Submitted:
04 April 2024
Posted:
05 April 2024
You are already at the latest version
Abstract
Keywords:
1. Introduction
2. Materials and Methods
2.1. Field Research
2.2. Cultivation Technologies
- − Ultrasonic technology, where potato tubers were subjected to a sonication treatment before planting, involving the application of ultrasonic waves in a water environment at a temperature of 18°C. Based on preliminary pilot studies, a sonication time of 10 minutes was adopted.
- − Traditional technology, serving as the control group, involved soaking the tubers in distilled water to eliminate the influence of water on the physiology of potato tubers. The tubers were soaked in distilled water at a temperature of 18°C for 10 minutes.
2.2.1. Construction and Operation of an Ultrasonic Device
2.1. Characteristic of Potato Varieties
2.3. Meteorological Conditions
2.4. Soil Conditions
2.5. Statistical Calculations
3. Results
3.1. Number of Stems per Plant
- −
- Number of seed potatoes: Increasing the number of stems can lead to a higher production of seed potatoes because each stem has the potential to generate more seed potatoes.
- −
- Seed potato weight: When a plant produces more stems, it can lead to an increase in the total weight of seed potatoes because a greater number of stems may result in a higher total mass of produced tubers.
- −
- Potato multiplication rate, which is considered as the ratio of the total mass of harvested potato tubers to the mass of seed potatoes used for cultivation. Increasing the number of stems can potentially affect this rate because a higher number of stems may indicate a higher total mass of harvested tubers, which may lead to a decrease in the multiplication rate if the mass of the harvested potato crop does not increase proportionally to the mass of seed potatoes.
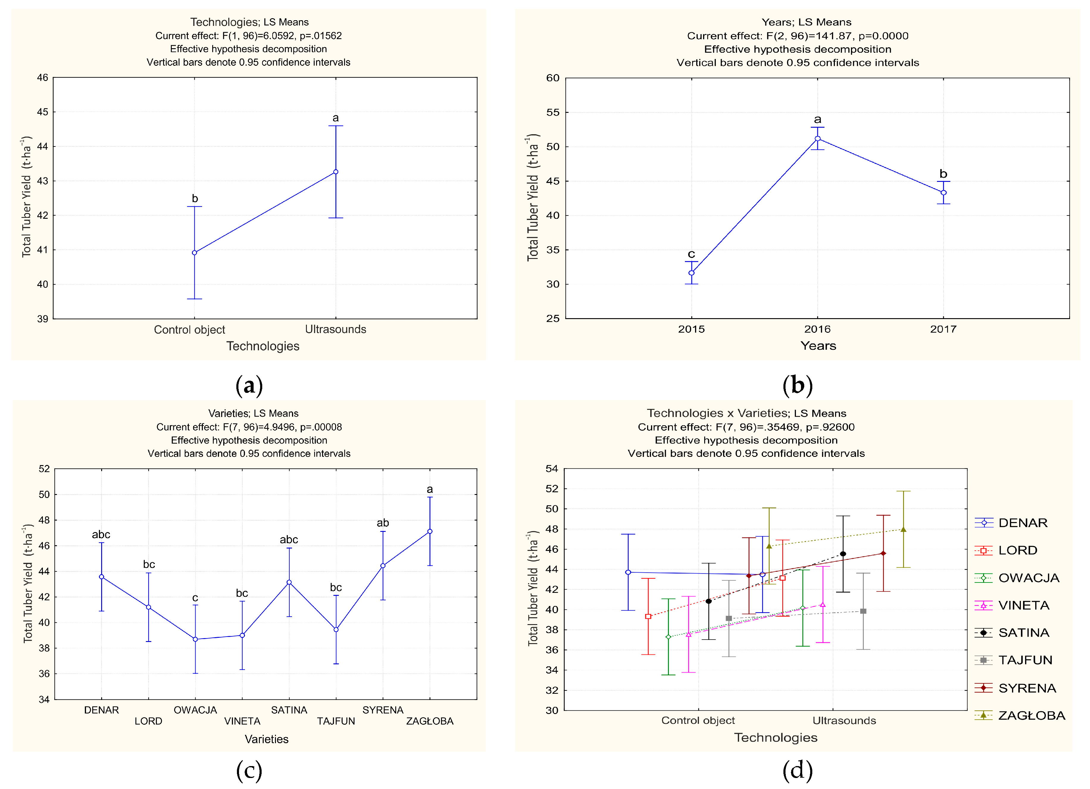
3.2. Total Yield of Tubers
3.3. Yield of Seed Potatoes
3.4. The Share of Seed Potato in the Total Yield
3.4. Number of Seed Potatoes
3.5. The Average Mass of a Seed Potato
3.6. Multiplication Coefficient
3.7. Descriptive Statistics of Potato Traits
- − Number of seed potatoes: Increasing the number of stems can lead to a higher production of seed potatoes since each stem has the potential to generate more seed potatoes.
- − Mass of seed potatoes: When a plant produces more stems, it may result in an increased total mass of seed potatoes, as a greater number of stems can mean a higher combined mass of produced tubers.
- − Potato multiplication ratio: This ratio represents the total mass of harvested potato tubers to the mass of seed potatoes used for cultivation. An increase in the number of stems can potentially affect this ratio, as a higher number of stems may indicate a greater combined mass of harvested tubers, which could lead to a reduction in the multiplication ratio if the mass of the harvested potato yield does not increase proportionally to the mass of the seed potatoes.
4. Discussion
4.1. The Influence of Ultrasound Technology on Plant Growth and Seed Potato Yield
4.2. Variability of Varieties and Their Drought Tolerance
4.3. Impact of Environmental Conditions on Potato Yield and Its Parameters
4.4. Correlations between Potato Tuber Characteristics
5. Toward the Future
- −
- Increased efficiency: Improving potato yield can enhance production efficiency per unit area, potentially reducing the need for new cultivation areas and minimizing pressure on the natural environment by limiting deforestation or marsh drainage.
- −
- Resource optimization: Higher potato yields may mean better utilization of resources such as soil, water, and fertilizers. If ultrasonic technology helps plants utilize available nutrients more efficiently, it could lead to more effective use of natural resources.
- −
- Pesticide reduction: If ultrasonic technology aids plants in coping better with pathogens or pests, it could reduce the need for pesticide applications, contributing to environmental pollution reduction and biodiversity preservation.
- −
- Water consumption reduction: More efficient water use by plants through ultrasonic technology could help reduce water consumption in potato crops, which is significant in water-scarce regions.
- −
- Soil erosion minimization: Increased potato yields may lead to greater soil coverage by plants, potentially reducing soil erosion by maintaining soil structure and decreasing water and wind erosion.
6. Conclusions
Author Contributions
Funding
Data Availability Statement
Acknowledgments
Conflicts of Interest
References
- Manickam, S., Boffito D.C., Flores E.M.M., Leveque J.M, Pflieger R, Pollet B.G, Ashokkumar M. Ultrasonics and sonochemistry: Editors’ perspective. Ultrasonics Sonochemistry, 2023; 99, 106540. [CrossRef]
- Śliwiński, A. Ultrasound and Their Applications; WNT: Warsaw, Poland, 2001; p. 426. [Google Scholar]
- Andersen, C.A., Vela J., Rathleff M.S., Jensen M.B. Point-of-Care Ultrasound in General Practice: A Systematic Review. Ann Fam Med 2019, 17, 61–69. [CrossRef] [PubMed]
- Krawiec, M. Dziwulska-Hunek A., Kornarzyński, K. The use of physical factors for seed quality improvement of horticultural plants. Journal of Horticultural Research 2018, 26, 81–94. [Google Scholar] [CrossRef]
- Marinaccio, L. Zengin, G., Bender, O., Cichelli, A., Novellino, E., Stefanucci, A., Mollica, A. Ultrasound assisted lycopene extraction from tomato skin waste by volatile natural deep eutectic solvent. Food Chemistry Advances, 2024, 4, 100656. [Google Scholar] [CrossRef]
- Sawicka, B. Pszczółkowski P., Danilcenko H., Jariene E. Impact of ultrasounds on physicochemical characteristics of potato tubers. Agronomy Sciences – formely Annales UMCS, sec. E, 2020; 75, 85–104. [Google Scholar] [CrossRef]
- Sadik, E. Hussien, M., Tewodros, A. Effects of seed tuber size on growth and yield performance of potato (Solanum tuberosum L.) varieties under field conditions. African Journal of Agricultural Research, 2018, 13, 2077–2086. [Google Scholar] [CrossRef]
- Diop, P. Sylla, E.S., Diatte, M., Labou, B., Diarra, K. Effect of cut seed tubers and pre-germination on potato tuber yield. International Journal of Biological and Chemical Sciences, 2019, 13, 3144–3156. [Google Scholar] [CrossRef]
- Porter, L.D. Cummings, T.F., Johnson, D.A. Effects of soil-applied late blight foliar fungicides on infection of potato tubers by Phytophthora infestans. Plant Disease, 2006, 90, 964–968. [Google Scholar] [CrossRef] [PubMed]
- Gleń-Karolczyk, K.; Boligłowa, E.; Luty, L. Health Parameters of Potato Tubers under the Influence of Soil Applied Bio-Preparations and Bio-Stimulants Appl. Sci., 2022, 12, 11593. [Google Scholar] [CrossRef]
- Sawicka, B. Physical methods of stimulation of seed a new technology in the production of potatoes. Polish Potato, 2013, 1, 13–18. (in Polish). [Google Scholar]
- Pietruszewski, S. Improvement of the quality of seed material of crops cultivated by physical methods. [In:] New Trends in Agrophysics. Eds. Dobrzański J., Grundas S., Nawrocki S., Rybczyński R. Scientific Publishing House FRNA, Lublin: 2008, pp. 71–72.
- Jakubowski, T. The influence of microwave stimulation on potato seedlings on the growth and development of offspring plants. Agricultural Engineering 2007, 6, 49–56. (in Polish). [Google Scholar]
- Natural Resources Conservation Service Soils. Soil Texture Calculator. United States Department of Agriculture. Soil Classification. 2021. Available online: https://www.nrcs.usda.gov/wps/portal/nrcs/detail/soils/survey/?cid=nrcs142p2_054167 (accessed on 29 January 2024).
- Lenartowicz, T. Potato. Methodology of Economic Value Analysis of Cultivars (WGO). Publishing House: COBORU, Słupia Wielka, Poland, 2013; pp. 34.
- The Ministry of Agriculture and Rural Development. Usual good agricultural practice. Publisher: Foundation for Assistance Programs for Agriculture, Warsaw, Poland, 2003; pp. 56, ISBN: 83-88010-63-8 (in Polish).
- Bleinholder, H.L. Weber E., Buhr L., Feller C., Hess M., Wicke H., Meier U., Van Den Boom T., Lancashire P., Buhr D.L., Hack H., Klose R., Stauss R. Compendium of growth stage identification keys for mono- and dicotyledonous plants. BBCH Monograph 2. Edition, 2001 Edited by the Federal Center for Agricultural and Forest Biological Research Uwe Meier. [CrossRef]
- Regulation of the Minister of Agriculture and Rural Development of November 5, 2014. Journal of Laws of the Republic of Poland, Warsaw, November 26, 2014, Item 165. (Journal of Laws, item 1512, and of 2013, item 865). (in Polish.
- Terefe, N.S. Sikes A.L, Juliano P. Chapter 8. Ultrasound for the structural modification of food products. Ed. Kai Knoerzer Pablo Juliano Geoffrey Smithers Innovative food processing technologies. Publisher's address: Woodhead Publishing Publication date, 2016, ISBN: 9780081002940, eBook ISBN: 9780081002988 209–230. [CrossRef]
- Lenartowicz, T. Descriptive List of Agricultural Cultivars; COBORU Publishing House: Słupia Wielka, Poland, 2017; p. 38, (In Polish). ISSN 1641-7003. [Google Scholar]
- Skowera, B. Changes of hydrothermal conditions in the Polish area (1971−2010). Fragm. Agron. 2014, 31, 74–87. [Google Scholar]
- WRB, 2014. World reference base for soil resources. International soil classification system for naming soils and creating legends for soil maps. World Soil Resources Reports. 106, 2014.
- SAS Institute Inc. SAS/STAT®9.2 User’s Guide; SAS Institute Inc.: Cary, NC, USA, 2008. [Google Scholar]
- Bordens, K.S. Abbott, B.B. Research Design and Methods. A Process Approach, Seventh Edition, McGraw-Hill, New York 2008, s. 432.
- Nowacka, M. Wedzik M. The effect of ultrasound treatment on the microstructure, color and content of carotenoids in fresh and dried carrot tissue. Applied Acoustics 2016, 103, 163–171. [Google Scholar] [CrossRef]
- Ozunan, C. Cárcel J.A., García-Pérez J.V., Mulet A. Improvement of water transport mechanisms during potato drying by applying ultrasound. J. Sci. Food Agric. 2011, 91, 2511–2517. [Google Scholar] [CrossRef]
- Pan, Y. Chen L., Pang L., Chen X., Jia X., Li X. Ultrasound treatment inhibits browning and improves the antioxidant capacity of freshly cut sweet potatoes during refrigerated storage. RSC Adv. 2020, 10, 9193–9202. [Google Scholar] [CrossRef] [PubMed]
- Mierzwa, D.; Szadzińska, J.; Radziejewska-Kubzdela, E.; Biegańska-Marecik, R. Ultrasound-Assisted Vacuum Impregnation as a Strategy for the Management of Potato By-Products. Sustainability 2021, 13, 3437. [Google Scholar] [CrossRef]
- Boguszewska-Mańkowska, D. Pieczyński M., Wyrzykowska A., Kalaji H.M., Sieczko L., Szweykowska-Kulińska Z., Zagdańska B. Divergent strategies displayed by potato (Solanum tuberosum L.) cultivars to cope with soil drought. Journal of Agronomy and Crop Science, 2018; 204, 13–30. [Google Scholar] [CrossRef]
- Boguszewska-Mańkowska, D. Zarzyńska K., Nosalewicz A. Drought Differentially Affects Root System Size and Architecture of Potato Cultivars with Differing Drought Tolerance. American Journal of Potato Research, 2020, 97, 54–62. [Google Scholar] [CrossRef]
- Boguszewska-Mańkowska, D. Ruszczak B., Zarzyńska K. Classification of Potato Varieties Drought Stress Tolerance Using Supervised Learning. Applied Sciences, 2022, 12, 1939. [Google Scholar] [CrossRef]
- Grudzińska, M. Boguszewska-Mańkowska D., Zarzyńska K. Drought stress during the growing season: Changes in reducing sugars, starch content and respiration rate during storage of two potato cultivars differing in drought sensitivity. Journal of Agronomy and Crop Science 2022, 208, 609–620. [Google Scholar] [CrossRef]
- Zarzyńska, K.; Boguszewska-Mańkowska, D.; Feledyn-Szewczyk, B.; Jończyk, K. The Vigor of Seed Potatoes from Organic and Conventional Systems. Agriculture 2022, 12, 1764. [Google Scholar] [CrossRef]
- Sawicka, B. Noaema AH., Hameed ST., Skiba D. Genotype and environmental variability of chemical elements in potato tubers, Acta Scientiarum Polonorum, Technologia Alimentaria, 2016, 15, 79-91.
- Boguszewska-Mańkowska, D. Zarzyńska K., Wasilewska-Nascimento B. Potato (Solanum tuberosum L.) Plant Shoot and Root Changes under Abiotic Stresses. Yield Response Plants 2022, 11, 3568. [Google Scholar] [CrossRef]
- Boguszewska-Mańkowska, D. Gietler M., Nykiel M. Comparative proteomic analysis of drought and high temperature response in roots of two potato cultivars. Plant Growth Regulation 2020, 92, 345–363. [Google Scholar] [CrossRef]
- Zarzyńska, K. Trawczyński, C., Pietraszko, M. Environmental and Agronomical Factors Limiting Differences in Potato Yielding between Organic and Conventional Production System. Agriculture 2023, 13, 901. [Google Scholar] [CrossRef]
- Barbaś, P. Sawicka B. The influence of methods of potato weed control and meteorological conditions on shaping the tuber yield structure. Agronomy Science – formerly Annales UMCS sectio E Agricultura 2019, 74, 33–45. [Google Scholar]
- Priegnitz, U. Lommen, W.J.M., van der Vlugt, R.A.A. et al. Potato Yield and Yield Components as Affected by Positive Selection During Several Generations of Seed Multiplication in Southwestern Uganda. Potato Res. 2020, 63, 507–543. [Google Scholar] [CrossRef]
- Sadawarti, M.J. Singh SP., Buckseth T., Devi S., Singh R.K., Kumar V., Katare S., Singh B., Khambalkar P.A., Samadhiya R.K., Singh Y.P. Elements Affecting Seed Potato Quality In India - A Review. International Journal of Bio-resource and Stress Management 2023, 14, 1592–1607. [Google Scholar] [CrossRef]
- Muhie, S.H. Physiological, growth and yield response of potato (Solanum tuberosum L.) to heat stress. Potato Res, 2022, 49, 104–115. [Google Scholar]
- Gu, J. Struik PC., Evers JB., Lertngim N, Lin R., Driever S.M. Quantifying differences in plant architectural development between hybrid potato (Solanum tuberosum) plants grown from two types of propagules. Annals of Botany, 2023; 20, 1–13, Available online at www.academic.oup.com/aob (accessed 27.03.2024). [Google Scholar] [CrossRef]
- Islam, M. Li, S. Identifying Key Crop Growth Models for Rain-Fed Potato (Solanum tuberosum L.) Production Systems in Atlantic Canada: A Review with a Working Example. Am. J. Potato Res. 2023, 100, 341–361. [Google Scholar] [CrossRef]
- Specialized Section on Standardization of Seed Potato (GE.6) Chairperson’s report to the Working Party on Agricultural Quality Standards 13-15 November 2023. Fiftieth session of the Specialized Section on Standardization of Seed Potatoes, Geneva, Switzerland. chrome-extension://efaidnbmnnnibpcajpcglclefindmkaj/https://unece.org/sites/default/files/2023-12/Item7-HannaKortemaa-SeedPotatoes.pdf (accessed 27 March 2024). 2024.
- Silva Filho JB, Fontes PCR, Ferreira JFdS, Cecon PR, Santos MFSd. Best Morpho-Physiological Parameters to Characterize Seed-Potato Plant Growth under Aeroponics: A Pilot Study. Agronomy 2024, 14, 517. [Google Scholar] [CrossRef]
- Bolakhe, K. Dhakal KH., Nepal S., Dahal R. Economic Analysis of Potato Basic Seed Production Under Contract Farming in Kavrepalanchok, Nepal. International Journal of Agricultural Economics 2022, 7, 4–10. [Google Scholar] [CrossRef]






| Autum 2014 – 2016 | ||||
|---|---|---|---|---|
| Tillage | ||||
| winter plowing to a depth of about 27 cm | ||||
| Herbicides for forecrop | ||||
|
− Lentipur Flo 500 SC - 1 dm3.ha-1 (Autumn 2014) − Snajper 600 SC - 1 dm3.ha-1 (Autumn 2014) − Glean 75 WG – 0.01 kg.ha-1 ( Autumn 2014) − Bizon – 1 dm3.ha-1 (Autumn 2015) − Lentipur Flo 500 SC - 1 dm3.ha-1 (Autumn 2016) − Snajper 600 SC - 1 dm3.ha-1 (Autumn 2016) − Glean 75 WG – 0.01 kg.ha-1 (Autumn 2016) | ||||
| Spring 2015 | Spring 2016 | Spring 2017 | ||
| Tillage and agricultural processes | ||||
| ||||
| Fungicides | ||||
|
|
|
||
| Insecticides | ||||
|
|
|
||
| Varieties | Peel color | Flesh color | Culinary type | Taste on a scale of 9° | Starch content (%) |
| Very early varieties | |||||
| ‘Denar’ | yellow | light yellow | AB | 7.0 | 12.3 |
| ‘Lord’ | yellow | light yellow | AB | 7.0 | 12.4 |
| Early varieties | |||||
| ‘Owacja’ | yellow | light yellow | B-BC | 7.0 | 13.5 |
| ‘Vineta’ | yellow | yellow | AB | 7.0 | 13.7 |
| Moderately variety | |||||
| ‘Satina’ | yellow | yellow | B | 7.5 | 12.8 |
| ‘Tajfun’ | yellow | yellow | B-BC | 7.0 | 16.5 |
| Moderately late | |||||
| ‘Syrena’ | yellow | yellow | B | 7.0 | 15.4 |
| ‘Zagłoba’ | yellow | yellow | B | 7.0 | 12.6 |
| Year | Month | Month Rainfall [mm] |
% of the long-term average* | Mean Air temperature [°C] |
Deviation from the long-term norm [C°]** | Hydrothermal coefficient of Sielianinov*** |
| 2015 | April | 61.8 | 171.7 | 8.8 | 0.9 | 2.3 |
| May | 120.3 | 200.5 | 12.8 | - 0.9 | 3.0 | |
| Juni | 46.7 | 66.7 | 16.7 | - 0.1 | 0.9 | |
| July | 45.2 | 60.3 | 19.4 | 0.6 | 0.8 | |
| August | 6.1 | 8.7 | 21.4 | 3.7 | 0.1 | |
| September | 130.2 | 260.4 | 15.5 | 2.8 | 2.8 | |
| Total | 410.3 | |||||
| 2016 | April | 47.1 | 127.3 | 10.0 | 2.0 | 1.6 |
| May | 46.3 | 78.5 | 15.3 | 1.5 | 1.0 | |
| Juni | 87.3 | 124.7 | 19.1 | 2.3 | 1.5 | |
| July | 114.1 | 152.1 | 20.5 | 1.6 | 1.8 | |
| August | 41.0 | 60.3 | 19.5 | 1.7 | 0.7 | |
| September | 11.8 | 23.1 | 15.5 | 2.6 | 0.3 | |
| Total | 347.6 | |||||
| 2017 | April | 51.8 | 140.0 | 8.1 | 0.1 | 2.1 |
| May | 65.5 | 107.4 | 13.7 | - 0.1 | 1.5 | |
| Juni | 23.1 | 33.0 | 18.3 | 1.5 | 0.4 | |
| July | 132.0 | 176.0 | 19.4 | 0.5 | 2.2 | |
| August | 27.0 | 39.7 | 20.3 | 2.5 | 0.4 | |
| September | 83.3 | 163.3 | 14.8 | 1.9 | 1.9 | |
| Total | 382.7 |
| Year of Research | Content of macronutrients [g. kg-1 of soil] |
Humus content [g.kg−1] |
pH [KCL] |
||
| P | K | Mg | |||
| 2015 | 89 | 109 | 78 | 0.94 | 5.9 |
| 2016 | 83 | 91 | 70 | 1.06 | 5.8 |
| 2017 | 106 | 98 | 63 | 1.03 | 6.6 |
| Mean | 93 | 99 | 70 | 1.02 | - |
| Cultivars | Technologies | Years | Mean | |||
| Traditional | Ultrasound | 2015 | 2016 | 2017 | ||
| ‘Denar’ ‘Lord’ ‘Owacja’ ‘Vineta’ ‘Satina’ ‘Tajfun’ ‘Syrena’ ‘Zagłoba’ |
4.75 a 3.76 a 3.95 a 4.30 a 4.70 a 3.98 a 4.62 a 3.50 a |
4.80 a 4.20 a 4.16 a 4.57 a 4.90 a 4.06 a 4.38 a 3.37 a |
3.56 a 3.54 a 3.68 a 3.48 a 4.08 a 3.20 ab 4.06 a 2.89 b |
5.83 a 4.82 ab 4.00 b 5.06 a 5.33 a 4.72 ab 4.77 ab 4.21 b |
4.94 a 3.60 b 4.49 a 4.76 a 4.99 a 4.13 a 4.67 a 3.21 b |
4.78 a 3.98 c 4.06 bc 4.44 ab 4.80 a 4.02 bc 4.50 ab 3.44 d |
| Mean | 4.19 b | 4.31 a | 3.56 c | 4.84 a | 4.35 b | 4.25 |
| Cultivars | Technologies | Years | Mean | |||
| Traditional | Ultrasound | 2015 | 2016 | 2017 | ||
| ‘Denar’ ‘Lord’ ‘Owacja’ ‘Vineta’ ‘Satina’ ‘Tajfun’ ‘Syrena’ ‘Zagłoba’ |
40.25 a* 34.93 a 34.22 a 33.75 a 37.01 a 36.90 a 39.60 a 37.04 a |
40.19 a 39.80 a 36.00 a 35.76 a 42.77 a 37.87 a 42.24 a 38.96 a |
27.06 a 28.06 a 30.09 a 26.01 a 35.33 a 27.20 a 34.80 a 31.78 a |
48.76 a 44.98 a 41.31 a 41.20 a 42.78 a 47.51 a 46.56 a 46.21 a |
44.84 a 39.07 a 33.93 b 37.04 ab 41.56 a 37.44 ab 41.40 a 36.00 ab |
40.22 a 37.37 ab 35.11 b 34.75 b 39.89 a 37.39 ab 40.90 a 38.00 a |
| Mean | 36.71 b | 39.20 a | 30.04 c | 44.91 a | 38.91 b | 37.95 |
| Cultivars | Technologies | Years | Mean | |||
| Traditional | Ultrasound | 2015 | 2016 | 2017 | ||
| ‘Denar’ ‘Lord’ ‘Owacja’ ‘Vineta’ ‘Satina’ ‘Tajfun’ ‘Syrena’ ‘Zagłoba’ |
93.0 a 89.4 a 92.4 a 90.5 a 91.2 a 94.5 a 91.9 a 81.3 b |
92.8 a 92.5 a 90.5 a 89.4 b 94.2 a 95.2 a 92.8 a 83.2 b |
94.3 a 94.7 a 95.2 a 94.7 a 96.0 a 94.6 a 95.1 a 93.4 a |
89.9 a 89.7 a 87.8 a 86.0 b 89.0 a 94.5 a 89.8 a 77.0 b |
94.6 a 88.4 b 91.4 a 89.1 a 92.1 a 95.6 a 92.1 a 76.3 b |
92.9 ab 90.9 b 91.5 b 89.9 b 92.7 ab 94.9 a 92.3 ab 82.2 c |
| Mean | 90.5 a | 91.3 a | 94.7 a | 88.0 c | 90.1 b | 90.9 |
| Varieties | Technologies | Years | Mean | |||
| Traditional | Ultrasound | 2015 | 2016 | 2017 | ||
| ‘Denar’ ‘Lord’ ‘Owacja’ ‘Vineta’ ‘Satina’ ‘Tajfun’ ‘Syrena’ ‘Zagłoba’ |
324.1 a 280.0 a 291.6 a 296.9 a 315.3 a 302.1 a 296.4 a 295.0 a |
336.3 a 318.7 ab 314.1 ab 297.6 b 384.9 a 333.3 a 316.9 ab 311.1 ab |
266.9 a 261.8 a 300.3 a 267.8 a 321.8 a 269.1 a 293.3 a 287.8 a |
332.7 a 314.7 a 302.4 a 295.3 a 323.3 a 331.1 a 290.9 a 337.6 a |
391.1 a 321.6 ab 305.8 b 328.7abc 405.1 a 352.9 a 335.8abc 283.8 b |
330.2 a 299.3 b 302.9 b 297.3 b 350.1 a 317.7 ab 306.7 b 303.0 b |
| Mean | 300.2 b | 326.6 a | 283.6 c | 316.0 b | 340.6 a | 313.4 |
| Varieties | Technologies | Years | Mean | |||
| Traditional | Ultrasound | 2015 | 2016 | 2017 | ||
| ‘Denar’ ‘Lord’ ‘Owacja’ ‘Vineta’ ‘Satina’ ‘Tajfun’ ‘Syrena’ ‘Zagłoba’ |
122 ab 123 a 117 ab 113 b 118 ab 121 ab 136 a 126 a |
119 a 125 a 114 b 119 a 112 b 113 b 134 a 124 a |
101 a 107 a 100 a 96 a 109 a 101 a 118 a 110 a |
147 a 144 a 136 ab 139 ab 133 b 144 a 163 a 138 ab |
115 a 122 a 111 a 112 a 103 a 106 a 124 a 128 a |
121 b 124 b 116 bc 116 bc 115 bc 117 bc 135 a 125 b |
| Mean | 122 a | 120 a | 105 c | 143 a | 115 b | 121 |
| Varieties | Technologies | Years | Mean | |||
| Traditional | Ultrasound | 2015 | 2016 | 2017 | ||
| ‘Denar’ ‘Lord’ ‘Owacja’ ‘Vineta’ ‘Satina’ ‘Tajfun’ ‘Syrena’ ‘Zagłoba’ |
8.1 a 7.0 b 7.3 a 7.4 a 7.9 a 7.6 a 7.4 a 7.4 a |
8.4 ab 7.9 b 7.8 b 7.4 c 9.6 a 8.3 ab 7.9 b 7.8 b |
6.7 a 6.5 a 7.5 a 6.7 a 8.0 a 6.7 a 7.3 a 7.2 a |
8.3 a 7.9 a 7.6 a 7.4 a 8.1 a 8.3 a 7.3 a 8.4 a |
9.8 a 8.0 a 7.6 b 8.2 a 10.1 a 8.8 a 8.4 a 7.0 b |
8.3 ab 7.5 b 7.6 b 7.4 b 8.8 a 7.9 ba 7.7 b 7.6 b |
| Mean | 7.5 b | 8.2 a | 7.1 c | 7.9 b | 8.5 a | 7.8 |
| Specification | y | x1 | x2 | x3 | x4 | x5 | x6 |
| Mean | 4.25 | 42.09 | 37.95 | 90.92 | 313.39 | 121.03 | 7.83 |
| Standard error | 0.07 | 0.86 | 0.71 | 0.50 | 4.41 | 1.67 | 0.11 |
| Median | 4.26 | 43.20 | 39.60 | 92.45 | 310.00 | 118.00 | 7.75 |
| Standard deviation | 0.87 | 10.32 | 8.46 | 5.97 | 52.86 | 19.99 | 1.32 |
| Kurtosis | 0.54 | -0.60 | -0.74 | 1.91 | 0.46 | 1.43 | 0.46 |
| Skewness | -0.16 | -0.18 | -0.34 | -1.41 | 0.44 | 0.84 | 0.44 |
| Range | 5.64 | 52.07 | 37.13 | 29.32 | 296.00 | 129.00 | 7.40 |
| Minimum | 1.03 | 18.87 | 17.93 | 68.86 | 194.67 | 78.00 | 4.87 |
| Maximum | 6.67 | 70.93 | 55.07 | 98.18 | 490.67 | 207.00 | 12.27 |
| Coefficient of variation (%) | 20.40 | 24.53 | 22.30 | 6.56 | 16.87 | 16.52 | 16.87 |
Disclaimer/Publisher’s Note: The statements, opinions and data contained in all publications are solely those of the individual author(s) and contributor(s) and not of MDPI and/or the editor(s). MDPI and/or the editor(s) disclaim responsibility for any injury to people or property resulting from any ideas, methods, instructions or products referred to in the content. |
© 2024 by the authors. Licensee MDPI, Basel, Switzerland. This article is an open access article distributed under the terms and conditions of the Creative Commons Attribution (CC BY) license (https://creativecommons.org/licenses/by/4.0/).
