and hindered absorption of nutrients [5]. Additionally, their low water retention capacity results in frequent drought stress and limited moisture availability for fruit trees [6]. The constrained root space in shallow and gravelly soils further impedes nutrient uptake and overall plant vigor [7]. Furthermore, the erosion susceptibility of slopping soils poses risks to root stability and nutrient cycling. These combined challenges underscore the need for targeted soil management and cultivation practices to improve fruit tree performance in such environments.
Planting techniques significantly influence fruit tree growth and sustainable production [3,8], with pit size, shape, and filler materials being crucial factors. Larger pits with increased soil volume enhance root contact, aeration, and water infiltration [9]. Various planting methods have been devised for arid and semi-arid environments, such as trench planting promoting horizontal root growth [10]. Sunken pit planting conserves subsoil water, which is crucial for tree growth during dry periods [11]. Pit planting enhances crown growth, stem diameter, and shoot length in fruit trees [12]. As trees mature, adjustments to the pit size become necessary for sufficient water and nutrient supply [12]. Neglecting pit size can cause root coiling, impacting tree health and fruit production negatively [13]. Seedling health directly affects fruit quality and quantity, emphasizing the link between tree vigor and sustainable production. Yet, the growth and development of a tree are equally influenced by the soil and other organic materials used to fill the pits, particularly in stony, marginal lands.
Soil is another critical component of the planting technique that is required for sustainable pomegranate cultivation under skeletal land situations. An ideal soil should meet specific criteria, including high water retention, nutrient supply capacity, and adequate drainage to support robust tree growth and development [3,14]. Soil composition and nutrient availability directly affect the nutritional content and taste of the fruit [15]. Balanced nutrition can result in higher-quality fruits with better flavor and nutritional value [16]. Limited studies have shown that some soil types, such as loamy soil, clay soil, and clay-sand mixtures at specific ratios, can have a significant influence on fruit yield [3,17]. Additionally, the use of organic sources to supplement nutrient requirements has been suggested by Nadeem Shah et al. [18].
When it comes to optimizing planting procedures for plantation crops under skeletal land conditions and with shallow soil depth, insufficient attention has been given to pomegranate trees. This research seeks to address critical questions related to the sustainable cultivation of pomegranates in shallow skeletal soils, specifically: (1) Which planting techniques, pit sizes (varying in length and depth), and soil types are most effective in promoting robust growth in well-developed pomegranate trees in shallow skeletal soils? (2) To what extent do these planting approaches influence leaf nutrient concentrations, yield, and fruit quality of pomegranate trees in shallow skeletal soils? (3) How does increasing the width or depth of the planting pit affect the growth and development of pomegranate trees under conditions of shallow, gravelly land? (4) What is the ideal pit volume required to achieve higher fruit production from 8-year-old pomegranate trees under the condition of shallow skeletal soil? (5) Do the planting methods produce consistently higher fruit yield over the period of cultivation? (6) Does the application of spent wash at the time of planting influence the growth, development, and fruit yield of 8-year-old pomegranate trees in shallow skeletal soils?
This research study aims to harness the untapped potential of shallow skeletal soils by optimizing planting practices and customizing soil mixtures to these unique soil conditions, thereby enhancing their productivity, resilience, and environmental sustainability. This study strives to set the stage for improved fruit quality, economic growth for farmers, minimized environmental footprints, and a robust agricultural sector, ultimately contributing to a sustainable and secure food future.

2. Material and Methods

2.1. Description of the Study Area

The research field, positioned at 18°09′ 30.62″ N, 74°30′03.08″ E and elevated 570 m above sea level, is nestled in the tropical climate of Baramati, a region within the Pune district of Maharashtra, India (Figure 1). This region experiences an average yearly temperature of 26.32 °C, peaking at 32.50 °C in April and dipping to 23.31 °C in December. The majority of the annual rainfall, constituting over 70%, occurs during the southwest monsoon season from June to September. Given the mean annual precipitation of 572 mm, the research area falls within a rain shadow dryland region situated behind the western ghat ranges [19].

2.2. Establishment of the Pomegranate Orchard

The study area was characterized by sparse vegetation, including native grasses, bushes, and trees, and was situated within a trapezoidal landscape. To facilitate orchard development, elevation points were utilized to create isoline maps, aiding in the establishment of terraces along a 6% slope. These terraces, varying in dimensions from 90–200 m in length and 33–35 m in width, were organized into three blocks, each comprising six contour terraces. Land preparation involved the use of heavy machinery to break rocky layers, while acidic raw spent wash was applied at a rate of 50,000 L ha−1 to soften the rocks. The site underwent microblasting, ripping, and chaining multiple times to optimize land conditions. Subsequently, one research plot was used for planting the Bagwa variety pomegranate (Punica granatum L.) trees at intervals of 4.50 × 3.00 m2 in 2014. These results were recorded from the 8-year-old pomegranate trees (2022), whereas yield data recorded for five year period (2018, 2019, 2020, 2021, and 2022) were used to appraise the sustainability of the planting techniques.

2.3. Planting Techniques

This experiment utilized a three-factorial randomized block design (3 blocks) with three replications for the planting method, involving four different pits, three soil types, and two soil depths, alongside two farming methods currently used by farmers. The treatment details for planting pits (I) are as follows: Trench method: A trench was dug with a length of 3 m, a height of 1 m, and a width of 1 m, resulting in a soil volume of 3 m³. 2. Wider pit method: A rectangular pit, 2 m in length, 1 m in width, and 1 m in height, was dug, resulting in a soil volume of 2 m³. 3. Pit method: A narrow pit in a square shape, 1 m in length, 1 m in width, and 1 m in height, was dug with a soil volume of 1 m³. 4. Auger: A dug pit with an inner diameter of 0.60 m and a height of 1 m was created, resulting in a volume of 0.28 m³ (Figure 1). The trench was prepared to cover three trees (9 m length) in a replication, totaling 9 trees in a block, whereas the remaining pits were dug up to a single fruit tree with the same tree numbers.
Two soil depths (II) were utilized for planting tree seedlings: a normal depth of 1 m and an enhanced depth of 2 m. At both depths, the soil was filled up to a depth of 1 m. The enhanced soil depth to 2 m was achieved by loosening native coarse fragments with the help of minor blasting techniques, with no external filler material added beyond 1 m soil depth (Figure 2). For soil (III), the following were used for planting: 1. Soil mixture at a 1:1 ratio of black and native soil types (NSBS). 2. Native soil saturated with sugarcane liquid spent wash of one molar (450 mL) volume (NSSW) and 3. Native soil was prepared by separating the murrum with a 2 mm sieve (NS). Additionally, contemporary farmers practiced a square pit (0.4 m length × 0.4 m width × 0.4 m depth) with a 0.06 m³ volume in native murrum land (soil with a considerable proportion of gravel content), both with (NMSW) and without (NM) sugarcane spent wash, for comparison purposes. The characteristics of spent wash used for experiments are given in Table S1. All pits were gradually filled with their respective soil filler treatments up to a 0.3 m depth. Tree seedlings were planted uniformly at a depth of 0.3 m and then carefully filled with the designated soil types and firmly pressed by hand.
Treatment details of planting techniques
Pits Depth Soil types Pits Depths Soil types
1. Trench Normal NSBS 14. Pit Normal NSSW
2. Trench Normal NSSW 15. Pit Normal NS
3. Trench Normal NS 16. Pit Enhanced depth NSBS
4. Trench Enhanced depth NSBS 17. Pit Enhanced depth NSSW
5. Trench Enhanced depth NSSW 18. Pit Enhanced depth NS
6. Trench Enhanced depth NS 19. Auger Normal NSBS
7. Wider pit Normal NSBS 20. Auger Normal NSSW
8. Wider pit Normal NSSW 21. Auger Normal NS
9. Wider pit Normal NS 22. Auger Enhanced depth NSBS
10 .Wider pit Enhanced depth NSBS 23. Auger Enhanced depth NSSW
11. Wider pit Enhanced depth NSSW 24. Auger Enhanced depth NS
12. Wider pit Enhanced depth NS 25. Farmer I shallow NMSW
13. Pit Normal NSBS 26. Farmer II shallow NM
NSBS-Native and black soil mixture; NS- Native soil of <2 mm; NSSW-Native soil saturated with spent wash; NMSW- Native murrum land saturated with spent wash; NM- Native Murrum land.

2.4. Crop Husbandry

Pruning: Hastha Bahar pruning was conducted following the post-southwest monsoon (September–October). Upon the completion of the treatment (approximately 45 days post-pruning), a spray of ethephon (0.25%) and DAP (0.50%) was applied to induce leaf shedding, succeeded by light pruning.
Irrigation: The tree was irrigated using a drip irrigation system installed at the periphery of the pits. The irrigation was critical at the conclusion of the Bahar treatment to facilitate better vegetative growth. The subsequent crucial stage was flower initiation, during which the tree was irrigated at five-day intervals to prevent flower drop. The irrigation interval for the remaining period was approximately 10–15 days.
Fertilization: Farmyard manure (FYM) was applied at a rate of 20 kg per pit during the transplantation of six-month-old pomegranate saplings (cv. Bhagwa) in March 2013, adhering to the standard practices for the region [20]. The FYM contained nutrients including N (0.52%), P (0.28%), K (0.62%), Ca (0.21%), Mg (0.15%), Mn (610 ppm), Zn (73 ppm), Cu (76 ppm), Fe (860 ppm), organic carbon (38.5%), pH (6.40), and electrical conductivity (3.2 dS m−1). Initially, each seedling received 10 kg FYM, 300 g N, 150 g P, and 200 g K for two years. From the third year onwards, nutrient application (20 kg FYM, 500 g N, 200 g P, 200 g K per seedling) was conducted annually. The fertilizer was applied in three splits: the first dose consisted of one-third of the total nitrogen and potassium and a full dose of phosphorus at the end of pruning to encourage vegetative growth. The second dose, comprising two-thirds of the recommended nitrogen and potassium, was applied during early flowering. The final dose, consisting of the remaining fertilizer amount, was applied prior to the fruit set.

2.5. Collection, Processing, and Analysis of Samples

Soil: Soil was collected at the beginning of the experiment, and the distribution of sand, silt, and clay particles of soil used for plantings was assessed with the help of a hydrometer [21]. The specific volume of soil was determined through bulk density analysis [22]. The soil available water was determined using the pressure plate apparatus [23]. Soil pH and electrical conductivity (EC) were measured at saturated paste conditions [24]. According to the wet chromic acid oxidation method, the soil organic carbon density was assessed [25]. According to the instruction of Hussain & Malik’s [26] instructions, 0.32% potassium permanganate extractant was used for the appraisal of the soil available nitrogen (N) fraction. Olsen reagent was used to evaluate the soil available phosphorous (P) fraction [27]. The plant available potassium fraction (K) was appraised using the 1N NH4OAC [28].
The above-ground portion of trees: The above-ground biomass of standing trees was evaluated from 9 trees (3 replications and 3 blocks) using conventional destructive techniques, which included pruned materials and litter falls collected over the period of 8 years [29]. Tree spread was measured in both the north–south and east–west directions with tape until the last leaf of the tree [30]. The height of the trees was measured from the base to the maximum top of the canopy using a 3 m wooden ruler [30].
Roots: The soil profile method was adopted for root sample collection from 9 trees from each treatment, where lines were drawn at 30 cm increments surrounding the tree up to 1.50 m away. Three trees from each treatment were harvested, and the roots, along with the surrounding soil within a 30 cm radius, were excavated [31,32]. Root and soil samples were collected at 20 cm depth intervals up to 1 m depth, separated using wet sieving techniques, and then oven-dried at 65 °C for four days to determine root biomass. The lengths of larger roots (>5 mm dia) were measured using a meter scale, and the intersection approach was used for smaller roots with diameters up to 5 mm to assess root length and their distribution [33]. Additionally, composite samples of twenty cores (12 cm height, 8 cm diameter) were collected at intervals of 30 cm horizontal distances (1.50 m spread) and 20 cm depth (up to 0.60 m depth) for the assessment of root length density (RLD) [34]. The RLD value for each planting technique was calculated by averaging the RLD values across the sample width and depth of the pits.
R L D m m 3 = T o t a l   r o o t   l e n g t h S o i l   c o r e   v o l u m e
Leaf nutrients content: At the pre-flowering stage, composite samples of 50 fully matured leaves were randomly collected from 3 trees in each treatment, totaling 9 trees from every treatment. They were dried, and the powdered leaf samples were digested with a diacid mixture. The nitrogen content was estimated using a distillation system. The phosphorous and potassium from the leaves were brought into solution by digestion with a triacid procedure. The solution phosphorus was determined by the vanadomolybdate yellow color method, and the solution potassium was appraised using a flame photometer, following the standard procedure given in Tandon’s textbook [35].
Fruit yield and quality: Fruit yield was measured from staggered harvest (t ha−1). A total of 45 fruit samples (5 fruits from each tree and 9 trees from a single treatment) were used to assess the fruit length and width using a digital Vernier scale (Mitutoyo, Japan; Least count: 0.10 mm). Total soluble solids (°) in juice were measured with a refractometer (Atago, Tokyo, Japan). After the arils were removed, the juice was extracted with an extractor (Maharaja White line-Smart chef FP-100), and the juice yield was assessed as given below.
J u i c e   y i e l d   ( % ) = W e i g h t   o f   j u i c e × 100 W e i g h t   o f   f r u i t  

2.6. Statistical Analysis

The growth parameters of trees, including above-ground biomass, crown spread, root biomass, root length, root length distribution, leaf nutrient content (N, P, and K), and fruit quality parameters (length, width, juice content, total soluble solids), were subjected to the Kolmogorov–Smirnov and Shapiro–Wilk tests to assess normal distribution. Furthermore, a three-factorial ANOVA test (p > 0.05) was conducted to analyze variance attributed to pit techniques, soil depth, filler soil materials, and their interaction effects. The five-year fruit yield from 4 year to 8 year old trees was used to record yield sustainability under different planting pits and soil types. Post hoc analysis using the Duncan multiple range test (DMRT) (p > 0.05) was employed to identify significant differences between treatments. The linear regression analysis was carried out to establish a functional relationship between pit volume and fruit yield from the 8-year-old tree. Data analysis was conducted using SPSS software version 16.0.

3. Results

3.1. Basic Properties of Soil Types Used for Pomegranate Plantings in the Shallow and Gravelly Barren Land

Table 1 presented herein delineates the foundational soil properties utilized across various planting methodologies for pomegranate cultivation within shallow and gravelly barren land conditions. It is observed that the traditional farmer techniques, represented by barren land, exhibited a significantly elevated coarse fraction content of 73.41% (w/w) as opposed to both the native soil and the black and native soil mixture-filled pits. The incorporation of the soil mixture notably transitioned the soil texture from sandy loam, characteristic of the native soil, to loam soil with increased silt and clay particle content. Moreover, the soil mixture showcased augmented soil-specific volume and increased plant-available water in comparison to the native soil. The liquid spent wash saturated native soil had a low soil pH of 4.51; conversely, all other soil types maintained a neutral pH range. Furthermore, the soil mixture exhibited a higher soil electrical conductivity (0.41 dS m−1), soil organic carbon content (0.43%), and available nutrients such as N at 155.51 kg ha−1, P at 8.32 kg ha−1, and K at 222.11 kg ha−1 as compared to the remaining soil types (Table 1). Yet, the carbon and available N (< 280 kg ha−1) and P (<10 kg ha−1) of the soil mixture were in the low category, while K came in the medium fertility category (180–350 kg ha−1).

3.2. Effect of Planting Techniques on Growth Parameters of Pomegranate Trees

Table 2 and Table 3 distinctly illustrate that both the pits and soil types, integral components of planting techniques, exerted significant influence on above-ground biomass production. There were notable differences among all the pits in terms of biomass production, with the trench and wider pit methods demonstrating higher production (>70.3 kg tree−1) compared to the other pits. When the width of the pit increased by 1 m, the wider pit method showed a significant increase in biomass production, from 65.7 to 70.3 t tree−1. Similarly, the soil types exhibited variations among themselves, and the soil mixture (NSBS) displayed greater biomass production at 70.3 t ha−1 compared to the other soil types (Table 3).
The crown spread of the tree demonstrated substantial variations contingent upon the types of pits and the soil medium utilized for planting pomegranate seedlings. Among the various tree pits, the trench and wider pit exerted a more pronounced influence on the spread, encompassing an area of 3.31 m2. With every 1 m increase in the width of the pit, there was a significant augmentation in the crown spread. Conversely, the auger and pit exhibited a lesser spread, exceeding 2.20 m2, yet still outperforming the existing planting techniques, which typically result in a spread greater than 1.50 m2 (Table 2 and Table 3).
Table 2 and Table 3 also indicate that both pit types and soil medium significantly influenced the production of root biomass and root length in the planting of pomegranate seedlings. Among the pit types, the trench and wider pit methods resulted in a greater biomass production of 24.50 kg tree−1 compared to other pit types. The wider pit method, in particular, produced significantly higher biomass than the standard pit method, which in turn was higher than both the auger planting and traditional farming methods. The root length varied significantly across all pit types, with the longest root (4.60 m tree−1) produced under the trench method. As with pit types, the type of soil used also significantly influenced biomass production. The soil mixture displayed greater biomass and root length (23.61 kg tree−1 and 3.9 m, respectively) compared to the other two soil types. However, the soil’s effect on biomass production varied slightly with pit size. For all soil types under the auger method, the root biomass remained the same. However, the loam soil mixture exhibited greater biomass production compared to the other soil types in the remaining pits (Figure 3). Both the native soil with (NMSW) and without spent wash (NM) showed lower and almost identical biomass in the pit, wider pit, and trench methods (Table 2).
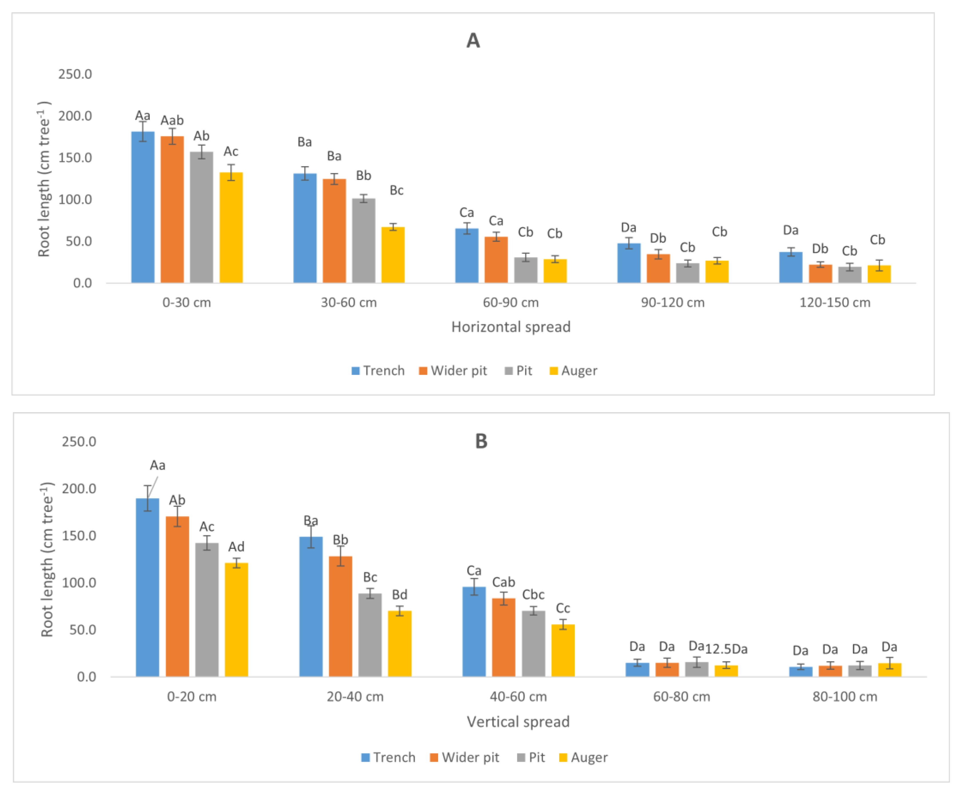
Figure 4 illustrates the root growth pattern in terms of root length distribution with increasing pit depth at the 20 cm vertical interval and 30 cm horizontal distances from the tree trunk. It shows that the root length decreased, and they differed significantly for pit types. At 30 cm away from the trunk, the length of the roots declined significantly with increasing soil depths.
For horizontal distribution, the root length observed at 30, 60, 90, 120, and 150 cm away from the trunk was varied largely for planting pits adapted under the shallow gravelly land situation. At 0–30 and 30–60 cm places, the trench and wider pit produced more lengthier roots compared to pit and auger other pits. The pit method produced significantly more root length compared to the auger method at this interval, whereas both of these methods produced lower and similar lengthier roots, while the trench and wider pit produced roots with greater length. At 90–120 and 120–150 cm intervals away from the trees, only the trench planting produced longer roots (Figure 4A).
In the root length distribution at vertical length, it was found that all the planting methods differed significantly from each other at 0–30 cm and 30–60 cm depths, and the trench method produced lengthier roots than other methods. Nevertheless, all the methods produced lower and similar lengthier roots at 60–90 cm, 90–120 cm, and 120–150 cm intervals of soil depth (Figure 4B).
Root length density, another crucial parameter of root growth, exhibited significant variations across the adapted tree pits and soil types used in the establishment techniques. Both the trench and wider pit methods had the same and lowest RLD (0.08–0.14 cm cm−3) in comparison to the other pits. The auger and pit methods, on the other hand, had greater density values of 0.18–0.24 cm cm−3. Similarly, the soil mixture (NSBS) presented the lowest density (0.15 cm cm−3) when compared to other soil types, which had density values ranging between 0.26 and 0.12 cm cm−3 (Table 3).
However, the application of spent wash to the native soil during tree establishment and the increase in soil depth from 1 m to 2 m without additional soil did not influence any growth parameters of the pomegranate tree (Table 3).

3.3. Effect of Planting Techniques on Nutrient Content of Leaves of the Pomegranate Trees

Table 3 confirms that the concentrations of nutrients in leaves were significantly influenced by both the types of planting pits and soil. The trench method exhibited higher nutrient contents of P and K, at 0.58% and 1.78%, respectively, while the trench and wider pit methods had similar N content, exceeding 1.56%. Similarly, the soil mixture had higher leaf N and P content, at 1.48% and 0.21%, respectively, while there was no significant difference among soil types in terms of potassium content. Moreover, both the native soil with and without spent wash saturation exhibited the same N and P content at 1.43% and 0.19%, respectively.

3.4. Effect of Planting Techniques on Fruit Yield and Quality Parameters of Pomegranate

The fruit yield obtained over the 5-year period from the 4th to the 8th year of plantings varied significantly based on pit size, soil types, and time. Additionally, the yield was influenced by pit size in conjunction with soil types. Among the pit types, the trench planting method (8.00 t ha−1) significantly outperformed other pit methods. Similarly, the combination of native soil and black soil mixture resulted in a high yield of 7.30 t ha−1, surpassing both native soil and native soil saturated with spent wash. The pomegranate yield increased consistently with tree age until the 7th year of planting. Interestingly, the yield in the 8th year appeared to be on par with the previous year’s fruit yield (Table 4). Regarding the interaction effect of pit and soil types, the auger pit method yielded similar results across all three soil types. However, the soil mixture significantly outperformed native soil, and native soil was saturated with spent wash in all other pit types (Figure 5). Furthermore, our investigation explored the relationship between pit volume and fruit yield of the 8-year-old tree. A linear regression model was highly significant, explaining 88% variation in the fruit yield. Further, the analysis revealed that each 1 m³ increase in pit volume corresponded to an additional 0.6 tons ha−1 in fruit yield production from aged trees (Figure 6).
An in-depth analysis of fruit quality parameters has revealed that the type of planting pit significantly impacts fruit size (fruit length and width), fruit juice content, and total soluble solid (TSS) content. Fruits produced from the trench and wider pits were of equal or greater size, measuring 65 cm in length and 63.50 cm in width compared to other methods. Similarly, trench methods produced higher juice content (48.5%) and TSS content (16.05o) compared to other methods. Soil types also had a significant influence on fruit quality parameters under this shallow gravelly land situation. The soil mixture (NSBS) yielded the largest fruit, measuring 62 cm in both dimensions, compared to other soil types (Table 5). The soil mixture also confirmed its greater influence on internal fruit quality parameters such as fruit juice content (45.5%) and TSS content (15.4o) compared to other soil types.

4. Discussion

4.1. Effectiveness of Planting Techniques on Growth and Development of Pomegranate Trees

The marginal land characterized by shallow and gravelly soil types presents limitations due to a higher proportion of coarser fractions (>70% w/w), which replace fertile soil and hinder both above-ground and below-ground biomass growth and development. This is primarily due to severe water and nutrient limitations that restrict root growth and consequently affect above-ground plant parts [4,5,36]. This study revealed that the trench and wider pit methods were most effective in promoting robust growth in pomegranate trees on such shallow skeletal land. Irrespective of soil types, the larger pits with an increase in width of 2–3 m could store water and nutrients to the maximum required for 8-year-old pomegranate trees in the case of regular irrigation as well as during high-intensity rainfall, which are highly crucial for plants during the off-season [9]. These methods resulted in the production of more than 10.32% above-ground biomass, 47.90% more tree crown spread, 21.10% more root biomass, and 40.32% more root length compared to the reduced size of the pit and auger planting methods (Table 3). Similar to our studies,
However, there was no significant effect due to an increase in soil volume by extending depth from one to two meters [3,8]. This indicates the importance of pit dimension for having adequate root space and soil volume in support of optimal root development, nutrient uptake, and overall tree growth [9,37,38].
Soil types used for filling pits also played a significant role, with the soil mixture demonstrating superior growth outcomes compared to other soil types [3]. All pits filled with the soil mixture of loam texture had higher soil volume given unit of land, plant available water, and soil available N, P, and K content compared to native soils, and the farming method (Table 3) highlights that the soil mixture is more important for achieving success in tree development [39].
The comparison with traditional farmer practices further emphasized the effectiveness of modern planting techniques [40,41]. Farming Practice II (NMSW) and Farming Practice I (NM) showed significantly lower growth parameters compared to the tested methods, indicating the potential for adopting improved planting techniques to enhance pomegranate tree growth and yield.

4.2. Influence of Planting Pits and Soil Types on Leaf Nutrient Concentrations

The size of the planting pit significantly affects the nutrient uptake of the fruit tree. Larger pits, such as those used in the trench and wider pit methods, showed superior results in terms of nutrient uptake, as evidenced by the higher concentrations of nitrogen, phosphorus, and potassium in the leaves (Table 3). The trench method, in particular, demonstrated the highest nutrient content (N: 1.58 ± 0.10%, P: 0.28 ± 0.05%, K: 1.78 ± 0.08%). Further, the trench method confirmed that trees could absorb more immobile P and K nutrients far away from the tree root zone, as well as mobilize nutrients (N) [3]. The increase in leaf P and K content was 48.3%-64.7%, while the increase in nitrogen content was distinctly lower at 35.6% compared to the farming methods. These findings underscore the importance of larger planting pits in enhancing nutrient uptake and sustaining higher nutrient concentrations in leaves, which ultimately contribute to better growth, higher fruit quality, and sustainable yield in fruit trees [42,43].
Soil type also played a crucial role in nutrient uptake, fruit yield, and quality. Among the soil types tested, NSBS soil consistently supported better nutrient uptake, resulting in a higher N, P, and K content in the leaves (N: 1.48 ± 0.17%, P: 0.21 ± 0.08%, K: 1.49 ± 0.23%) compared to NSSW and NS soils (Table 4). The superior performance of NSBS soil could be due to its better physical and chemical properties, which facilitate nutrient absorption [4,5,6]. These findings highlight the importance of selecting appropriate soil types to maximize nutrient uptake and ensure sustainable, high-quality fruit production

4.3. Impact of Pit Size and Soil Types on Sustainable Fruit Production and Its Quality Parameters

This study’s comprehensive analysis revealed pivotal insights into the long-term yield sustainability of pomegranate orchards, elucidating the intertwined roles of pit size and soil type [44,45]. Over an 8-year period, larger pit sizes, exemplified by the trench and wider pit methods, consistently showcased superior yield sustainability compared to smaller pits, such as the auger method. This superiority stemmed from their facilitation of robust root development [46], enhanced nutrient uptake [47], and improved soil aeration [48], all of which contributed synergistically to sustained tree vigor and productivity. Concurrently, the influence of soil types emerged as a crucial factor, with NSBS soil standing out for its ability to maintain nutrient availability, optimal pH levels, and conducive soil structure [49], thereby fostering enduring yield sustainability.
The synergy between pit size and soil type was particularly evident in the trench method combined with NSBS soil, culminating in the highest yield sustainability observed in this study [3,17,50]. This amalgamation encapsulated the essence of effective orchard management, highlighting the importance of strategic pit design and soil selection for maximizing long-term productivity in pomegranate cultivation. These findings not only underscore the significance of holistic agricultural practices but also provide actionable insights for growers to optimize orchard sustainability, ensuring continued profitability and environmental resilience in fruit production.
Fruit quality, measured by length, width, juice content, and total soluble solids (TSS), also varied significantly with pit size. The trench method produced the highest quality fruits, with the largest fruit length (65.0 ± 4.97 mm) and width (63.52 ± 5.21 mm), highest juice content (48.5 ± 4.06%), and highest TSS (16.05 ± 1.62 °Brix) (Table 5). The wider pit method also resulted in high-quality fruits, although slightly lower than those from the trench method. Smaller pits and auger methods yielded fruits with lower quality, likely due to less optimal root environments and nutrient supply under the shallow, gravelly barren land situations [51,52].
Fruit quality parameters were also influenced by soil type. Fruits grown in NSBS soil had higher length, width, juice content, and TSS compared to those grown in NSSW and NS soils. For instance, fruits from the trench method in NSBS soil had a length of 65.0 ± 4.97 mm and TSS of 16.05 ± 1.62 °Brix, which were the highest among the soil types tested (Table 5). This indicates that NSBS soil, with its favorable nutrient and water-holding capacities, supports better fruit development [53,54].

4.4. Impact of Pit Volume and Spent Wash Application on Fruit Production

Notably, the research findings revealed that larger pit sizes, particularly those with increased width rather than depth to 2 m, such as trenches and wider pits (ranging from 2–3 m3 in volume), contributed significantly to higher fruit yield and quality when compared to smaller pits within the context of 8-year-old pomegranate trees grown in marginal land that showed a shallow soil depth and a higher gravel stone content. This was the result of significantly higher production of above-ground biomass, root biomass and root length, nutrient uptake, and water storage capacity [39].
Spent wash is a liquid waste produced by the sugar industry, which is rich in nutrient sources, and its application improves soil’s physical and chemical properties. This is the cheapest nutrient source for small and marginal farmers and is widely used in agriculture in the study area [55]. However, in our study, the application of spent wash during seedling planting could not have contributed to fruit production since the effect of spent wash is mostly short-term in nature, and the effect might have been diluted with tree growth over the period [56]. The deepening of pits beyond 1 m without soil filling also did not yield any improvements in fruit production. This lack of improvement can be attributed to the fact that the majority of the roots are concentrated within the upper 0.60 m of soil, indicating that the pomegranate tree is a shallow-rooted tree [3,17].

5. Conclusions

This research provides substantial evidence that pit size and soil type significantly influence the long-term yield sustainability of pomegranate orchards. Over the 8-year cultivation period, larger pit sizes, such as those used in the trench and wider pit methods, consistently produced higher yields compared to smaller pits, such as the auger method. This is attributed to improved root development, nutrient uptake, and soil aeration facilitated by larger pits in the shallow, gravelly land. Among soil types, NSBS soil demonstrated the highest yield sustainability due to its superior nutrient retention, optimal pH levels, and favorable soil structure over the native murrum (mixture of soil and gravel) land situation. The synergy between larger pit sizes and nutrient-rich soils, particularly the combination of the trench or wider pit (2–3 m³) filled to 1 m depth with a mixture of black and native soil (1:1), resulted in the highest yield sustainability, highlighting sustainable planting methods for the cultivation pomegranate in the shallow and gravelly barren land.
These findings emphasize the need for careful consideration of pit design and soil selection to enhance long-term productivity and sustainability in pomegranate cultivation. Adopting these practices can lead to more resilient and profitable orchards, benefiting growers and contributing to sustainable agricultural practices. This research serves as a valuable guide for optimizing pomegranate orchard management to ensure sustained high yields and environmental stewardship from the shallow and gravelly land situation of the Central Deccan Plateau region in India, as well as other parts of the country and the world. However, the adoption of trench or wider pit methods in pomegranate cultivation requires heavy machinery for pit formation, adding to cultivation costs. This aspect may discourage small and marginal farmers from adopting these techniques. Future research should focus on analyzing the cost of cultivation for pomegranates using different planting techniques and the corresponding yield benefits.

Supplementary Materials

The following supporting information can be downloaded at the website of this paper posted on Preprints.org. Table S1: Characteristics of spent wash used for optimization of planting methods for sustainable pomegranate cultivation under the shallow and gravelly land

Author Contributions

R.V. Soil and plant analysis, data collection, data analysis, and writing; K.S.R. writing—review and editing; Y.S. Experimental design and field monitoring; D.D.N. Field monitoring and data collection. All authors have read and agreed to the published version of the manuscript.

Funding

This is a research activtity was carried out under the institute project, Environment-friendly, economically viable, state-of-the-art model farm for abiotic stressed regions, (IXX15700) supported by the Indian Council of Agricultural Research - National Institute of Abiotic Stress Management (ICAR-NIASM). And The APC was funded by National Psoitive solution project [1015311].

Institutional Review Board Statement

Not applicable.

Informed Consent Statement

Not applicable.

Data Availability Statement

The data presented in this study are available on request from the corresponding author. The data are not publicly available due to institution policy.

Acknowledgments

Authors are grateful to ICAR NIASM for giving them the opportunity to conduct field experiments and lab facilities and successful completion of this research work. This research did not receive any specific grant from funding agencies, the public, commercial, or not-for-profit sectors other than the ICRA NIASM institute.

Conflicts of Interest

The authors declare no conflicts of interest

References

  1. Saroj, P.L.; Kumar, R. Recent Advances in Pomegranate Production in India—A Review. Ann. Hortic. 2019, 12, 1–10. [Google Scholar] [CrossRef]
  2. Narayan, P.; Chand, S. Explaining Status and Scope of Pomegranate Production in India: An Economic Analysis. Int. Res. J. Agric. Econ. Stat. 2020, 11. [Google Scholar] [CrossRef]
  3. Marathe, R.A.; Sharma, J.; Dhinesh Babu, K. Identification of Suitable Soils for Cultivation of Pomegranate (Punica Granatum) Cv Ganesh. Indian J. Agric. Sci. 2016, 86, 227–233. [Google Scholar] [CrossRef]
  4. Kheoruenromne, I.; Suddhiprakarn, A.; Watana, S. Properties and Agricultural Potential of Skeletal Soils in Southern Thailand. Agric. Nat. Resour. 2000, 34, 52–63. [Google Scholar]
  5. Devin, S.R.; Prudencio, Á.S.; Mahdavi, S.M.E.; Rubio, M.; Martínez-García, P.J.; Martínez-Gómez, P. Orchard Management and Incorporation of Biochemical and Molecular Strategies for Improving Drought Tolerance in Fruit Tree Crops. Plants 2023, 12, 773–793. [Google Scholar] [CrossRef] [PubMed]
  6. Fulkey, G.; Nooman, H.J. Effects ff Soil Volume on Root Growth and Nutrient Uptake. Dev. Agric. Manag. For. Ecol. 1991, 24, 446–448. [Google Scholar]
  7. Ojasvi, P.R.; Goyal, R.K.; Gupta, J.P. The Micro-Catchment Water Harvesting Technique for the Plantation of Jujube (Zizyphus Mauritiana) in an Agroforestry System under Arid Conditions. Agric. Water Manag. 1999, 41, 139–147. [Google Scholar] [CrossRef]
  8. Mauki, D.; Kilonzo, M. Planting Pit Size Determines Successful Tree Seedling Establishment in Arid and Semi-Arid Region of Tanzania. Environ. Sustain. Indic. 2022, 15, 100197. [Google Scholar] [CrossRef]
  9. Celma, S.; Blate, K.; Lazdiņa, D.; Dūmiņš; K; Neimane, S.; Štāls, T.A.; Štikāne, K. Effect of Soil Preparation Method on Root Development of P. Sylvestris and P. Abies Saplings in Commercial Forest Stands. New For. 2019, 50, 283–290.
  10. Von Carlowitz, P.G.; Wolf, G.V. Open-Pit Sunken Planting: A Tree Establishment Technique for Dry Environments. Agrofor. Syst. 1991, 15, 17–29. [Google Scholar] [CrossRef]
  11. Jo, H.K.; Park, H.M. Effects of Pit Plantings on Tree Growth in Semi-Arid Environments. For. Sci. Technol. 2017, 13, 66–70. [Google Scholar] [CrossRef]
  12. Mohammad, N.; Rajkumar, M.; Singh, K.; Nain, N.P.S.; Singh, S.; Rao, G.R.; Prakasham, U. Spacing, PIT Size and Irrigation Influence Early Growth Performances of Forest Tree Species. J. Trop. For. Sci. 2021, 33, 69–76. [Google Scholar] [CrossRef]
  13. Cardoso, F.C.G.; Marques, R.; Botosso, P.C.; Marques, M.C.M. Stem Growth and Phenology of Two Tropical Trees in Contrasting Soil Conditions. Plant Soil 2012, 354, 269–281. [Google Scholar] [CrossRef]
  14. Sun, H.; Huang, X.; Chen, T.; Zhou, P.; Huang, X.; Jin, W.; Liu, D.; Zhang, H.; Zhou, J.; Wang, Z.; et al. Fruit Quality Prediction Based on Soil Mineral Element Content in Peach Orchard. Food Sci. Nutr. 2022, 10, 1756–1767. [Google Scholar] [CrossRef] [PubMed]
  15. Kumar, G.; Sharma, D.D.; Kuchay, M.A.; Kumar, R.; Singh, G.; Kaushal, B. Effect of Foliar Application of Nutrients on Growth, Yield and Fruit Quality of Pomegranate (Punica Granatum L.) Cv. Bhagwa. Curr. J. Appl. Sci. Technol. 2020, 39, 50–57. [Google Scholar] [CrossRef]
  16. Marathe, R.A.; Sharma, J.; Murkute, A.A. Innovative Soil Management for Sustainable Pomegranate Cultivation on Skeletal Soils. Soil Use Manag. 2018, 34, 258–265. [Google Scholar] [CrossRef]
  17. Nadeem Shah, M.; Wright, D.L.; Hussain, S.; Koutroubas, S.D.; Seepaul, R.; George, S.; Ali, S.; Naveed, M.; Khan, M.; Tanveer Altaf, M.; et al. Organic Fertilizer Sources Improve the Yield and Quality Attributes of Maize (Zea Mays L.) Hybrids by Improving Soil Properties and Nutrient Uptake under Drought Stress. J. King Saud Univ. Sci. 2023, 35, 102570. [Google Scholar] [CrossRef]
  18. Singh, R.; Potekar, S.; Chaudhary, A.; Das, D.; Rane, J.; Pathak, H. Climatic Trends in Western Maharashtra, India; National Institute of Abiotic Stress Management: Pune, India, 2020. [Google Scholar]
  19. Chandra, R.; Suroshe, S.; Sharma, J.; Sharma, J.; Marathe, R.A.; Meshram, D.T. Pomegranate Growing Manual; Indian Council of Agricultural Research: Solapur, India, 2011. [Google Scholar]
  20. Bouyoucos, G.J. Hydrometer Method Improved for Making Particle Size Analyses of Soils 1. Agron. J. 1962, 54, 464–465. [Google Scholar] [CrossRef]
  21. Vincent, K.R.; Chadwick, O.A. Synthesizing Bulk Density for Soils with Abundant Rock Fragments. Soil Sci. Soc. Am. J. 1994, 58, 455–464. [Google Scholar] [CrossRef]
  22. Reichert, J.M.; Albuquerque, J.A.; Kaiser, D.R.; Reinert, D.J.; Urach, F.L.; Carlesso, R. Estimation of Water Retention and Availability in Soils of Rio Grande Do Sul. Rev. Bras. Cienc. Solo 2009, 33, 1547–1560. [Google Scholar] [CrossRef]
  23. Corey, R.B. A Textbook of Soil Chemical Analysis. Soil Sci. Soc. Am. J. 1973, 37, 520. [Google Scholar] [CrossRef]
  24. Walkley, A.J.; Black, I.A. Estimation of Soil Organic Carbon by the Chromic Acid Titration Method. Soil Sci. 1934, 37, 29–38. [Google Scholar] [CrossRef]
  25. Hussain, F.; Malik, K.A. Evaluation of Alkaline Permanganate Method and Its Modification as an Index of Soil Nitrogen Availability. Plant Soil 1985, 84, 279–282. [Google Scholar] [CrossRef]
  26. Olsen, S.R.; Cole, C.V.; Watanabe, F.S. Estimation of Available Phosphorus in Soils by Extraction with Sodium Bicarbonate; US Government Printing Office: Washington, DC, USA, 1954; Volume 939. [Google Scholar]
  27. Williams, C.H.; Steinbergs, A. Soil Sulphur Fractions as Chemical Indices of Available Sulphur in Some Australian Soils. Aust. J. Agric. Res. 1959, 10, 340–352. [Google Scholar] [CrossRef]
  28. McHale, M.R.; Burke, I.C.; Lefsky, M.A.; Peper, P.J.; McPherson, E.G. Urban Forest Biomass Estimates: Is It Important to Use Allometric Relationships Developed Specifically for Urban Trees? Urban Ecosyst. 2009, 12, 95–113. [Google Scholar] [CrossRef]
  29. Marini, R.P.; Barden, J.A.; Sowers, D. Growth and Fruiting Responses of ‘Redchief Delicious’ Apple Trees to Heading Cuts and Scaffold Limb Removal. J. Am. Soc. Hortic. Sci. 2019, 118, 446. [Google Scholar] [CrossRef]
  30. Levillain, J.; Thongo M’Bou, A.; Deleporte, P.; Saint-André, L.; Jourdan, C. Is the Simple Auger Coring Method Reliable for Below-Ground Standing Biomass Estimation in Eucalyptus Forest Plantations? Ann. Bot. 2011, 108, 221–230. [Google Scholar] [CrossRef] [PubMed]
  31. Sochacki, S.J.; Ritson, P.; Brand, B.; Harper, R.J.; Dell, B. Accuracy of Tree Root Biomass Sampling Methodologies for Carbon Mitigation Projects. Ecol. Eng. 2017, 98, 264–274. [Google Scholar] [CrossRef]
  32. Habib, R. Total Root Length as Estimated from Small Sub-Samples. Plant Soil 1988, 108, 267–274. [Google Scholar] [CrossRef]
  33. Pierret, A.; Moran, C.J.; Mclachlan, C.B.; Kirby, J.M. Measurement of Root Length Density in Intact Samples Using X-Radiography and Image Analysis. Image Anal. Stereol. 2000, 19, 145–149. [Google Scholar] [CrossRef]
  34. Tandon, H.L.S. Methods of Analysis of Soils, Plants, Waters, Fertilisers & Organic Manures; CABI: New Delhi, India, 2005. [Google Scholar]
  35. Rahman, M.A.; Stringer, P.; Ennos, A.R. Effect of Pit Design and Soil Composition on Performance of Pyrus Calleryana Street Trees in the Establishment Period. Arboric. Urban For. 2013, 39, 256–266. [Google Scholar] [CrossRef]
  36. Proebsting, L.; Jerie, P.H.; Irvine, J. Water Deficits and Rooting Volume Modify Peach Tree Growth and Water Relations. J. Am. Soc. Hortic. Sci. 2022, 114, 368–372. [Google Scholar] [CrossRef]
  37. Ding, H.; Xue, L.; Liu, H.; Li, L.; Wang, H.; Zhai, M. Influence of Root Volume, Plant Spacing, and Planting Pattern of Tap-like Tree Root System on Slope Protection Effect. Forests 2022, 13, 1925. [Google Scholar] [CrossRef]
  38. Ewetola, E.A.; Oyeyiola, Y.B.; Owoade, F.M.; Farotimi, M.F. Influence of Soil Texture and Compost on the Early Growth and Nutrient Uptake of Moringa Oleifera Lam. Acta Fytotech. Et Zootech. 2019, 22, 26–33. [Google Scholar] [CrossRef]
  39. Ahmed, K.; Mannan, A. Effect of Size of Pit and Spacing on the Performance of Amritsagar Banana. Punjab Fruit J. 1970, 32, 713. [Google Scholar]
  40. de Oliveira, V.P.; Martins, W.B.R.; Rodrigues, J.I.d.M.; Silva, A.R.; Lopes, J.d.C.A.; de Lima Neto, J.F.; Schwartz, G. Are Liming and Pit Size Determining for Tree Species Establishment in Degraded Areas by Kaolin Mining? Ecol. Eng. 2022, 178, 106599. [Google Scholar] [CrossRef]
  41. Ouma, G. Growth Responses of ‘Rough Lemon’ (Citrus Limon L.) Rootstock Seedlings to Different Container Sizes and Nitrogen Levels. Agric. Trop. Et Subtrop. 2006, 39, 183–188. [Google Scholar]
  42. Isaac, M.E.; Borden, K.A. Nutrient Acquisition Strategies in Agroforestry Systems. Plant Soil 2019, 444.
  43. Newman, E.I.; Andrews, R.E. Uptake of Phosphorus and Potassium in Relation to Root Growth and Root Density. 669 Plant Soil 1973, 38. [Google Scholar] [CrossRef]
  44. Dumroese, R.K.; Sung, S.J.S.; Pinto, J.R.; Ross-Davis, A.; Scott, D.A. Morphology, Gas Exchange, and Chlorophyll Content of Longleaf Pine Seedlings in Response to Rooting Volume, Copper Root Pruning, and Nitrogen Supply in a Container Nursery. New For. 2013, 44, 881–897. [Google Scholar] [CrossRef]
  45. Baitelle, D.; Baroni, D.; Vieira, K.; Freitas, S.; Meneghelli, C.; Berilli, S.; Haddade, I.; Verdin-Filho, A. Pit Dimensions in the Early Development of Conilon Coffee Propagated by Seeds and Cuttings. J. Exp. Agric. Int. 2018, 20, 1–8. [Google Scholar] [CrossRef]
  46. Conforth, I.S. Relationships between Soil Volume used by Roots and Nutrient Accessibility. J. Soil Sci. 1968, 19, 291–301. [Google Scholar] [CrossRef]
  47. Vadivel, R.; Singh, Y.; Bal, S.; Rane, J.; Singh, N.P. Sharing Information for “Napier Grass: A Model Crop for Developing Partially Weathered Gravelly Land in the Central Deccan Plateau Region. Proc. Natl. Acad. Sci. India Sect. B Biol. Sci. 2018, 89, 180723. [Google Scholar] [CrossRef]
  48. Sainju, U.M.; Liptzin, D.; Jabro, J.D. Relating Soil Physical Properties to Other Soil Properties and Crop Yields. Sci. Rep. 2022, 12, 22025. [Google Scholar] [CrossRef]
  49. Bravo, K.; Toselli, M.; Baldi, E.; Marcolini, G.; Sorrenti, G.; Quartieri, M.; Marangoni, B. Effect of Organic Fertilization on Carbon Assimilation and Partitioning in Bearing Nectarine Trees. Sci. Hortic. 2012, 137, 100–106. [Google Scholar] [CrossRef]
  50. Li, B.; Wang, J.; Ren, X.; Bao, L.; Zhang, L.; Zhang, L.; Han, M.; Zhang, D. Root Growth, Yield and Fruit Quality of “Red Fuji” Apple Trees in Relation to Planting Depth of Dwarfing Interstock on the Loess Plateau. Eur. J. Hortic. Sci. 2015, 80, 109–116. [Google Scholar] [CrossRef]
  51. Guo, K.; Guo, Z.; Guo, Y.; Qiao, G. The Effects of Soil Nutrient on Fruit Quality of ‘Hayward’ Kiwifruit (Actinidia Chinensis) in Northwest China. Eur. J. Hortic. Sci. 2020, 85, 471–476. [Google Scholar] [CrossRef]
  52. Rato, A.E.; Agulheiro, A.C.; Barroso, J.M.; Riquelme, F. Soil and Rootstock Influence on Fruit Quality of Plums (Prunus Domestica L.). Sci. Hortic. 2008, 118, 218–222. [Google Scholar] [CrossRef]
  53. Loh, F.C.W.; Grabosky, J.C.; Bassuk, N.L. Growth Response of Ficus Benjamina to Limited Soil Volume and Soil Dilution in a Skeletal Soil Container Study. Urban For. Urban Green. 2003, 2, 53–62. [Google Scholar] [CrossRef]
  54. Lu, J.; Shao, G.; Gao, Y.; Zhang, K.; Wei, Q.; Cheng, J. Effects of Water Deficit Combined with Soil Texture, Soil Bulk Density and Tomato Variety on Tomato Fruit Quality: A Meta-Analysis. Agric. Water Manag. 2021, 243, 106427. [Google Scholar] [CrossRef]
  55. Rajagopal, V.; Paramjit, S.M.; Suresh, K.P.; Yogeswar, S.; Nageshwar, R.D.V.K.; Avinash, N. Significance of Vinasses Waste Management in Agriculture and Environmental Quality—Review. Afr. J. Agric. Res. 2014, 9, 2862–2873. [Google Scholar] [CrossRef]
  56. Alburquerque, J.A.; de la Fuente, C.; Campoy, M.; Carrasco, L.; Nájera, I.; Baixauli, C.; Caravaca, F.; Roldán, A.; Cegarra, J.; Bernal, M.P. Agricultural Use of Digestate for Horticultural Crop Production and Improvement of Soil Properties. Eur. J. Agron. 2012, 43, 119–128. [Google Scholar] [CrossRef]
Figure 1. Study site location in the Central Deccan Plateau region (Baramati, Pune District in Maharashtra sate).
Figure 1. Study site location in the Central Deccan Plateau region (Baramati, Pune District in Maharashtra sate).
Preprints 112912 g001
Figure 2. Innovative planting techniques for sustainable pomegranate cultivation in the shallow skeletal land.
Figure 2. Innovative planting techniques for sustainable pomegranate cultivation in the shallow skeletal land.
Preprints 112912 g002
Figure 3. The interaction effect of planting pits and soil types on root biomass (kg tree−1) in shallow and gravelly land (Capital letters indicate differences among pit types, and the small letters indicate differences among soil types).
Figure 3. The interaction effect of planting pits and soil types on root biomass (kg tree−1) in shallow and gravelly land (Capital letters indicate differences among pit types, and the small letters indicate differences among soil types).
Preprints 112912 g003
Figure 4. The variations of root length distribution at (A) horizontal and (B) vertical distances under different planting pits followed under the shallow and gravelly land situation. (Capital letters indicate differences among the spread distances, and the small letters indicate differences among the pit types).
Figure 4. The variations of root length distribution at (A) horizontal and (B) vertical distances under different planting pits followed under the shallow and gravelly land situation. (Capital letters indicate differences among the spread distances, and the small letters indicate differences among the pit types).
Preprints 112912 g004
Figure 5. Effect of pit size and soil types (NSBS—Native and Black Soil mixture, NS—Native Soil and NSSW—Native Soil Saturated with Spent Wash) on pomegranate yield between 4th and 8th years of plantings. (Capital letters indicate differences among pit types, and the small letters indicate differences among soil types).
Figure 5. Effect of pit size and soil types (NSBS—Native and Black Soil mixture, NS—Native Soil and NSSW—Native Soil Saturated with Spent Wash) on pomegranate yield between 4th and 8th years of plantings. (Capital letters indicate differences among pit types, and the small letters indicate differences among soil types).
Preprints 112912 g005
Figure 6. A linear functional relationship between pit volumes (m3) and fruit production (t ha−1) from 8-year-old pomegranate under the shallow and gravelly barren land situation.
Figure 6. A linear functional relationship between pit volumes (m3) and fruit production (t ha−1) from 8-year-old pomegranate under the shallow and gravelly barren land situation.
Preprints 112912 g006
Table 1. Basic physical and chemical properties of soil types that are used in the different pomegranate planting pits under the shallow and gravelly barren land situation.
Table 1. Basic physical and chemical properties of soil types that are used in the different pomegranate planting pits under the shallow and gravelly barren land situation.
Treat No Pits Soil Types CF (%) Sand (%) Silt (%) Clay
(%)
SSV
(m3 Mg−1)
PAW (%) pH (1:2) EC (1:2)
(dS m−1)
SOC (%) N
(kg ha−1)
P
(kg ha−1)
K
(kg ha−1)
T1 Trench NSBS 15.6 42.5 25.2 32.3 0.73 17.5 7.4 0.45 0.42 154.5 8.5 225.2
T2 Trench NSSW 20.5 62.5 19.6 17.9 0.63 11.5 4.6 0.27 0.34 135.5 3.8 223.2
T3 Trench NS 21.2 64.1 19.2 16.7 0.65 12.3 6.7 0.25 0.30 132.5 3.5 216.2
T4 Trench with ED NSBS 15.2 38.3 26.5 35.2 0.68 18.2 7.2 0.42 0.43 156.0 8.2 220.5
T5 Trench with ED NSSW 19.8 70.6 15.1 14.3 0.65 12.6 4.7 0.29 0.32 137.5 4.0 217.3
T6 Trench with ED NS 20.2 71.2 14.3 14.5 0.64 11.8 6.6 0.25 0.28 135.2 3.7 218.5
T7 Wider pit NSBS 15.1 40.6 26.0 33.4 0.69 17.5 7.3 0.40 0.42 158.0 8.0 219.3
T8 Wider pit NSSW 21.8 63.1 19.0 17.9 0.66 12.5 5.2 0.27 0.32 132.5 4.1 217.6
T9 Wider pit NS 20.8 63.8 17.8 18.4 0.65 11.8 6.7 0.29 0.28 134.1 3.9 217.2
T10 Wider Pit with ED NSBS 21.2 38.5 25.5 36.0 0.70 17.3 7.5 0.43 0.45 155.0 8.3 223.2
T11 Wider Pit with ED NSSW 20.5 65.2 18.5 16.3 0.65 11.8 4.7 0.35 0.30 136.2 4.2 220.2
T12 Wider Pit with ED NS 21 66.0 17.2 16.8 0.64 12.4 6.9 0.32 0.27 135.4 3.8 218.2
T13 Pit NSBS 14.8 34.2 30.2 35.6 0.71 18.5 7.5 0.42 0.43 153.0 8.1 223.5
T14 Pit NSSW 21.3 64.0 18.2 17.8 0.64 11.5 4.8 0.27 0.30 134.5 4.3 223.2
15 Pit NS 20.7 70.2 14.5 15.3 0.66 12.6 7.0 0.30 0.26 133.5 3.7 221.5
T16 Pit with ED NSBS 15.9 39.2 25.8 34.7 0.69 18.2 7.3 0.28 0.44 155.0 8.4 220.5
T17 Pit with ED NSSW 20.2 65.0 18.6 16.4 0.65 12.3 4.3 0.35 0.32 136.5 4.0 215.6
T18 Pit with ED NS 20.8 65.4 18.8 15.8 0.64 11.7 6.9 0.25 0.25 132.5 3.6 214.5
T19 Auger NSBS 16.3 37.2 26.0 36.8 0.70 17.8 7.4 0.42 0.43 157.0 8.3 221.5
T20 Auger NSSW 19.8 64.5 19.5 16.0 0.63 11.5 4.0 0.27 0.36 135.2 4.1 219.2
T21 Auger NS 21.2 65.0 19.1 15.9 0.64 12.2 6.9 0.29 0.28 132.2 3.9 218.6
T22 Auger with ED NSBS 15.5 40.0 25.7 34.3 0.67 17.6 7.7 0.43 0.42 156.0 8.6 223.5
T23 Auger with ED NSSW 20.5 66.2 17.8 16.0 0.63 12.0 3.8 0.26 0.32 137.5 3.5 220.1
T24 Auger with ED NS 21 65.1 18.5 15.4 0.65 11.8 6.9 0.35 0.26 134.6 3.7 219.6
T25 Farmer Practice II NMSW 72.5 75.2 12.5 12.3 0.63 11.0 7.5 0.30 0.27 131.0 3.3 192.5
T26 Farmer Practice I NM 74.3 76.3 13.8 9.9 0.65 10.9 7.7 0.35 0.25 130.0 3.1 193.6
CF—Coarse fraction; SSV—Soil specific volume; PAW—Palnt available water; EC—Electrical conductivity; SOC—Soil organic carbon; ED—Enhanced depth; NSBS—Native and black soil mixture; NMSW—Native murrum land saturated with spent wash; NM—Native murrum land.
Table 2. Results of anova p-value for three factorial experiments (Pit type, Soil type, and Soil depth) with a randomized blocked design.
Table 2. Results of anova p-value for three factorial experiments (Pit type, Soil type, and Soil depth) with a randomized blocked design.
Source Pits Soil Depth Pits × Soil Pits × Depth Soil × Depth Pits × Soil × Depth
AGB (kg tree−1) 0.00 0.00 0.79 0.81 0.32 0.11 0.58
Crown spread (m2) 0.00 0.00 0.23 0.55 0.51 0.98 0.90
Root biomass (kg tree−1) 0.00 0.00 0.08 0.000 0.41 0.98 0.30
Root length (m) 0.00 0.00 0.18 0.421 1.0 0.9 1.00
RLD (m3 m−3) 0.00 0.00 0.70 0.650 0.99 0.18 1.00
Nitrogen (%) 0.00 0.00 0.16 0.360 0.72 0.62 1.00
Phosphorous (%) 0.00 0.00 0.68 0.680 0.97 0.19 0.72
Potassium (%) 0.00 0.26 0.67 0.741 0.96 0.81 0.97
Fruit length (mm) 0.000 0.000 0.810 0.920 1.000 0.550 0.920
Fruit width (mm) 0.000 0.000 0.054 0.078 0.800 0.933 0.924
Juice content (%) 0.000 0.000 0.200 0.065 0.129 0.411 0.662
Total soluble solids (o) 0.000 0.000 0.452 0.091 0.633 0.345 0.281
Table 3. The tree growth parameters and leaf nutrients content for pit types, soil depth and soil types under the shallow and gravelly land situation.
Table 3. The tree growth parameters and leaf nutrients content for pit types, soil depth and soil types under the shallow and gravelly land situation.
Treatments Growth Parameters Nutrient Content of Leaf
AGB
(kg tree−1)
Crown Spread (m2) Root Biomass (kg tree−1) Root Length
(m tree−1)
RLD
(cm cm−3)
N (%) P (%) K (%)
Pits
1. Trench 70.6 ± 2.8 a 3.31 ± 0.47 a 24.8 ± 2.4 a 4.6 ± 0.59 a 0.09 ± 0.01 a 1.58 ± 0.10 a 0.28 ± 0.05 a 1.78 ± 0.08 a
2.Wider pit 70.3 ± 3.1 a 3.30 ± 0.40 a 24.4 ± 1.5 a 4.1 ± 0.59 b 0.12 ± 0.01 a 1.56 ± 0.09 a 0.22 ± 0.04 b 1.55 ± 0.07 b
3. Pit 65.7 ± 2.6 b 2.27 ± 0.33 b 24.0 ± 2.0 b 3.3 ± 0.56 c 0.20 ± 0.02 b 1.39 ± 0.07 b 0.16 ± 0.03 c 1.30 ± 0.06 c
4. Auger 62.1 ± 2.5 c 2.19 ± 0.29 b 16.6 ± 1.0 c 2.8 ± 0.48 d 0.21 ± 0.02 c 1.24 ± 0.07 c 0.12 ± 0.03 d 1.29 ± 0.06 d
Soil types
1. NSBS 70.3 ± 4.8 a 2.91 ± 0.67 a 23.6 ± 4.5 a 3.9 ± 0.48 a 0.15 ± 0.03 a 1.48 ± 0.17 a 0.21 ± 0.08 a 1.49 ± 0.23 a
2. NSSW 66.9 ± 4.7 b 2.71 ± 0.64 b 21.0 ± 3.1 b 3.6 ± 0.46 b 0.23 ± 0.02 b 1.43 ± 0.16 b 0.19 ± 0.06 b 1.47 ± 0.20 a
3. NS 66.0 ± 4.3 c 2.69 ± 0.62 b 20.5 ± 3.2 b 3.6 ± 0.40 b 0.25 ± 0.02 b 1.44 ± 0.15 b 0.19 ± 0.05 b 1.48 ± 0.19 a
Farmers method—II 38.0 ± 2.0 1.50 ± 0.21 14.0 ± 0.20 2.6 ± 0.52 0.52 ± 0.01 1.16 ± 0.10 0.18 ± 0.03 1.20 ± 0.07
Farmers method—I 37.5 ± 2.3 1.70 ± 0.23 13.0 ± 2.1 2.5 ± 0.56 0.56 ± 0.01 1.15 ± 0.09 0.17 ± 0.03 1.23 ± 0.09
NSBS—Native and black soil mixture; NS—Native soil of <2 mm; NSSW—Native soil saturated with spent wash; RLD—Root Length Density; AGB—Above ground biomass production including the pruned materials and litterfall.
Table 4. The yield variation among pit types, soil types, and time over the period of 8 years of cultivation of pomegranate.
Table 4. The yield variation among pit types, soil types, and time over the period of 8 years of cultivation of pomegranate.
Treatments Yield (t ha−1) Treatments Yield (t ha−1)
Pit types Time (Years)
Auger 6.37 ± 1.03 d 4th 5.71 ± 0.43 d
Pit 6.70 ± 0.98 c 5th 6.26 ± 0.73 c
Wider pit 7.21 ± 1.09 b 6th 7.01 ± 0.45 b
Trench 7.97 ± 1.17 a 7th 8.15 ± 0.79 a
Soil types 8th 8.18 ± 0.4 a
NS 6.94 ± 1.19 b Farmer—II 5.20 ± 0.70
NSSW 6.96 ± 1.20 b Farmer—I 5.16 ± 0.73
NSBS 7.29 ± 1.26 a
NSBS—Native and black soil mixture; NS—Native soil of <2 mm; NSSW—Native soil saturated with spent wash.
Table 5. The fruit quality parameters vary for pit types, soil depth, and soil types under shallow and gravelly land conditions.
Table 5. The fruit quality parameters vary for pit types, soil depth, and soil types under shallow and gravelly land conditions.
Treatments Fruit Length
(mm)
Fruit Width (mm) Fruit Juice
Content (%)
TSS (°Brix)
Pit types
1.Trench 65.0 ± 4.97 a 63.52 ± 5.21 a 48.5 ± 4.06 a 16.05 ± 1.62 a
2.Wider pit 64.9 ± 5.04 a 63.39 ± 4.35 a 45.0 ± 3.25 b 15.70 ± 1.05 ab
3. Pit 59.6 ± 3.91 b 60.41 ± 2.27 b 42.2 ± 2.75 c 14.70 ± 0.83 b
4. Auger 56.0 ± 2.70 b 50.01 ± 3.25 b 38.7 ± 2.16 d 13.90 ± 1.01 b
Soil types
1. NSBS 61.7 ± 3.90 a 61.76 ± 2.71 a 45.5 ± 2.05 a 15.4 ± 1.18 a
2. NSSW 53.3 ± 3.04 b 56.26 ± 2.43 b 43.3 ± 2.12 b 13.6 ± 0.78 b
3. NS 51.1 ± 4.93 b 55.12 ± 2.36 b 42.9 ± 2.01 c 13.2 ± 0.81 b
Farmers method—II 46.5 ± 3.52 53.2 ± 1.05 35.0 ± 2.50 11.9 ± 1.70
Farmers method—I 44.8 ± 4.70 52.7 ± 1.02 34.4 ± 2.10 11.5 ± 1.60
NSBS—Native and black soil mixture; NSSW—Native soil Saturated with Spent wash; NS—Native Soil.
Disclaimer/Publisher’s Note: The statements, opinions and data contained in all publications are solely those of the individual author(s) and contributor(s) and not of MDPI and/or the editor(s). MDPI and/or the editor(s) disclaim responsibility for any injury to people or property resulting from any ideas, methods, instructions or products referred to in the content.
Copyright: This open access article is published under a Creative Commons CC BY 4.0 license, which permit the free download, distribution, and reuse, provided that the author and preprint are cited in any reuse.
Prerpints.org logo

Preprints.org is a free preprint server supported by MDPI in Basel, Switzerland.

Subscribe

Disclaimer

Terms of Use

Privacy Policy

Privacy Settings

© 2026 MDPI (Basel, Switzerland) unless otherwise stated