Submitted:
03 April 2024
Posted:
04 April 2024
You are already at the latest version
Abstract
Keywords:
1. Introduction
2. Sample
2.1. The Literature Data
3. Multi–Band Radio Variability
3.1. Variability Estimates
3.2. Refractive Interstellar Scintillation
3.3. Variability Characteristics
4. Peaked-Spectrum Sources at High Redshifts
4.1. Rest Frame Peak Frequency and FWHM
4.2. Spectral Variability of Identified HFP/GPS/MPS Quasars
4.3. New GPS/MPS Candidates
4.4. HFP Candidates
5. Discussion
5.1. Variability Properties
5.2. Population of Peaked Spectrum Sources at High Redshifts
6. Summary
- The quasars show a wide spread of radio variability on any time scale of the measurements. About half of the objects in the sample show a variability level (25–50%) comparable to that of the blazars at low redshifts. Some quasars demonstrate flux density variations of up to 60–90% at 8.2–22.3 GHz. The median values of modulation index M, fractional variability , and variability index are about 0.20 at 2.3–8.2 GHz and are higher at 22.3 GHz (0.28–0.36). The proportion of sources with low variability of varies from 8 to 20% at different frequencies.
- The distribution of the variability index is significantly different at 22.3 GHz compared to lower frequencies, demonstrating the peak at higher levels of variability. This suggests that the emission from the compact core dominates at higher frequencies, while at lower frequencies, the emission from jet components could blend with the core emission, shifting the distribution peak to lower values. In general, the variability we obtained at the range from dozens to about a hundred GHz in the rest frame is attributed to the dominating core component in quasars.
- Several quasar groups with distinctive variability characteristics were found. Six highest-redshift quasars demonstrate average variability of about 0.50 and at a shorter time scale than the others.
- Among the 23 GPS and MPS sources reported previously, only six objects show low radio variability (). We propose seven new candidates for GPS sources (J0100−2708, J0839+2002, J0933+2845, J1301+1904, J1401+1513, J1521+1756, and J2314+0201) and five new MPS candidates (J0214+0157, J0905+0410, J1045+3142, J1418+4250, and J2019+1127) based on the analysis of their spectral parameters and radio variability. We found that about 18 and 9% of the sample of bright quasars at are GPS and MPS candidates, respectively.
- A peaked spectrum is a typical feature of blazars at high redshifts, and this distinguishes them from the flat spectrum low-redshift blazars. The radio variability exceeding more than 30% in high redshift PS sources is common for blazars.
Author Contributions
Funding
Institutional Review Board Statement
Informed Consent Statement
Data Availability Statement
Acknowledgments
Conflicts of Interest
Abbreviations
| AGN | Active galactic nuclei |
| CSO | Compact symmetric object |
| FWHM | Full width at half maximum |
| GPS | Gigahertz peaked-spectrum |
| HFP | High-frequency peaker |
| MPS | Megahertz peaked-spectrum |
| PS | peaked radio spectrum |
| RISS | Refractive interstellar scintillation |
Appendix A. Sample Parameters
| NVSS name | z | Morph. | Morph. | Spectral | Blazar | Cluster | |||
| (Jy) | type | ref. | type | type | |||||
| 1 | 2 | 3 | 4 | 5 | 6 | 7 | 8 | 9 | 10 |
| 000108+191434 | 3.10 | c+j | 10 | upturn | FSRQ | 3 | |||
| 000657+141546 | 3.20 | c+j | 1 | peaked | 2 | ||||
| 004858+064005 | 3.58 | cso | 8 | peaked | 1 | ||||
| 010012−270852 | 3.52 | c+j | 10 | peaked | 1 | ||||
| 012100−280623 | 3.11 | c+j | 10 | peaked | FSRQ | 3 | |||
| 013113+435812 | 3.12 | c+j | 2 | complex | 3 | ||||
| 014844+421518 | 3.24 | upturn | FSRQ | 2 | |||||
| 015106+251729 | 3.10 | c+j | 10 | flat | 3 | ||||
| 020346+113445 | 3.63 | c+j | 10 | peaked | FSRQ | 4 | |||
| 021435+015702 | 3.28 | c+j | 10 | peaked | 2 | ||||
| 023220+231756 | 3.42 | c+j | 10 | peaked | 1 | ||||
| 024611+182330 | 3.59 | c+j | 1 | peaked | FSRQ | 4 | |||
| 025759+433836 | 4.06 | c+j | 5 | inverted | 1 | ||||
| 032444−291821 | 4.63 | c+j | 5 | inverted | FSRQ | 0 | |||
| 033755−120404 | 3.44 | c+j | 10 | flat | FSRQ | 1 | |||
| 033900−013317 | 3.19 | c+j | 10 | flat | FSRQ | 2 | |||
| 035424+044107 | 3.26 | c+j | 10 | complex | 4 | ||||
| 042457+080517 | 3.09 | c+j | 10 | inverted | FSRQ | 2 | |||
| 042835+173223 | 3.32 | c+j | 10 | flat | FSRQ | 4 | |||
| 052506−233810 | 3.1 | c+j | 10 | inverted | FSRQ | 4 | |||
| 052506−334304 | 4.41 | c+j | 5 | peaked | Uncert. | 0 | |||
| 053954−283956 | 3.10 | c+j | 10 | peaked | FSRQ | 4 | |||
| 062419+385648 | 3.46 | c+j | 10 | peaked | FSRQ | 4 | |||
| 064632+445116 | 3.39 | c+j | 10 | peaked | FSRQ | 4 | |||
| 073357+045614 | 3.01 | c+j | 10 | peaked | FSRQ | 4 | |||
| 075141+271631 | 3.20 | peaked | 2 | ||||||
| 075303+423130 | 3.59 | cso | 8 | peaked | 1 | ||||
| 083322+095941 | 3.75 | c+j | 1 | flat | 1 | ||||
| 083910+200208 | 3.03 | c+j | 10 | peaked | 3 | ||||
| 084715+383110 | 3.18 | c | 4 | inverted | 2 | ||||
| 090549+041010 | 3.15 | c+j | 1 | peaked | 2 | ||||
| 090915+035443 | 3.20 | c+j | 4,9 | flat | 3 | ||||
| 091551+000712 | 3.07 | T | 4 | flat | FSRQ | 2 | |||
| 093337+284532 | 3.42 | E | 4 | peaked | 1 | ||||
| 094113+114533 | 3.19 | c+j | 1 | flat | 3 | ||||
| 101644+203746 | 3.11 | c+j | 1 | complex | FSRQ | 4 | |||
| 102010+104003 | 3.15 | steep | 2 | ||||||
| 102107+220921 | 4.26 | c+j | 5 | flat | 1 | ||||
| 102623+254259 | 5.28 | c+j | 5 | peaked | FSRQ | 0 | |||
| 102645+365825 | 3.25 | c | 4 | flat | 3 | ||||
| 102838−084438 | 4.27 | c+j | 5 | flat | FSRQ | 0 | |||
| 103626+132654 | 3.09 | T | 3 | steep | 3 | ||||
| 104523+314232 | 3.23 | c | 4 | peaked | 2 | ||||
| 110147+001038 | 3.69 | c | 4 | steep | 1 | ||||
| 112500+333858 | 3.43 | steep | 2 | ||||||
| 112851+232616 | 3.04 | E | 4 | flat | 2 | ||||
| 115016+433206 | 3.03 | c | 4 | inverted | FSRQ | 3 | |||
| 123055−113910 | 3.52 | c+j | 8 | peaked | FSRQ | 4 | |||
| 124209+372005 | 3.81 | T | 4 | peaked | 4 | ||||
| 130122+190421 | 3.10 | c+j | 10 | peaked | 2 | ||||
| 134022+375443 | 3.11 | c+j | 1 | peaked | 3 | ||||
| 135406−020603 | 3.70 | c+j | 10 | peaked | FSRQ | 4 | |||
| 135646−110130 | 3.01 | c+j | 10 | inverted | FSRQ | 2 | |||
| 135652+291817 | 3.24 | T | 4 | steep | 2 | ||||
| 135706−174402 | 3.14 | c+j | 10 | peaked | FSRQ | 4 | |||
| 140135+151325 | 3.23 | peaked | 3 | ||||||
| 140501+041536 | 3.20 | c+j | 4 | peaked | FSRQ | 4 | |||
| 141152+430024 | 3.21 | c+j | 4 | flat | 2 | ||||
| 141300+394745 | 3.71 | flat | 1 | ||||||
| 141318+450523 | 3.11 | c | 4 | inverted | FSRQ | 2 | |||
| 141821+425020 | 3.45 | peaked | 2 | ||||||
| 142107−064355 | 3.68 | c+j | 8 | complex | FSRQ | 1 | |||
| 142438+225600 | 3.62 | c+j | 10 | peaked | FSRQ | 4 | |||
| 143023+420436 | 4.71 | c+j | 5 | flat | FSRQ | 0 | |||
| 144516+095835 | 3.55 | c+j | 8 | peaked | FSRQ | 4 | |||
| 145722+051922 | 3.17 | c+j | 10 | flat | 2 | ||||
| 145805+085529 | 3.06 | steep | 2 | ||||||
| 145927+325358 | 3.32 | complex | 4 | steep | 2 | ||||
| 150328+041949 | 3.66 | c+ext | 1 | peaked | 2 | ||||
| 152117+175601 | 3.06 | c | 4 | peaked | 3 | ||||
| 152219+211957 | 3.22 | steep | 2 | ||||||
| 153815+001905 | 3.49 | c+j | 10 | peaked | 3 | ||||
| 155930+030447 | 3.89 | T | 4 | peaked | FSRQ | 4 | |||
| 160608+312447 | 4.56 | cso | 6 | peaked | 0 | ||||
| 161005+181143 | 3.11 | T | 4 | steep | 3 | ||||
| 161637+045932 | 3.21 | c+j | 4 | peaked | FSRQ | 4 | |||
| 163257−003321 | 3.42 | c+j | 10 | flat | FSRQ | 4 | |||
| 165519+324241 | 3.18 | c+j | 1 | steep | 2 | ||||
| 165543+194847 | 3.26 | E | 4 | flat | 2 | ||||
| 165844−073918 | 3.74 | c+j | 10 | peaked | FSRQ | 1 | |||
| 171521+214534 | 4.01 | T | 5 | steep | 1 | ||||
| 174020+350048 | 3.22 | steep | 2 | ||||||
| 184057+390046 | 3.1 | c+j | 10 | peaked | FSRQ | 3 | |||
| 193957−100241 | 3.78 | c+j | 8 | complex | FSRQ | 1 | |||
| 200324−325144 | 3.77 | c+j | 10 | peaked | FSRQ | 4 | |||
| 201918+112712 | 3.27 | c+ext | 7 | peaked | 2 | ||||
| 204124+185502 | 3.05 | steep | 2 | ||||||
| 204257−222326 | 3.63 | c+j | 10 | peaked | FSRQ | 1 | |||
| 204310+125513 | 3.27 | c+j | 10 | flat | FSRQ | 3 | |||
| 205051+312727 | 3.18 | c+j | 10 | peaked | FSRQ | 3 | |||
| 212912−153841 | 3.26 | c+j | 11 | peaked | FSRQ | 4 | |||
| 213412−041909 | 4.34 | c+j | 5 | flat | 1 | ||||
| 221748+022011 | 3.57 | c+j | 10 | steep | FSRQ | 3 | |||
| 221935−271902 | 3.63 | c+j | 10 | flat | FSRQ | 1 | |||
| 222536+204014 | 3.56 | c+j | 10 | steep | 1 | ||||
| 224800−054117 | 3.29 | c+j | 10 | peaked | Uncert. | 1 | |||
| 225153+221737 | 3.66 | c+j | 10 | flat | FSRQ | 4 | |||
| 231448+020150 | 4.11 | c+j | 5 | peaked | 1 | ||||
| 231643−334912 | 3.1 | c+j | 10 | peaked | FSRQ | 2 | |||
| 232118−082721 | 3.16 | c+j | 10 | flat | FSRQ | 3 | |||
| 234451+343348 | 3.05 | flat | 2 | ||||||
| gravitationally lensed system. | |||||||||
| also classified as core dominated with a lobe in [116]. | |||||||||
| VLA measurements. | |||||||||
| sources with two components in the radio spectrum. | |||||||||
| 5—[61], 6—[101], 7—[102], 8—[98], 9—[129], | |||||||||
| 10—[99], 11—[103]. | |||||||||
| Name | z | N | N | |||||||||||||||||
| 1 | 2 | 3 | 4 | 5 | 6 | 7 | 8 | 9 | 10 | 11 | 12 | 13 | 14 | 15 | 16 | 17 | 18 | 19 | 20 | 21 |
| J0001+1914 | 3.10 | 35 | 21 | 3 | 9 | 0.53 | 0.42 | 0.46 | 0.47 | 0.31 | 0.31 | 0.63 | 0.64 | 0.65 | 0.23 | 0.17 | 0.17 | 0.57 | 0.34 | 0.35 |
| J0006+1415 | 3.20 | 40 | 14 | – | – | 0.08 | 0.1 | 0.09 | 0.1 | 0.13 | 0.12 | 0.25 | 0.17 | 0.16 | 0.03 | 0.09 | – | – | – | – |
| J0048+0640 | 3.58 | 36 | 25 | – | – | 0.28 | 0.18 | 0.18 | 0.25 | 0.14 | 0.13 | 0.24 | 0.15 | 0.15 | 0.12 | 0.16 | 0.1 | – | – | – |
| J0100−2708 | 3.52 | 31 | 10 | – | – | 0.11 | 0.14 | 0.13 | 0.17 | 0.14 | 0.14 | 0.11 | 0.13 | 0.1 | 0.17 | 0.2 | 0.17 | – | – | – |
| J0121−2806 | 3.11 | 30 | 19 | 7 | 18 | 0.06 | 0.2 | 0.15 | 0.43 | 0.37 | 0.4 | 0.32 | 0.24 | 0.24 | 0.2 | 0.17 | 0.15 | 0.41 | 0.33 | 0.34 |
| J0131+4358 | 3.12 | 34 | 12 | – | – | – | – | – | 0.37 | 0.22 | 0.22 | 0.3 | 0.27 | – | 0.17 | 0.28 | 0.1 | – | – | – |
| J0148+4215 | 3.24 | 34 | 14 | 3 | 8 | – | 0.07 | – | 0.23 | 0.17 | 0.16 | 0.14 | 0.12 | 0.11 | 0.05 | 0.1 | – | 0.36 | 0.25 | 0.22 |
| J0151+2517 | 3.10 | 34 | 17 | 2 | 8 | 0.25 | 0.2 | 0.2 | 0.32 | 0.29 | 0.29 | 0.23 | 0.16 | 0.15 | 0.1 | 0.11 | 0.06 | 0.08 | 0.12 | – |
| J0203+1134 | 3.63 | 42 | 38 | 22 | 31 | 0.21 | 0.09 | 0.08 | 0.33 | 0.22 | 0.21 | 0.4 | 0.18 | 0.17 | 0.38 | 0.26 | 0.26 | 0.45 | 0.33 | 0.33 |
| J0214+0157 | 3.28 | 36 | 19 | – | – | 0.23 | 0.21 | 0.2 | 0.13 | 0.12 | 0.08 | 0.23 | 0.21 | 0.21 | 0.03 | 0.16 | – | – | – | – |
| J0232+2317 | 3.42 | 33 | 13 | – | – | 0.2 | 0.2 | 0.22 | 0.29 | 0.19 | 0.19 | 0.21 | 0.15 | 0.14 | 0.08 | 0.17 | 0.12 | – | 0.11 | – |
| J0246+1823 | 3.59 | 34 | 44 | 2 | 5 | 0.34 | 0.26 | 0.27 | 0.29 | 0.17 | 0.08 | 0.25 | 0.15 | 0.15 | 0.29 | 0.2 | – | 0.31 | 0.33 | 0.34 |
| J0257+4338 | 4.06 | 34 | 16 | 5 | 10 | 0.06 | 0.26 | 0.18 | 0.33 | 0.31 | 0.32 | 0.45 | 0.37 | 0.37 | 0.08 | 0.1 | 0.05 | 0.04 | 0.13 | 0.05 |
| J0324−2918 | 4.63 | 30 | 19 | 15 | 15 | 0.08 | 0.08 | – | 0.44 | 0.43 | 0.45 | 0.41 | 0.25 | 0.25 | 0.14 | 0.16 | 0.13 | 0.39 | 0.4 | 0.39 |
| J0337−1204 | 3.44 | 31 | 12 | 14 | 6 | 0.26 | 0.18 | 0.18 | 0.19 | 0.13 | 0.12 | 0.24 | 0.13 | 0.12 | 0.09 | 0.11 | 0.07 | 0.68 | 0.64 | 0.28 |
| J0339−0133 | 3.19 | >43 | 17 | 13 | 6 | 0.2 | 0.13 | 0.12 | 0.21 | 0.12 | 0.11 | 0.14 | 0.1 | 0.08 | 0.25 | 0.16 | 0.13 | 0.49 | 0.46 | 0.5 |
| J0354+0441 | 3.26 | 40 | 31 | 22 | 13 | 0.18 | 0.15 | 0.14 | 0.27 | 0.13 | 0.11 | 0.22 | 0.18 | 0.17 | 0.17 | 0.15 | 0.12 | 0.54 | 0.47 | 0.47 |
| J0424+0805 | 3.8 | 36 | 21 | 3 | 9 | 0.32 | 0.23 | 0.23 | 0.19 | 0.14 | 0.13 | 0.38 | 0.29 | 0.3 | 0.16 | 0.12 | 0.07 | 0.4 | 0.36 | 0.35 |
| J0428+1732 | 3.32 | 30 | 56 | 5 | 17 | 0.38 | 0.27 | 0.28 | 0.33 | 0.16 | 0.14 | 0.22 | 0.19 | 0.19 | 0.22 | 0.13 | 0.07 | 0.46 | 0.34 | 0.32 |
| J0525−2338 | 3.1 | 30 | 55 | 14 | 50 | 0.28 | 0.19 | – | 0.11 | 0.08 | 0.06 | 0.35 | 0.24 | 0.23 | 0.36 | 0.15 | 0.13 | 0.5 | 0.25 | 0.23 |
| J0525−3343 | 4.41 | 30 | 18 | – | – | 0.29 | 0.3 | 0.36 | 0.71 | 0.62 | 0.66 | 0.3 | 0.25 | 0.18 | – | – | – | – | – | – |
| J0539−2839 | 3.10 | >43 | 66 | 23 | 47 | 0.44 | 0.33 | 0.3 | 0.59 | 0.35 | 0.34 | 0.56 | 0.35 | 0.35 | 0.59 | 0.4 | 0.39 | 0.61 | 0.45 | 0.43 |
| J0624+3856 | 3.46 | 46 | 68 | 23 | 47 | 0.4 | 0.35 | 0.35 | 0.3 | 0.18 | 0.18 | 0.43 | 0.2 | 0.19 | 0.26 | 0.21 | 0.18 | 0.35 | 0.27 | 0.2 |
| J0646+4451 | 3.39 | 47 | 187 | 30 | 319 | 0.46 | 0.23 | 0.21 | 0.67 | 0.31 | 0.31 | 0.74 | 0.49 | 0.5 | 0.66 | 0.37 | 0.36 | 0.65 | 0.25 | 0.24 |
| J0733+0456 | 3.1 | 40 | 35 | 4 | 15 | 0.47 | 0.21 | 0.21 | 0.37 | 0.24 | 0.24 | 0.48 | 0.36 | 0.37 | 0.29 | 0.21 | 0.18 | 0.44 | 0.27 | 0.24 |
| J0751+2716 | 3.20 | 42 | 13 | – | – | 0.17 | 0.16 | 0.16 | 0.04 | 0.05 | – | 0.04 | 0.1 | 0.05 | 0.05 | 0.12 | – | – | – | – |
| J0753+4231 | 3.59 | 34 | 23 | 18 | 2 | 0.2 | 0.17 | 0.17 | 0.12 | 0.06 | 0.05 | 0.04 | 0.08 | 0.05 | 0.09 | 0.1 | 0.05 | – | 0.17 | – |
| J0833+0959 | 3.75 | 36 | 17 | – | – | – | 0.05 | – | 0.17 | 0.14 | 0.11 | 0.24 | 0.17 | 0.13 | – | 0.07 | – | – | – | – |
| J0839+2002 | 3.3 | 35 | 16 | 3 | 2 | 0.23 | 0.2 | 0.21 | 0.29 | 0.21 | 0.2 | 0.15 | 0.15 | 0.13 | 0.21 | 0.21 | 0.19 | 0.05 | 0.17 | – |
| J0847+3831 | 3.18 | 34 | 16 | 3 | 5 | 0.36 | 0.35 | 0.37 | 0.2 | 0.14 | 0.11 | 0.36 | 0.24 | 0.24 | – | 0.05 | – | 0.14 | 0.24 | 0.23 |
| J0905+0410 | 3.15 | 36 | 12 | – | – | 0.17 | 0.19 | 0.23 | 0.11 | 0.12 | 0.06 | 0.17 | 0.2 | 0.21 | 0.04 | 0.15 | – | – | – | – |
| J0909+0354 | 3.20 | 37 | 18 | 2 | 2 | 0.15 | 0.18 | 0.19 | 0.5 | 0.29 | 0.29 | 0.36 | 0.23 | 0.23 | 0.26 | 0.22 | 0.22 | 0.05 | 0.18 | – |
| J0915+0007 | 3.7 | 42 | 19 | 3 | 7 | 0.27 | 0.23 | 0.19 | 0.23 | 0.15 | 0.14 | 0.08 | 0.11 | – | 0.05 | 0.1 | 0.05 | 0.61 | 0.68 | 0.72 |
| J0933+2845 | 3.42 | 34 | 17 | – | – | 0.34 | 0.25 | 0.24 | 0.25 | 0.19 | 0.14 | 0.22 | 0.21 | 0.09 | 0.21 | 0.23 | – | – | – | – |
| J0941+1145 | 3.19 | 39 | 16 | 1 | 2 | 0.86 | 0.38 | 0.42 | 0.35 | 0.33 | 0.33 | 0.96 | 1 | 0.97 | 0.07 | 0.13 | 0.05 | – | 0.09 | – |
| J1016+2037 | 3.11 | 44 | 91 | 23 | 44 | 0.18 | 0.15 | 0.14 | 0.5 | 0.23 | 0.22 | 0.47 | 0.33 | 0.34 | 0.41 | 0.18 | 0.15 | 0.34 | 0.21 | 0.14 |
| J1020+1040 | 3.15 | 42 | 11 | – | – | 0.18 | 0.17 | 0.17 | 0.09 | 0.08 | 0.06 | 0.23 | 0.17 | 0.15 | – | 0.06 | – | – | – | – |
| J1021+2209 | 4.23 | 35 | 12 | – | – | – | 0.06 | – | 0.18 | 0.13 | 0.11 | 0.13 | 0.16 | 0.15 | 0.09 | 0.13 | 0.1 | – | – | – |
| J1026+2542 | 5.28 | 25 | 13 | – | – | 0.12 | 0.12 | 0.12 | 0.3 | 0.15 | 0.14 | 0.2 | 0.17 | 0.17 | – | 0.08 | – | – | – | – |
| J1026+3658 | 3.25 | 35 | 11 | – | – | 0.05 | 0.08 | 0.07 | 0.4 | 0.3 | 0.31 | 0.43 | 0.3 | 0.32 | 0.02 | 0.08 | 0.05 | – | – | – |
| J1028−0844 | 4.27 | 31 | 49 | 4 | 5 | – | – | – | 0.56 | 0.35 | 0.31 | 0.15 | 0.15 | 0.14 | 0.23 | 0.31 | 0.33 | 0.25 | 0.3 | 0.31 |
| J1036+1326 | 3.9 | 37 | 13 | – | – | – | – | – | 0.48 | 0.4 | 0.39 | 0.31 | 0.3 | 0.26 | 0.39 | 0.35 | 0.25 | – | – | – |
| J1045+3142 | 3.23 | 34 | 10 | – | – | 0.2 | 0.23 | 0.24 | 0.11 | 0.13 | 0.06 | 0.12 | 0.17 | 0.09 | – | 0.14 | – | – | – | – |
| J1101+0010 | 3.69 | 36 | 14 | – | – | 0 | 0.1 | – | 0.28 | 0.23 | 0.18 | 0.18 | 0.25 | 0.15 | 0.42 | 0.57 | 0.63 | – | – | – |
| J1125+3338 | 3.43 | 37 | 14 | – | – | 0.29 | 0.22 | 0.22 | 0.24 | 0.15 | 0.11 | 0.07 | 0.14 | – | – | 0.09 | – | – | – | – |
| J1128+2326 | 3.4 | 34 | 14 | – | – | 0.45 | 0.25 | 0.26 | 0.11 | 0.09 | 0.01 | 0.37 | 0.19 | 0.15 | – | 0.09 | – | – | – | – |
| J1150+4332 | 3.3 | 35 | 14 | 2 | 6 | 0.5 | 0.53 | 0.59 | 0.42 | 0.28 | 0.28 | 0.44 | 0.27 | 0.28 | 0.29 | 0.18 | 0.14 | 0.12 | 0.19 | 0.16 |
| J1230−1139 | 3.52 | >43 | 51 | 14 | 7 | 0.42 | 0.33 | 0.36 | 0.47 | 0.35 | 0.38 | 0.47 | 0.41 | 0.43 | 0.44 | 0.24 | 0.25 | 0.41 | 0.36 | 0.37 |
| J1242+3720 | 3.81 | 46 | 24 | 21 | 13 | 0.18 | 0.15 | 0.12 | 0.28 | 0.21 | 0.21 | 0.29 | 0.18 | 0.19 | 0.19 | 0.14 | 0.12 | 0.14 | 0.17 | 0.11 |
| J1301+1904 | 3.10 | 35 | 13 | – | – | 0.25 | 0.21 | 0.21 | 0.05 | 0.12 | - | – | 0.06 | – | – | 0.15 | – | – | – | – |
| J1340+3754 | 3.11 | 36 | 12 | – | – | 0.08 | 0.11 | 0.12 | 0.3 | 0.17 | 0.17 | 0.15 | 0.1 | 0.09 | 0.03 | 0.11 | – | – | – | – |
| J1354−0206 | 3.70 | 38 | 60 | 23 | 33 | 0.22 | 0.16 | 0.16 | 0.24 | 0.13 | 0.12 | 0.14 | 0.09 | 0.09 | 0.3 | 0.16 | 0.1 | 0.50 | 0.24 | – |
| J1356−1101 | 3.1 | 35 | 9 | – | – | 0.21 | 0.2 | 0.22 | 0.11 | 0.1 | 0.11 | 0.32 | 0.29 | 0.32 | – | – | – | 0.19 | 0.25 | – |
| J1356+2918 | 3.24 | 35 | 7 | – | – | – | – | – | 0.22 | 0.19 | 0.19 | 0.02 | 0.1 | 0.04 | – | – | – | – | – | – |
| J1357−1744 | 3.14 | 38 | 19 | 23 | 3 | 0.37 | 0.26 | 0.25 | 0.28 | 0.12 | 0.12 | 0.27 | 0.21 | 0.22 | 0.36 | 0.39 | 0.44 | 0.48 | 0.55 | 0.63 |
| J1401+1513 | 3.23 | 33 | 11 | – | – | – | 0.03 | – | 0.36 | 0.28 | 0.28 | – | 0.14 | – | 0.09 | 0.27 | 0.18 | – | – | – |
| J1405+0415 | 3.20 | >43 | 26 | 24 | 12 | 0.23 | 0.18 | 0.18 | 0.25 | 0.16 | 0.16 | 0.2 | 0.12 | 0.11 | 0.19 | 0.17 | 0.14 | 0.26 | 0.3 | 0.25 |
| J1411+4300 | 3.21 | 34 | 10 | – | – | 0.08 | 0.16 | 0.17 | 0.05 | 0.06 | – | 0.13 | 0.15 | 0.12 | 0.13 | 0.17 | 0.14 | – | – | – |
| J1413+3947 | 4.12 | 34 | 10 | – | – | 0.22 | 0.27 | 0.29 | 0.12 | 0.14 | – | 0.03 | 0.15 | – | 0.15 | 0.26 | 0.2 | – | – | – |
| J1413+4505 | 3.11 | 34 | 8 | 2 | – | – | – | 0.27 | 0.16 | 0.16 | 0.19 | 0.19 | 0.21 | 0.03 | 0.13 | 0.11 | 0.09 | 0.24 | – | |
| J1418+4250 | 3.45 | 34 | 4 | – | – | – | – | – | 0.02 | 0.08 | – | – | – | – | – | – | – | – | – | – |
| J1421−0643 | 3.68 | 30 | 6 | – | – | 0.19 | 0.18 | 0.2 | 0.3 | 0.23 | 0.26 | 0.21 | 0.16 | 0.17 | – | – | – | – | – | – |
| J1424+2256 | 3.62 | 42 | 29 | 22 | 18 | 0.47 | 0.14 | 0.14 | 0.14 | 0.12 | 0.11 | 0.66 | 0.21 | 0.17 | 0.16 | 0.16 | 0.14 | 0.1 | 0.28 | 0.17 |
| J1430+4204 | 4.71 | 34 | 16 | 2 | 4 | 0.4 | 0.31 | 0.32 | 0.51 | 0.43 | 0.44 | 0.4 | 0.29 | 0.3 | 0.36 | 0.3 | 0.31 | 0.32 | 0.29 | 0.32 |
| J1445+0958 | 3.55 | 41 | 76 | 23 | 27 | 0.15 | 0.1 | 0.08 | 0.15 | 0.1 | 0.09 | 0.26 | 0.17 | 0.15 | 0.57 | 0.26 | 0.26 | 0.67 | 0.4 | 0.38 |
| J1457+0519 | 3.17 | 37 | 12 | – | – | 0.1 | 0.17 | 0.16 | 0.13 | 0.13 | 0.08 | 0.19 | 0.2 | 0.17 | 0.05 | 0.17 | 0.05 | – | – | – |
| J1458+0855 | 3.6 | 34 | 7 | – | – | – | 0.35 | – | 0.2 | 0.21 | – | – | 0.06 | – | – | – | – | – | – | – |
| J1459+3253 | 3.32 | 39 | 11 | – | – | 0.04 | 0.16 | – | 0.23 | 0.17 | 0.07 | 0.08 | 0.19 | – | – | 0.22 | – | – | – | – |
| J1503+0419 | 3.66 | 39 | 8 | – | – | 0.03 | 0.04 | 0.03 | 0.1 | 0.08 | 0.07 | 0.04 | 0.03 | – | – | 0.01 | – | – | – | – |
| J1521+1756 | 3.6 | 40 | 13 | – | – | 0.21 | 0.17 | – | 0.32 | 0.23 | 0.23 | 0.18 | 0.17 | – | 0.1 | 0.15 | 0.11 | – | – | – |
| J1522+2119 | 3.22 | 34 | 10 | – | – | 0.18 | 0.17 | 0.18 | 0.13 | 0.1 | – | 0.09 | 0.18 | – | – | 0.18 | – | – | – | – |
| J1538+0019 | 3.49 | >43 | 20 | 23 | 10 | 0.39 | 0.34 | 0.35 | 0.5 | 0.36 | 0.36 | 0.58 | 0.37 | 0.38 | 0.27 | 0.2 | 0.19 | 0.38 | 0.28 | 0.12 |
| J1559+0304 | 3.89 | 37 | 63 | 8 | 29 | 0.25 | 0.19 | 0.21 | 0.41 | 0.16 | 0.16 | 0.17 | 0.13 | 0.12 | 0.18 | 0.15 | 0.13 | 0.36 | 0.22 | 0.19 |
| J1606+3124 | 4.56 | 37 | 26 | 43 | 22 | 0.3 | 0.16 | 0.15 | 0.28 | 0.18 | 0.19 | 0.22 | 0.15 | 0.15 | 0.16 | 0.13 | 0.12 | 0.1 | 0.15 | 0.07 |
| J1610+1811 | 3.11 | 40 | 12 | – | – | 0.23 | 0.18 | 0.18 | 0.41 | 0.31 | 0.31 | 0.17 | 0.18 | 0.08 | – | 0.23 | – | – | – | – |
| J1616+0459 | 3.21 | >43 | 64 | 23 | 22 | – | 0.13 | 0.12 | 0.26 | 0.13 | 0.12 | 0.42 | 0.15 | 0.13 | 0.17 | 0.1 | 0.09 | 0.26 | 0.25 | 0.21 |
| J1632−0033 | 3.42 | 31 | 57 | 5 | 6 | 0.25 | 0.2 | 0.2 | 0.43 | 0.22 | 0.2 | 0.17 | 0.12 | 0.11 | 0.4 | 0.2 | 0.12 | 0.4 | 0.43 | 0.44 |
| J1655+3242 | 3.18 | 34 | 12 | – | – | 0.24 | 0.22 | 0.21 | 0.04 | 0.12 | – | – | 0.09 | – | – | 0.12 | – | – | – | – |
| J1655+1948 | 3.26 | 34 | 15 | – | – | 0.28 | 0.26 | 0.26 | 0.24 | 0.19 | 0.18 | 0.27 | 0.16 | 0.14 | 0.12 | 0.17 | 0.11 | – | – | – |
| J1658−0739 | 3.74 | 37 | 12 | 10 | 9 | 0.22 | 0.16 | 0.16 | 0.27 | 0.21 | 0.21 | 0.33 | 0.27 | 0.28 | 0.13 | 0.12 | 0.05 | 0.33 | 0.35 | 0.32 |
| J1715+2145 | 4.1 | 35 | 16 | – | – | 0.47 | 0.24 | 0.24 | 0.38 | 0.3 | 0.31 | 0.19 | 0.14 | 0.11 | – | 0.08 | – | – | 0.18 | – |
| J1740+3500 | 3.22 | 34 | 18 | – | – | 0.29 | 0.22 | 0.21 | 0.02 | 0.08 | – | – | 0.11 | – | 0.27 | 0.19 | – | – | – | – |
| J1840+3900 | 3.1 | 36 | 23 | 20 | 13 | 0.24 | 0.22 | 0.18 | 0.52 | 0.41 | 0.42 | 0.14 | 0.16 | 0.15 | 0.45 | 0.34 | 0.33 | 0.52 | 0.51 | 0.48 |
| J1939−1002 | 3.78 | 30 | 17 | 23 | 4 | 0.28 | 0.19 | 0.15 | 0.15 | 0.09 | 0.09 | 0.25 | 0.14 | 0.15 | 0.33 | 0.28 | 0.29 | 0.33 | 0.33 | 0.36 |
| J2003−3251 | 3.77 | >43 | 39 | 15 | 36 | 0.53 | 0.32 | 0.18 | 0.32 | 0.2 | 0.2 | 0.44 | 0.15 | 0.14 | 0.15 | 0.16 | 0.13 | 0.42 | 0.31 | 0.31 |
| J2019+1127 | 3.27 | 41 | 12 | – | – | 0.06 | 0.12 | – | 0.06 | 0.09 | 0.04 | 0.05 | 0.23 | – | – | – | – | – | – | – |
| J2041+1855 | 3.5 | 39 | 12 | – | – | 0.01 | 0.07 | – | 0.18 | 0.16 | 0.15 | 0.11 | 0.22 | – | 0.17 | 0.24 | 0.27 | – | – | – |
| J2042−2223 | 3.63 | 30 | 4 | – | – | 0.01 | 0.01 | – | 0.27 | 0.25 | – | 0.24 | 0.19 | 0.22 | – | – | – | – | – | – |
| J2043+1255 | 3.27 | 40 | 12 | – | – | – | – | – | 0.52 | 0.42 | 0.43 | 0.09 | 0.11 | 0.1 | – | 0.08 | – | – | – | – |
| J2050+3127 | 3.18 | 35 | 15 | 12 | 60 | 0.19 | 0.14 | 0.11 | 0.57 | 0.22 | 0.21 | 0.32 | 0.16 | 0.15 | 0.27 | 0.17 | 0.13 | 0.34 | 0.23 | 0.12 |
| J2129−1538 | 3.26 | 37 | 54 | 20 | 24 | 0.19 | 0.15 | 0.12 | 0.16 | 0.11 | 0.1 | 0.34 | 0.26 | 0.25 | 0.41 | 0.22 | 0.21 | 0.43 | 0.27 | 0.25 |
| J2134−0419 | 4.34 | 31 | 12 | 14 | 3 | 0.21 | 0.15 | 0.14 | 0.12 | 0.09 | 0.08 | 0.13 | 0.12 | 0.11 | 0.19 | 0.21 | 0.2 | 0.05 | 0.14 | 0.11 |
| J2217+0220 | 3.57 | 42 | 25 | 22 | 14 | 0.28 | 0.29 | 0.28 | 0.46 | 0.34 | 0.34 | 0.54 | 0.42 | 0.43 | 0.34 | 0.24 | 0.23 | 0.61 | 0.52 | 0.5 |
| J2219−2719 | 3.63 | 30 | 12 | 14 | 5 | 0.19 | 0.17 | 0.16 | 0.3 | 0.19 | 0.19 | 0.31 | 0.22 | 0.22 | 0.34 | 0.22 | 0.21 | 0.3 | 0.28 | 0.28 |
| J2225+2040 | 3.56 | 34 | 12 | – | – | 0.18 | 0.13 | 0.13 | 0.13 | 0.07 | – | 0.06 | 0.1 | – | 0.02 | 0.18 | – | – | – | – |
| J2248−0541 | 3.29 | 30 | 13 | 2 | 2 | 0.36 | 0.27 | 0.28 | 0.22 | 0.14 | 0.14 | 0.14 | 0.1 | 0.08 | – | – | – | 0.27 | 0.35 | 0.42 |
| J2251+2217 | 3.66 | 35 | 56 | – | – | 0.13 | 0.14 | 0.14 | 0.27 | 0.2 | 0.17 | 0.15 | 0.14 | 0.12 | 0.34 | 0.17 | 0.13 | – | – | – |
| J2314+0201 | 4.11 | 40 | 20 | – | – | – | 0.1 | – | 0.2 | 0.17 | 0.14 | 0.14 | 0.16 | 0.08 | 0.15 | 0.24 | 0.14 | – | – | – |
| J2316−3349 | 3.10 | 31 | 18 | – | – | 0.65 | 0.29 | 0.22 | 0.18 | 0.1 | 0.1 | 0.45 | 0.28 | 0.28 | 0.26 | 0.2 | 0.19 | – | – | – |
| J2321−0827 | 3.16 | 31 | 10 | 13 | 4 | 0.48 | 0.34 | 0.36 | 0.63 | 0.55 | 0.25 | 0.33 | 0.28 | 0.29 | 0.13 | 0.2 | 0.22 | 0.42 | 0.45 | 0.51 |
| J2344+3433 | 3.5 | 35 | 15 | – | – | 0.28 | 0.23 | 0.23 | 0.24 | 0.22 | 0.2 | 0.33 | 0.36 | 0.36 | 0.18 | 0.19 | – | – | 0.2 | – |
Appendix B. Cluster Analysis of the Quasars with PCA+k-means and Self Organizing Maps



| Cluster | N | Medians | Min–max values | ||||||||||
|---|---|---|---|---|---|---|---|---|---|---|---|---|---|
|
(yr) |
(GHz) |
N | z |
(yr) |
(GHz) |
N | z | ||||||
| 0 | 6 | 5.7 | 0.48 | 26.3 | 21 | 4.6 | 4.0–6.7 | 0.28–0.71 | 24.8–29.5 | 15–48 | 4.3–5.3 | ||
| 1 | 21 | 7.0 | 0.22 | 22.0 | 13 | 3.7 | 5.8–7.9 | 0.12–0.38 | 20.2–25.1 | 4–24 | 3.3–4.3 | ||
| 2 | 31 | 8.4 | 0.13 | 19.7 | 12 | 3.2 | 7.6–10.3 | 0.02–0.27 | 18.8–21.9 | 4–21 | 3.0–3.7 | ||
| 3 | 20 | 8.7 | 0.42 | 19.3 | 14 | 3.1 | 7.3–9.9 | 0.29-0.63 | 18.9–21.5 | 10–24 | 3.0–3.6 | ||
| 4 | 23 | 9.1 | 0.29 | 20.8 | 55 | 3.4 | 6.9–10.7 | 0.11–0.67 | 18.8–23.0 | 24–187 | 3.0–3.9 | ||

Appendix C. Comments on Individual Sources
Appendix C.1. Identified HFP/GPS/MPS Candidates which Revealed Significant Radio Variability
Appendix C.2. New GPS/MPS Candidates
Appendix C.3. Gravitationally Lensed Quasars
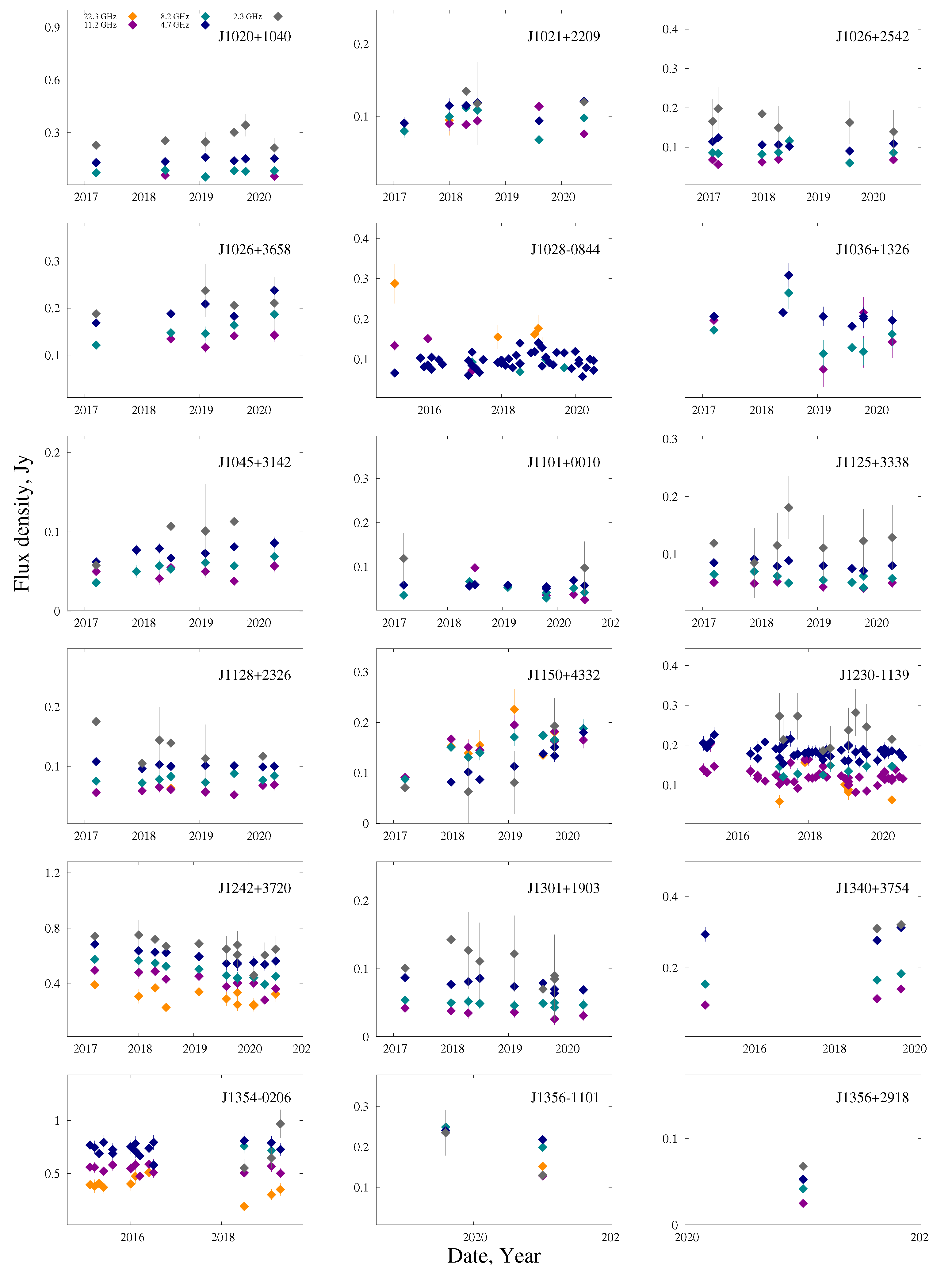
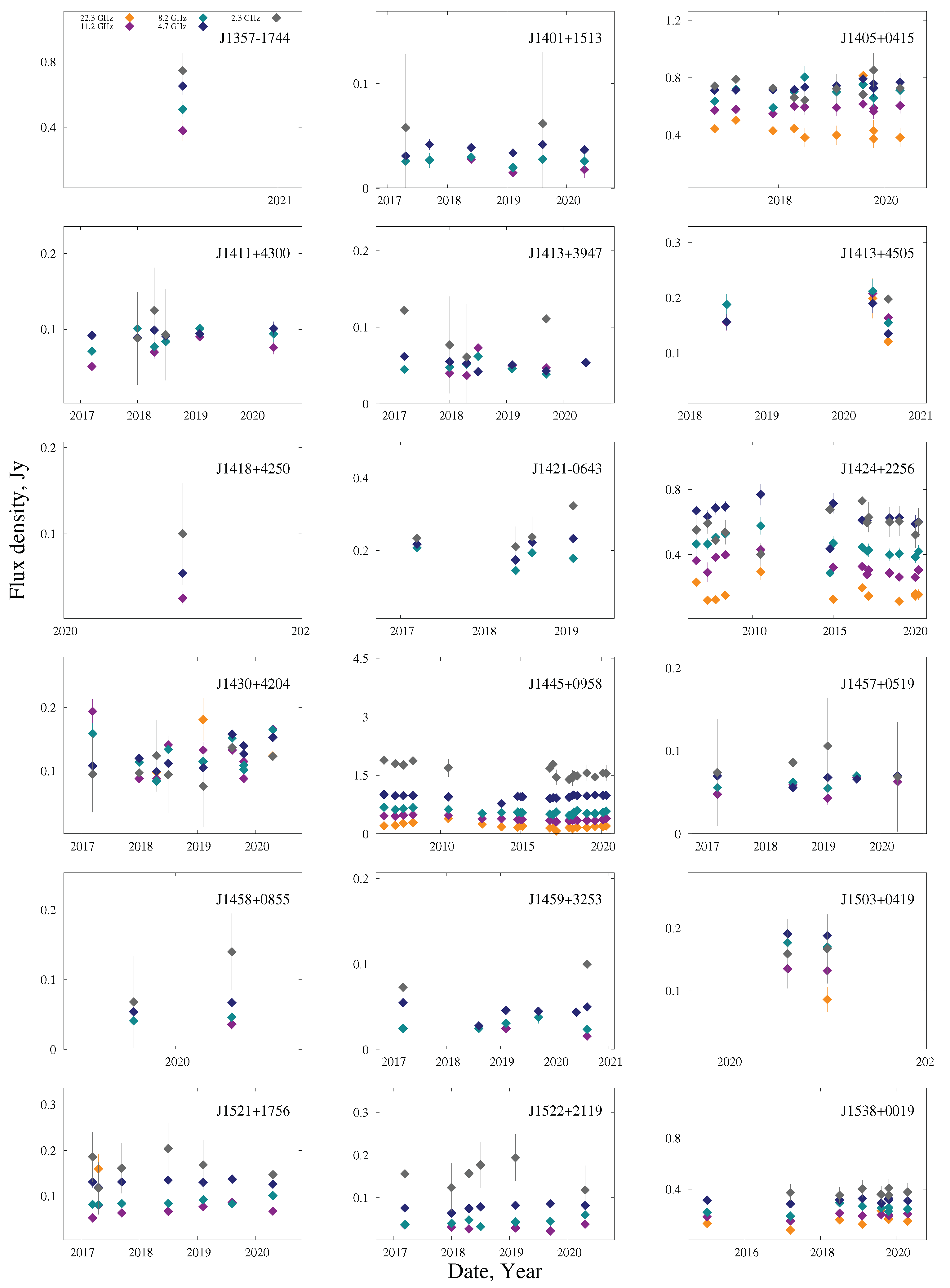
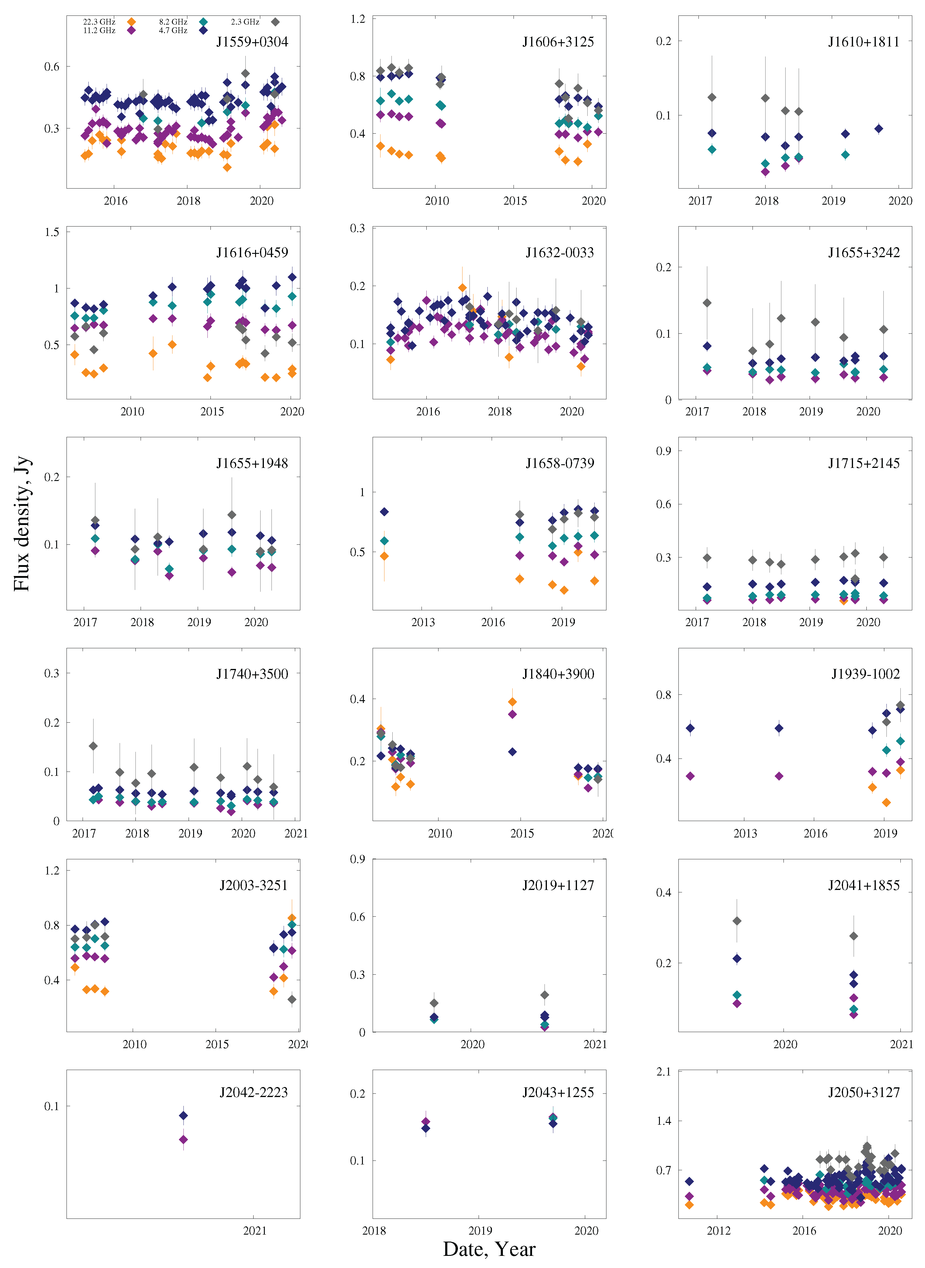
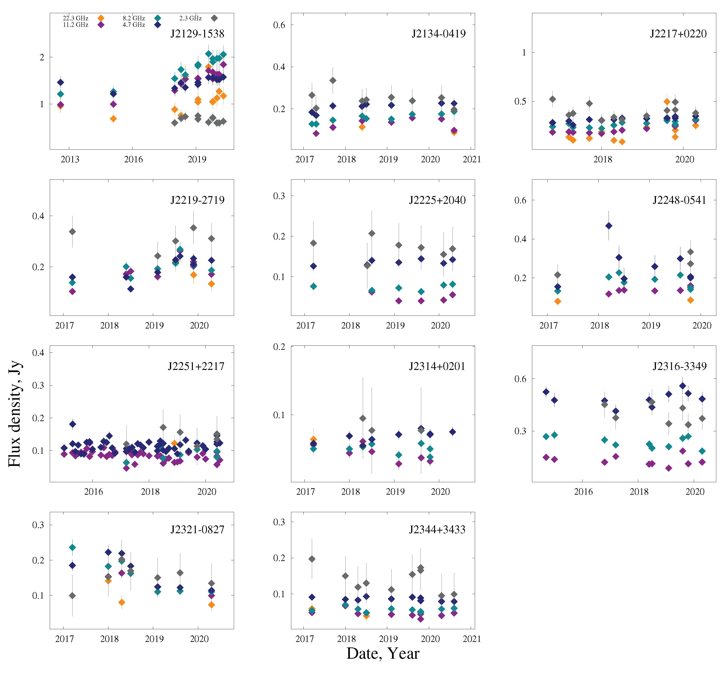
Appendix D. Light Curves and Radio Spectra








References
- Schmidt, M. 3C 273 : A Star-Like Object with Large Red-Shift. Nature 1963, 197, 1040. [Google Scholar] [CrossRef]
- Matthews, T.A.; Sandage, A.R. Optical Identification of 3C 48, 3C 196, and 3C 286 with Stellar Objects. ApJ 1963, 138, 30. [Google Scholar] [CrossRef]
- Dent, W.A. Quasi-Stellar Sources: Variation in the Radio Emission of 3C 273. Science 1965, 148, 1458–1460. [Google Scholar] [CrossRef] [PubMed]
- Kellermann, K.I.; Pauliny-Toth, I.I.K. Variable Radio Sources. AR&A 1968, 6, 417. [Google Scholar] [CrossRef]
- Rees, M.J. Extragalactic Variable Radio Sources. Nature 1970, 227, 1303–1306. [Google Scholar] [CrossRef]
- Marscher, A.P.; Gear, W.K. Models for high-frequency radio outbursts in extragalactic sources, with application to the early 1983 millimeter-to-infrared flare of 3C 273. ApJ 1985, 298, 114–127. [Google Scholar] [CrossRef]
- Nyland, K.; Dong, D.; Patil, P.; Lacy, M.; Kimball, A.; Hallinan, G.; Sarbadhicary, S.; Polisensky, E.; Kassim, N.; Peters, W.; et al. Variable radio AGN at high redshift identified in the VLA Sky Survey. In Proceedings of the Galaxy Evolution and Feedback across Different Environments; Storchi Bergmann, T.; Forman, W.; Overzier, R.; Riffel, R., Eds., 2021, Vol. 359, IAU Symposium, pp. 27–32, [arXiv:astro-ph.GA/2005.04734] [CrossRef]
- Gergely, L.Á.; Biermann, P.L. The Spin-Flip Phenomenon in Supermassive Black hole binary mergers. ApJ 2009, 697, 1621–1633, [arXiv:astro-ph/0704.1968]. [Google Scholar] [CrossRef]
- Horton, M.A.; Krause, M.G.H.; Hardcastle, M.J. 3D hydrodynamic simulations of large-scale precessing jets: radio morphology. MNRAS 2020, 499, 5765–5781, [arXiv:astro-ph.GA/2010.00480]. [Google Scholar] [CrossRef]
- Villata, M.; Raiteri, C.M. Helical jets in blazars. I. The case of MKN 501. A&A 1999, 347, 30–36. [Google Scholar]
- Jarvis, M.E.; Harrison, C.M.; Thomson, A.P.; Circosta, C.; Mainieri, V.; Alexander, D.M.; Edge, A.C.; Lansbury, G.B.; Molyneux, S.J.; Mullaney, J.R. Prevalence of radio jets associated with galactic outflows and feedback from quasars. MNRAS 2019, 485, 2710–2730, [arXiv:astro-ph.GA/1902.07727]. [Google Scholar] [CrossRef]
- An, T.; Baan, W.A.; Wang, J.Y.; Wang, Y.; Hong, X.Y. Periodic radio variabilities in NRAO 530: a jet-disc connection? MNRAS 2013, 434, 3487–3496. [Google Scholar] [CrossRef]
- Wang, J.Y.; An, T.; Baan, W.A.; Lu, X.L. Periodic radio variabilities of the blazar 1156+295: harmonic oscillations. MNRAS 2014, 443, 58–66. [Google Scholar] [CrossRef]
- Walker, M.A. Interstellar scintillation of compact extragalactic radio sources. MNRAS 1998, 294, 307–311. [Google Scholar] [CrossRef]
- Koay, J.Y.; Jauncey, D.L.; Hovatta, T.; Kiehlmann, S.; Bignall, H.E.; Max-Moerbeck, W.; Pearson, T.J.; Readhead, A.C.S.; Reeves, R.; Reynolds, C.; et al. The presence of interstellar scintillation in the 15 GHz interday variability of 1158 OVRO-monitored blazars. MNRAS 2019, 489, 5365–5380, [arXiv:astro-ph.GA/1909.01566]. [Google Scholar] [CrossRef]
- Fiedler, R.L.; Dennison, B.; Johnston, K.J.; Hewish, A. Extreme scattering events caused by compact structures in the interstellar medium. Nature 1987, 326, 675–678. [Google Scholar] [CrossRef]
- Pushkarev, A.B.; Kovalev, Y.Y.; Lister, M.L.; Hovatta, T.; Savolainen, T.; Aller, M.F.; Aller, H.D.; Ros, E.; Zensus, J.A.; Richards, J.L.; et al. VLBA observations of a rare multiple quasar imaging event caused by refraction in the interstellar medium. A&A 2013, 555, A80, [arXiv:astro-ph.CO/1305.6005]. [Google Scholar] [CrossRef]
- De Breuck, C.; van Breugel, W.; Röttgering, H.J.A.; Miley, G. A sample of 669 ultra steep spectrum radio sources to find high redshift radio galaxies. A&AS 2000, 143, 303–333, [arXiv:astro-ph/astro-ph/0002297]. [Google Scholar] [CrossRef]
- De Breuck, C.; Klamer, I.; Johnston, H.; Hunstead, R.W.; Bryant, J.; Rocca-Volmerange, B.; Sadler, E.M. A search for distant radio galaxies from SUMSS and NVSS - II. Optical spectroscopy1*. MNRAS 2006, 366, 58–72, [arXiv:astro-ph/astro-ph/0511169]. [Google Scholar] [CrossRef]
- Coppejans, R.; Frey, S.; Cseh, D.; Müller, C.; Paragi, Z.; Falcke, H.; Gabányi, K.É.; Gurvits, L.I.; An, T.; Titov, O. On the nature of bright compact radio sources at z > 4.5. MNRAS 2016, 463, 3260–3275, [1609.00575]. [Google Scholar] [CrossRef]
- O’Dea, C.P.; Baum, S.A.; Stanghellini, C. What are the gigahertz peaked-spectrum radio sources? ApJ 1991, 380, 66–77. [Google Scholar] [CrossRef]
- Coppejans, R.; Cseh, D.; van Velzen, S.; Falcke, H.; Intema, H.T.; Paragi, Z.; Müller, C.; Williams, W.L.; Frey, S.; Gurvits, L.I.; et al. What are the megahertz peaked-spectrum sources? MNRAS 2016, 459, 2455–2471, [1604.00171]. [Google Scholar] [CrossRef]
- O’Dea, C.P.; Saikia, D.J. Compact steep-spectrum and peaked-spectrum radio sources. A&A Rev. 2021, 29, 3, [arXiv:astro-ph.GA/2009.02750]. [Google Scholar] [CrossRef]
- Fanti, R.; Fanti, C.; Schilizzi, R.T.; Spencer, R.E.; Nan Rendong.; Parma, P.; van Breugel, W.J.M.; Venturi, T. ; Parma, P.; van Breugel, W.J.M.; Venturi, T. On the nature of compact steep spectrum radio sources. A&A 1990, 231, 333–346. [Google Scholar]
- O’Dea, C.P.; Baum, S.A. Global Properties of GPS and CSS Sources: Constraints on Evolution. In Proceedings of the Gigahertz Peaked Spectrum and Compact Steep Spectrum Radio Sources; Snellen, I.A.G.; Schilizzi, R.T.; Roettgering, H.J.A.; Bremer, M.N., Eds. 1997; pp. 241–251. [Google Scholar]
- Snellen, I.A.G.; Schilizzi, R.T.; Miley, G.K.; de Bruyn, A.G.; Bremer, M.N.; Röttgering, H.J.A. On the evolution of young radio-loud AGN. MNRAS 2000, 319, 445–456, [arXiv:astro-ph/astro-ph/0002130]. [Google Scholar] [CrossRef]
- An, T.; Baan, W.A. The Dynamic Evolution of Young Extragalactic Radio Sources. ApJ 2012, 760, 77, [arXiv:astro-ph.CO/1211.1760]. [Google Scholar] [CrossRef]
- Readhead, A.C.S.; Taylor, G.B.; Xu, W.; Pearson, T.J.; Wilkinson, P.N.; Polatidis, A.G. The Statistics and Ages of Compact Symmetric Objects. ApJ 1996, 460, 612–633. [Google Scholar] [CrossRef]
- Coppejans, R.; Cseh, D.; Williams, W.L.; van Velzen, S.; Falcke, H. Megahertz peaked-spectrum sources in the Boötes field I - a route towards finding high-redshift AGN. MNRAS 2015, 450, 1477–1485. [Google Scholar] [CrossRef]
- Coppejans, R.; van Velzen, S.; Intema, H.T.; Müller, C.; Frey, S.; Coppejans, D.L.; Cseh, D.; Williams, W.L.; Falcke, H.; Körding, E.G.; et al. Radio spectra of bright compact sources at z > 4.5. MNRAS 2017, 467, 2039–2060, [arXiv:astro-ph.GA/1701.06622]. [Google Scholar] [CrossRef]
- Sotnikova, Y.; Mikhailov, A.; Mufakharov, T.; Mingaliev, M.; Bursov, N.; Semenova, T.; Stolyarov, V.; Udovitskiy, R.; Kudryashova, A.; Erkenov, A. High-redshift quasars at z ≥ 3 - I. Radio spectra. MNRAS 2021, 508, 2798–2814, [arXiv:astro-ph.GA/2109.14029]. [Google Scholar] [CrossRef]
- Stanghellini, C.; O’Dea, C.P.; Dallacasa, D.; Baum, S.A.; Fanti, R.; Fanti, C. A complete sample of GHz-peaked-spectrum radio sources and its radio properties. A&AS 1998, 131, 303–315, [arXiv:astro-ph/9803222]. [Google Scholar]
- O’Dea, C.P. The Compact Steep-Spectrum and Gigahertz Peaked-Spectrum Radio Sources. PASP 1998, 110, 493–532. [Google Scholar] [CrossRef]
- Stanghellini, C. Radio variability and polarization of GHz-peaked-spectrum sources. Mem. Soc. Astron. Italiana 1999, 70, 117–120. [Google Scholar]
- Tornikoski, M.; Torniainen, I.; Lähteenmäki, A.; Hovatta, T.; Nieppola, E.; Turunen, M.; Lainela, M.; Valtaoja, E.; Aller, M.F.; Aller, H.D.; et al. Long-term radio behaviour of GPS sources and candidates. Astronomische Nachrichten 2009, 330, 128–132. [Google Scholar] [CrossRef]
- Mingaliev, M.G.; Sotnikova, Y.V.; Torniainen, I.; Tornikoski, M.; Udovitskiy, R.Y. Multifrequency study of GHz-peaked spectrum sources and candidates with the RATAN-600 radio telescope. A&A 2012, 544, A25. [Google Scholar] [CrossRef]
- Mingaliev, M.G.; Sotnikova, Y.V.; Mufakharov, T.V.; Erkenov, A.K.; Udovitskiy, R.Y. Gigahertz-peaked spectrum (GPS) galaxies and quasars. Astrophysical Bulletin 2013, 68, 262–272. [Google Scholar] [CrossRef]
- Sotnikova, Y.V.; Mufakharov, T.V.; Majorova, E.K.; Mingaliev, M.G.; Udovitskii, R.Y.; Bursov, N.N.; Semenova, T.A. Multifrequency Study of GHz-peaked Spectrum Sources. Astrophysical Bulletin 2019, 74, 348–364, [arXiv:astro-ph.GA/1911.12769]. [Google Scholar] [CrossRef]
- Sotnikova, Y.; Mufakharov, T.; Mingaliev, M.; Mikhailov, A. Multifrequency study of gigahertz-peaked spectrum sources with RATAN -600. Astronomische Nachrichten 2021, 342, 1195–1199, [arXiv:astro-ph.GA/2111.04828]. [Google Scholar] [CrossRef]
- Dallacasa, D.; Orienti, M. Radio spectra of High Frequency Peakers. Astronomische Nachrichten 2016, 337, 120. [Google Scholar] [CrossRef]
- Kovalev, Y.Y. “TEMPORARY Gps/hfp” Radio Sources. Baltic Astronomy 2005, 14, 413–416. [Google Scholar]
- Orienti, M.; Dallacasa, D.; Stanghellini, C. Spectral variability in faint high-frequency peakers. MNRAS 2010, 408, 1075–1088, [arXiv:astro-ph.CO/1006.2049]. [Google Scholar] [CrossRef]
- Condon, J.J.; Cotton, W.D.; Greisen, E.W.; Yin, Q.F.; Perley, R.A.; Taylor, G.B.; Broderick, J.J. The NRAO VLA Sky Survey. AJ 1998, 115, 1693–1716. [Google Scholar] [CrossRef]
- Sotnikova, Y.; Mikhailov, A.; Mufakharov, T.; Mingaliev, M.; Bursov, N.; Semenova, T.; Stolyarov, V.; Udovitskiy, R.; Kudryashova, A.; Erkenov, A. VizieR Online Data Catalog: Sample of 102 distant quasars (Sotnikova+, 2021). VizieR Online Data Catalog 2022, p. J/MNRAS/508/2798.
- Giommi, P.; Brandt, C.H.; Barres de Almeida, U.; Pollock, A.M.T.; Arneodo, F.; Chang, Y.L.; Civitarese, O.; De Angelis, M.; D’Elia, V.; Del Rio Vera, J.; et al. Open Universe for Blazars: a new generation of astronomical products based on 14 years of Swift-XRT data. A&A 2019, 631, A116, [arXiv:astro-ph.HE/1904.06043]. [Google Scholar] [CrossRef]
- Massaro, E.; Maselli, A.; Leto, C.; Marchegiani, P.; Perri, M.; Giommi, P.; Piranomonte, S. The 5th edition of the Roma-BZCAT. A short presentation. Ap&SS 2015, 357, 75, [arXiv:astro-ph.HE/1502.07755]. [Google Scholar] [CrossRef]
- Albareti, F.D.; Comparat, J.; Gutiérrez, C.M.; Prada, F.; Pâris, I.; Schlegel, D.; López-Corredoira, M.; Schneider, D.P.; Manchado, A.; García-Hernández, D.A. Constraint on the time variation of the fine-structure constant with the SDSS-III/BOSS DR12 quasar sample. MNRAS 2015, 452, 4153–4168, [arXiv:astro-ph.CO/1501.00560]. [Google Scholar] [CrossRef]
- Pâris, I.; Petitjean, P.; Aubourg, É.; Myers, A.D.; Streblyanska, A.; Lyke, B.W.; Anderson, S.F.; Armengaud, É.; Bautista, J.; Blanton, M.R.; et al. The Sloan Digital Sky Survey Quasar Catalog: Fourteenth data release. A&A 2018, 613, A51, [arXiv:astro-ph.GA/1712.05029]. [Google Scholar] [CrossRef]
- Afanas’ev, V.L.; Dodonov, S.N.; Moiseev, A.V.; Gorshkov, A.G.; Konnikova, V.K.; Mingaliev, M.G. Radio and Optical Spectral Studies of Radio Sources. Astronomy Reports 2003, 47, 458–466. [Google Scholar] [CrossRef]
- Verkhodanov, O.V.; Trushkin, S.A.; Andernach, H.; Chernenkov, V.N. Current status of the CATS database. Bulletin of the Special Astrophysics Observatory 2005, 58, 118–129, [arXiv:astro-ph/0705.2959]. [Google Scholar]
- Verkhodanov, O.V.; Trushkin, S.A.; Andernach, H.; Chernenkov, V.N. The CATS Service: An Astrophysical Research Tool. Data Science Journal 2009, 8, 34–40, [arXiv:astro-ph.IM/0901.3118]. [Google Scholar] [CrossRef]
- Aller, M.F.; Aller, H.D.; Hughes, P.A. Pearson-Readhead survey sources - Properties of the centimeter-wavelength flux and polarization of a complete radio sample. ApJ 1992, 399, 16–28. [Google Scholar] [CrossRef]
- Kraus, A.; Krichbaum, T.P.; Wegner, R.; Witzel, A.; Cimò, G.; Quirrenbach, A.; Britzen, S.; Fuhrmann, L.; Lobanov, A.P.; Naundorf, C.E.; et al. Intraday variability in compact extragalactic radio sources. II. Observations with the Effelsberg 100 m radio telescope. A&A 2003, 401, 161–172. [Google Scholar] [CrossRef]
- Vaughan, S.; Edelson, R.; Warwick, R.S.; Uttley, P. On characterizing the variability properties of X-ray light curves from active galaxies. MNRAS 2003, 345, 1271–1284, [arXiv:astro-ph/astro-ph/0307420]. [Google Scholar] [CrossRef]
- Tornikoski, M.; Lainela, M.; Valtaoja, E. The High Radio Frequency Spectra and Variability of Southern Flat-Spectrum Radio Sources. AJ 2000, 120, 2278–2283. [Google Scholar] [CrossRef]
- Nieppola, E.; Tornikoski, M.; Lähteenmäki, A.; Valtaoja, E.; Hakala, T.; Hovatta, T.; Kotiranta, M.; Nummila, S.; Ojala, T.; Parviainen, M.; et al. 37 GHz Observations of a Large Sample of BL Lacertae Objects. AJ 2007, 133, 1947–1953, [0705.0887]. [Google Scholar] [CrossRef]
- Khabibullina, M.; Mikhailov, A.; Sotnikova, Y.; Mufakharov, T.; Mingaliev, M.; Kudryashova, A.; Bursov, N.; Stolyarov, V.; Udovitskij, R. Radio properties of high-redshift galaxies at z ≥ 1. arXiv e-prints 2024, p. arXiv:2402.02283, [arXiv:astro-ph.GA/2402.02283].
- Morgan, J.S.; Macquart, J.P.; Ekers, R.; Chhetri, R.; Tokumaru, M.; Manoharan, P.K.; Tremblay, S.; Bisi, M.M.; Jackson, B.V. Interplanetary Scintillation with the Murchison Widefield Array I: a sub-arcsecond survey over 900 deg2 at 79 and 158 MHz. MNRAS 2018, 473, 2965–2983, [arXiv:astro-ph.IM/1709.00312]. [Google Scholar] [CrossRef]
- Narayan, R. The Physics of Pulsar Scintillation. Philosophical Transactions of the Royal Society of London Series A 1992, 341, 151–165. [Google Scholar] [CrossRef]
- Kellermann, K.I.; Owen, F.N. Radio galaxies and quasars. In Galactic and Extragalactic Radio Astronomy; Kellermann, K.I.; Verschuur, G.L., Eds.; 1988; pp. 563–602.
- Krezinger, M.; Perger, K.; Gabányi, K.É.; Frey, S.; Gurvits, L.I.; Paragi, Z.; An, T.; Zhang, Y.; Cao, H.; Sbarrato, T. Radio-loud Quasars above Redshift 4: Very Long Baseline Interferometry (VLBI) Imaging of an Extended Sample. ApJS 2022, 260, 49, [arXiv:astro-ph.GA/2204.02114]. [Google Scholar] [CrossRef]
- Frey, S.; Paragi, Z.; Fogasy, J.O.; Gurvits, L.I. The first estimate of radio jet proper motion at z > 5. MNRAS 2015, 446, 2921–2928, [arXiv:astro-ph.GA/1410.8101]. [Google Scholar] [CrossRef]
- Sbarrato, T.; Ghisellini, G.; Nardini, M.; Tagliaferri, G.; Foschini, L.; Ghirlanda, G.; Tavecchio, F.; Greiner, J.; Rau, A.; Gehrels, N. SDSS J102623.61+254259.5: the second most distant blazar at z = 5.3. MNRAS 2012, 426, L91–L95, [arXiv:astro-ph.CO/1208.3467]. [Google Scholar] [CrossRef]
- Zhang, Y.; An, T.; Frey, S. Fast jet proper motion discovered in a blazar at z=4.72. Science Bulletin 2020, 65, 525–530, [arXiv:astro-ph.HE/1912.12597]. [Google Scholar] [CrossRef] [PubMed]
- Hook, I.M.; McMahon, R.G.; Shaver, P.A.; Snellen, I.A.G. Discovery of radio-loud quasars with redshifts above 4 from the PMN sample. A&A 2002, 391, 509–517, [arXiv:astro-ph/astro-ph/0207101]. [Google Scholar] [CrossRef]
- Hook, I.M.; McMahon, R.G. Discovery of radio-loud quasars with z=4.72 and z=4.010. MNRAS 1998, 294, L7–L12, [arXiv:astro-ph/astro-ph/9801026]. [Google Scholar] [CrossRef]
- Celotti, A.; Ghisellini, G. The power of blazar jets. MNRAS 2008, 385, 283–300, [arXiv:astro-ph/0711.4112]. [Google Scholar] [CrossRef]
- Zickgraf, F.J.; Voges, W.; Krautter, J.; Thiering, I.; Appenzeller, I.; Mujica, R.; Serrano, A. Identification of a complete sample of northern ROSAT All-Sky Survey X-ray sources. V. Discovery of a z=4.28 QSO near the RASS source RX J1028.6-0844. A&A 1997, 323, L21–L24. [Google Scholar]
- Fiedler, R.L.; Waltman, E.B.; Spencer, J.H.; Johnston, K.J.; Angerhofer, P.E.; Florkowski, D.R.; Josties, F.J.; Klepczynski, W.J.; McCarthy, D.D.; Matsakis, D.N. Daily Observations of Compact Extragalactic Radio Sources at 2695 and 8085 MHz, 1979–1985. ApJS 1987, 65, 319. [Google Scholar] [CrossRef]
- Lazio, T.J.W.; Waltman, E.B.; Ghigo, F.D.; Fiedler, R.L.; Foster, R.S.; Johnston, K.J. A Dual-Frequency, Multiyear Monitoring Program of Compact Radio Sources. ApJS 2001, 136, 265–392, [arXiv:astro-ph/astroph/0105433]. [Google Scholar] [CrossRef]
- Vagnetti, F.; Turriziani, S.; Trevese, D. Ensemble X-ray variability of active galactic nuclei from serendipitous source catalogues. A&A 2011, 536, A84, [arXiv:astro-ph.CO/1110.4768]. [Google Scholar] [CrossRef]
- Vagnetti, F.; Middei, R.; Antonucci, M.; Paolillo, M.; Serafinelli, R. Ensemble X-ray variability of active galactic nuclei. II. Excess variance and updated structure function. A&A 2016, 593, A55, [arXiv:astro-ph.GA/1607.02629]. [Google Scholar] [CrossRef]
- Arthur, D.; Vassilvitskii, S. k-means++: the advantages of careful seeding. In Proceedings of the SODA ’07: Proceedings of the eighteenth annual ACM-SIAM symposium on Discrete algorithms, Philadelphia, PA, USA, 2007; pp. 1027–1035.
- Kohonen, T. Self-Organizing Maps; 2001.
- Torniainen, I.; Tornikoski, M.; Teräsranta, H.; Aller, M.F.; Aller, H.D. Long term variability of gigahertz-peaked spectrum sources and candidates. A&A 2005, 435, 839–856. [Google Scholar] [CrossRef]
- Torniainen, I.; Tornikoski, M.; Lähteenmäki, A.; Aller, M.F.; Aller, H.D.; Mingaliev, M.G. Radio continuum spectra of gigahertz-peaked spectrum galaxies. A&A 2007, 469, 451–457. [Google Scholar] [CrossRef]
- Snellen, I.A.G.; Schilizzi, R.T.; de Bruyn, A.G.; Miley, G.K.; Rengelink, R.B.; Roettgering, H.J.; Bremer, M.N. A new sample of faint Gigahertz Peaked Spectrum radio sources. A&AS 1998, 131, 435–449. [Google Scholar] [CrossRef]
- Bicknell, G.V.; Dopita, M.A.; O’Dea, C.P. Unification of the Radio and Optical Properties of Gigahertz Peak Spectrum and Compact Steep-Spectrum Radio Sources. AJ 1997, 485, 112–124. [Google Scholar] [CrossRef]
- Fanti, C.; Fanti, R.; Dallacasa, D.; Schilizzi, R.T.; Spencer, R.E.; Stanghellini, C. Are compact steep-spectrum sources young? A&A 1995, 302, 317. [Google Scholar]
- van Breugel, W.; Miley, G.; Heckman, T. Studies of kiloparsec-scale, steep-spectrum radio cores. I. VLA maps. AJ 1984, 89, 5–22. [Google Scholar] [CrossRef]
- Bai, J.M.; Lee, M.G. GPS Quasars as Special Blazars. Journal of Korean Astronomical Society 2005, 38, 125. [Google Scholar] [CrossRef]
- Labiano, A.; Vermeulen, R.C.; Barthel, P.D.; O’Dea, C.P.; Gallimore, J.F.; Baum, S.; de Vries, W. H I absorption in <ASTROBJ>3C 49</ASTROBJ> and <ASTROBJ>3C 268.3</ASTROBJ>. Probing the environment of compact steep spectrum and GHz peaked spectrum sources. A&A 2006, 447, 481–487, [arXiv:astro-ph/astroph/0510563]. [Google Scholar] [CrossRef]
- Orienti, M.; Dallacasa, D.; Stanghellini, C. Constraining the spectral age of very asymmetric CSOs. Evidence of the influence of the ambient medium. A&A 2007, 461, 923–929, [arXiv:astro-ph/astro-ph/0610359]. [Google Scholar] [CrossRef]
- Dicken, D.; Tadhunter, C.; Axon, D.; Morganti, R.; Robinson, A.; Kouwenhoven, M.B.N.; Spoon, H.; Kharb, P.; Inskip, K.J.; Holt, J. Spitzer Mid-IR Spectroscopy of Powerful 2 Jy and 3CRR Radio Galaxies. I. Evidence against a Strong Starburst-AGN Connection in Radio-loud AGN. ApJ 2012, 745, 172, [arXiv:astro-ph.CO/1111.4476]. [Google Scholar] [CrossRef]
- Baum, S.A.; O’Dea, C.P.; Murphy, D.W.; de Bruyn, A.G. 0108+388 - A compact double source with surprising properties. A&A 1990, 232, 19–26. [Google Scholar]
- Reynolds, C.S.; Begelman, M.C. Intermittant Radio Galaxies and Source Statistics. ApJ 1997, 487, L135–L138, [arXiv:astro-ph/astro-ph/9707221]. [Google Scholar] [CrossRef]
- Stanghellini, C.; O’Dea, C.P.; Dallacasa, D.; Cassaro, P.; Baum, S.A.; Fanti, R.; Fanti, C. Extended emission around GPS radio sources. A&A 2005, 443, 891–902, [arXiv:astro-ph/astro-ph/0507499]. [Google Scholar] [CrossRef]
- Readhead, A.C.S.; Ravi, V.; Blandford, R.D.; Sullivan, A.G.; Somalwar, J.; Liodakis, I.; Lister, M.L.; Taylor, G.B.; Wilkinson, P.N.; Globus, N.; et al. The Evolution of Compact Symmetric Objects – A Possible Connection with Tidal Disruption Events. arXiv e-prints, 2023, p. arXiv:2303.11361, [arXiv:astro-ph.HE/2303.11361]. [CrossRef]
- Torniainen, I. Multifrequency studies of gigahertz-peaked spectrum sources and candidates. PhD thesis, Helsinki University of Technology, Finland, 2008.
- O’Dea, C.P.; Baum, S.A.; Morris, G.B. CCD observations of gigahertz-peaked-spectrum radio sources. A&AS 1990, 82, 261–272. [Google Scholar]
- de Vries, W.H.; Barthel, P.D.; O’Dea, C.P. Radio spectra of Gigahertz Peaked Spectrum radio sources. A&A 1997, 321, 105–110. [Google Scholar]
- Edwards, P.G.; Tingay, S.J. New candidate GHz peaked spectrum and compact steep spectrum sources. A&A 2004, 424, 91–106, [arXiv:astro-ph/0407010]. [Google Scholar] [CrossRef]
- Dallacasa, D.; Stanghellini, C.; Centonza, M.; Furnari, G. High frequency peakers. Astronomische Nachrichten 2002, 46, 299–302. [Google Scholar] [CrossRef]
- Orienti, M. High frequency peakers. Astronomische Nachrichten 2009, 330, 167. [Google Scholar] [CrossRef]
- Orienti, M.; Dallacasa, D.; Stanghellini, C. Constraining the nature of high frequency peakers. The spectral variability. A&A 2007, 475, 813–820, [arXiv:astro-ph/0708.3979]. [Google Scholar] [CrossRef]
- Orienti, M.; Dallacasa, D. Constraining the nature of high frequency peakers. II. Polarization properties. A&A 2008, 479, 409–415, [arXiv:astro-ph/0712.3207]. [Google Scholar] [CrossRef]
- Paragi, Z.; Frey, S.; Gurvits, L.I.; Kellermann, K.I.; Schilizzi, R.T.; McMahon, R.G.; Hook, I.M.; Pauliny-Toth, I.I.K. VLBI imaging of extremely high redshift quasars at 5 GHz. A&A 1999, 344, 51–60. [Google Scholar]
- Zhang, Y.; An, T.; Frey, S.; Gabányi, K.É.; Sotnikova, Y. Radio Jet Proper-motion Analysis of Nine Distant Quasars above Redshift 3.5. ApJ 2022, 937, 19, [arXiv:astro-ph.HE/2209.10760]. [Google Scholar] [CrossRef]
- Plavin, A.V.; Kovalev, Y.Y.; Pushkarev, A.B. Direction of Parsec-scale Jets for 9220 Active Galactic Nuclei. ApJS 2022, 260, 4, [arXiv:astro-ph.HE/2203.13750]. [Google Scholar] [CrossRef]
- Gobeille, D.B.; Wardle, J.F.C.; Cheung, C.C. VLA Observations of a Complete Sample of Radio Loud Quasars between redshifts 2.5 and 5.28: I. high-redshift sample summary and the radio images. arXiv e-prints, 2014, p. arXiv:1406.4797, [arXiv:astro-ph.GA/1406.4797].
- An, T.; Wang, A.; Zhang, Y.; Aditya, J.N.H.S.; Hong, X.; Cui, L. A compact symmetric radio source born at one-tenth the current age of the Universe. MNRAS 2022, 511, 4572–4581, [arXiv:astro-ph.GA/2109.10599]. [Google Scholar] [CrossRef]
- Garrett, M.A.; Muxlow, T.W.B.; Patnaik, A.R.; Walsh, D. MERLIN observations of the gravitational lens system 2016+112. MNRAS 1994, 269, 902–906. [Google Scholar] [CrossRef]
- Cheng, X.; An, T.; Wang, A.; Jaiswal, S. High-Frequency and High-Resolution VLBI Observations of GHz Peaked Spectrum Objects. Galaxies 2023, 11, 42, [arXiv:astro-ph.HE/2303.03066]. [Google Scholar] [CrossRef]
- Orienti, M.; Dallacasa, D. Physical properties of young radio sources: VLBA observations of high-frequency peaking radio sources. MNRAS 2014, 438, 463–475, [arXiv:astro-ph.CO/1311.2999]. [Google Scholar] [CrossRef]
- Callingham, J.R.; Ekers, R.D.; Gaensler, B.M.; Line, J.L.B.; Hurley-Walker, N.; Sadler, E.M.; Tingay, S.J.; Hancock, P.J.; Bell, M.E.; Dwarakanath, K.S.; et al. Extragalactic Peaked-spectrum Radio Sources at Low Frequencies. ApJ 2017, 836, 174, [arXiv:astro-ph.GA/1701.02771]. [Google Scholar] [CrossRef]
- O’Dea, C.P.; Baum, S.A.; Stanghellini, C.; Morris, G.B.; Patnaik, A.R.; Gopal-Krishna. Multifrequency VLA observations of GHz-peaked-spectrum radio cores. A&AS 1990, 84, 549–562. [Google Scholar]
- O’Dea, C.P.; Dent, W.A.; Kinzel, W.M.; Balonek, T.J. Multifrequency radio observations of the variable quasars 0133+476, 0235+164, 1749+096, and 2131-021. AJ 1986, 92, 1262–1271. [Google Scholar] [CrossRef]
- Planck Collaboration.; Ade, P.A.R.; Aghanim, N.; Angelakis, E.; Arnaud, M.; Ashdown, M.; Aumont, J.; Baccigalupi, C.; Balbi, A.; Banday, A.J.; et al. Planck early results. XIV. ERCSC validation and extreme radio sources. A&A 2011, 536, A14, [arXiv:astro-ph.CO/1101.1721]. [Google Scholar] [CrossRef]
- O’Dea, C.P. Do quasars with radio spectra peaked at gigahertz frequencies have extremely high redshifts? MNRAS 1990, 245, 20P. [Google Scholar]
- Marecki, A.; Falcke, H.; Niezgoda, J.; Garrington, S.T.; Patnaik, A.R. Gigahertz Peaked Spectrum sources from the Jodrell Bank-VLA Astrometric Survey. I. Sources in the region 35degr <= delta <= 75degr. A&AS 1999, 135, 273–289. [Google Scholar]
- Dallacasa, D.; Stanghellini, C.; Centonza, M.; Fanti, R. High frequency peakers. I. The bright sample. A&A 2000, 363, 887–900, [arXiv:astro-ph/astro-ph/0012428]. [Google Scholar]
- Tinti, S.; Dallacasa, D.; de Zotti, G.; Celotti, A.; Stanghellini, C. High Frequency Peakers: Young radio sources or flaring blazars? A&A 2005, 432, 31–43. [Google Scholar] [CrossRef]
- Mufakharov, T.; Mikhailov, A.; Sotnikova, Y.; Mingaliev, M.; Stolyarov, V.; Erkenov, A.; Nizhelskij, N.; Tsybulev, P. Flux-density measurements of the high-redshift blazar PSO J047.4478+27.2992 at 4.7 and 8.2 GHz with RATAN-600. MNRAS 2021, 503, 4662–4666, [arXiv:astro-ph.HE/2011.12072]. [Google Scholar] [CrossRef]
- Hurley-Walker, N.; Callingham, J.R.; Hancock, P.J.; Franzen, T.M.O.; Hindson, L.; Kapińska, A.D.; Morgan, J.; Offringa, A.R.; Wayth, R.B.; Wu, C. GaLactic and Extragalactic All-sky Murchison Widefield Array (GLEAM) survey - I. A low-frequency extragalactic catalogue. MNRAS 2017, 464, 1146–1167, [arXiv:astro-ph.GA/1610.08318]. [Google Scholar] [CrossRef]
- Healey, S.E.; Romani, R.W.; Taylor, G.B.; Sadler, E.M.; Ricci, R.; Murphy, T.; Ulvestad, J.S.; Winn, J.N. CRATES: An All-Sky Survey of Flat-Spectrum Radio Sources. ApJS 2007, 171, 61–71, [arXiv:astro-ph/astroph/0702346]. [Google Scholar] [CrossRef]
- Kimball, A.E.; Ivezić, Ž.; Wiita, P.J.; Schneider, D.P. Correlations of Quasar Optical Spectra with Radio Morphology. AJ 2011, 141, 182, [arXiv:astro-ph.CO/1103.4791]. [Google Scholar] [CrossRef]
- Gordon, D.; Jacobs, C.; Beasley, A.; Peck, A.; Gaume, R.; Charlot, P.; Fey, A.; Ma, C.; Titov, O.; Boboltz, D. Second Epoch VLBA Calibrator Survey Observations: VCS-II. AJ 2016, 151, 154. [Google Scholar] [CrossRef] [PubMed]
- D’Abrusco, R.; Massaro, F.; Paggi, A.; Smith, H.A.; Masetti, N.; Landoni, M.; Tosti, G. The WISE Blazar-like Radio-loud Sources: An All-sky Catalog of Candidate γ-ray Blazars. ApJS 2014, 215, 14, [arXiv:astro-ph.HE/1410.0029]. [Google Scholar] [CrossRef]
- Petrov, L.; Kovalev, Y.Y.; Fomalont, E.B.; Gordon, D. The Fourth VLBA Calibrator Survey: VCS4. AJ 2006, 131, 1872–1879. [Google Scholar] [CrossRef]
- Amirkhanyan, V.R.; Mikhailov, V.P. The radio source Z0254+43: z = 4.067. Astrophysics 2006, 49, 184–193. [Google Scholar] [CrossRef]
- Patnaik, A.R.; Browne, I.W.A.; Wilkinson, P.N.; Wrobel, J.M. Interferometer phase calibration sources - I. The region 35deg <= Dec. <= 75deg. MNRAS 1992, 254, 655. [Google Scholar] [CrossRef]
- Lovell, J.E.J.; Rickett, B.J.; Macquart, J.P.; Jauncey, D.L.; Bignall, H.E.; Kedziora-Chudczer, L.; Ojha, R.; Pursimo, T.; Dutka, M.; Senkbeil, C.; et al. The Micro-Arcsecond Scintillation-Induced Variability (MASIV) Survey. II. The First Four Epochs. ApJ 2008, 689, 108–126, [arXiv:astro-ph/0808.1140]. [Google Scholar] [CrossRef]
- Chhetri, R.; Morgan, J.; Ekers, R.D.; Macquart, J.P.; Sadler, E.M.; Giroletti, M.; Callingham, J.R.; Tingay, S.J. Interplanetary scintillation studies with the Murchison Widefield Array - II. Properties of sub-arcsecond compact sources at low radio frequencies. MNRAS 2018, 474, 4937–4955, [arXiv:astro-ph.HE/1711.00393]. [Google Scholar] [CrossRef]
- Ross, K.; Callingham, J.R.; Hurley-Walker, N.; Seymour, N.; Hancock, P.; Franzen, T.M.O.; Morgan, J.; White, S.V.; Bell, M.E.; Patil, P. Spectral variability of radio sources at low frequencies. MNRAS 2021, 501, 6139–6155, [arXiv:astro-ph.GA/2012.01842]. [Google Scholar] [CrossRef]
- Nyland, K.; Dong, D.Z.; Patil, P.; Lacy, M.; van Velzen, S.; Kimball, A.E.; Sarbadhicary, S.K.; Hallinan, G.; Baldassare, V.; Clarke, T.E.; et al. Quasars That Have Transitioned from Radio-quiet to Radio-loud on Decadal Timescales Revealed by VLASS and FIRST. ApJ 2020, 905, 74, [arXiv:astro-ph.GA/2011.08872]. [Google Scholar] [CrossRef]
- Chih Hsu, P.; Koay, J.Y.; Matsushita, S.; Hwang, C.Y.; Hovatta, T.; Kiehlmann, S.; Readhead, A.; Max-Moerbeck, W.; Reeves, R. Milliarcsecond Core Size Dependence of the Radio Variability of Blazars. arXiv e-prints, [arXiv:astro-ph.GA/2308.09626]. [CrossRef]
- Kiehlmann, S.; Readhead, A.C.S.; O’Neill, S.; Wilkinson, P.N.; Lister, M.L.; Liodakis, I.; Bruzewski, S.; Pearson, T.J.; Sheldahl, E.; Siemiginowska, A.; et al. Compact Symmetric Objects: A Distinct Population of Jetted Active Galaxies. arXiv e-prints, 2023, p. arXiv:2303.11359, [arXiv:astro-ph.HE/2303.11359]. [CrossRef]
- Kiehlmann, S.; Lister, M.L.; Readhead, A.C.S.; Liodakis, I.; O’Neill, S.; Pearson, T.J.; Sheldahl, E.; Siemiginowska, A.; Tassis, K.; Taylor, G.B.; et al. Towards a Comprehensive Catalog of Bona Fide Compact Symmetric Objects. arXiv e-prints, 2023, p. arXiv:2303.11357, [arXiv:astro-ph.HE/2303.11357]. [CrossRef]
- Perger, K.; Frey, S.; Schwartz, D.A.; Gabányi, K.É.; Gurvits, L.I.; Paragi, Z. Multi-scale Radio and X-Ray Structure of the High-redshift Quasar PMN J0909+0354. ApJ 2021, 915, 98, [arXiv:astro-ph.GA/2105.06307]. [Google Scholar] [CrossRef]
- Pedregosa, F.; Varoquaux, G.; Gramfort, A.; Michel, V.; Thirion, B.; Grisel, O.; Blondel, M.; Prettenhofer, P.; Weiss, R.; Dubourg, V.; et al. Scikit-learn: Machine Learning in Python. Journal of Machine Learning Research 2011, 12, 2825–2830. [Google Scholar]
- Bengfort, B.; Bilbro, R. Yellowbrick: Visualizing the Scikit-Learn Model Selection Process. Journal of Open Source Software 2019, 4, 1075. [Google Scholar] [CrossRef]
- van der Maaten, L.; Hinton, G. Visualizing Data using t-SNE. Journal of Machine Learning Research 2008, 9, 2579–2605. [Google Scholar]
- Wittek, P.; Gao, S.C.; Lim, I.S.; Zhao, L. somoclu: An Efficient Parallel Library for Self-Organizing Maps. Journal of Statistical Software 2017, 78, 1–21. [Google Scholar] [CrossRef]
- Gorshkov, A.G.; Konnikova, V.K.; Mingaliev, M.G. Long-term variability of a complete sample of flat-spectrum radio sources at declinations 10°-12°30’ (J2000). Astronomy Reports 2012, 56, 345–362. [Google Scholar] [CrossRef]
- Drinkwater, M.J.; Webster, R.L.; Francis, P.J.; Condon, J.J.; Ellison, S.L.; Jauncey, D.L.; Lovell, J.; Peterson, B.A.; Savage, A. The Parkes Half-Jansky Flat-Spectrum Sample. MNRAS 1997, 284, 85–125. [Google Scholar] [CrossRef]
- Bennett, C.L.; Lawrence, C.R.; Burke, B.F.; Hewitt, J.N.; Mahoney, J. The MIT–Green Bank (MG) 5 GHz Survey. ApJS 1986, 61, 1. [Google Scholar] [CrossRef]
- Torniainen, I.; Tornikoski, M.; Turunen, M.; Lainela, M.; Lähteenmäki, A.; Hovatta, T.; Mingaliev, M.G.; Aller, M.F.; Aller, H.D. Cluster analyses of gigahertz-peaked spectrum sources with self-organising maps. A&A 2008, 482, 483–498. [Google Scholar] [CrossRef]
- Jeong, Y.; Sohn, B.W.; Chung, A.; Park, S.; Park, P. Identifying High Frequency Peakers using the Korean VLBI Network. Astronomische Nachrichten 2016, 337, 130. [Google Scholar] [CrossRef]
- Wright, A.E.; Griffith, M.R.; Hunt, A.J.; Troup, E.; Burke, B.F.; Ekers, R.D. The Parkes-MIT-NRAO (PMN) Surveys. VIII. Source Catalog for the Zenith Survey (-37.0 degrees < delta < -29.0 degrees ). ApJS 1996, 103, 145. [Google Scholar] [CrossRef]
- Intema, H.T.; Jagannathan, P.; Mooley, K.P.; Frail, D.A. The GMRT 150 MHz all-sky radio survey. First alternative data release TGSS ADR1. A&A 2017, 598, A78, [arXiv:astro-ph.CO/1603.04368]. [Google Scholar] [CrossRef]
- Brinkmann, W.; Siebert, J.; Reich, W.; Fuerst, E.; Reich, P.; Voges, W.; Truemper, J.; Wielebinski, R. The ROSAT AGN content of the 87GB 5 GHz survey: bulk properties of previously optically identified sources. A&AS 1995, 109, 147–170. [Google Scholar]
- Muñoz, J.A.; Falco, E.E.; Kochanek, C.S.; Lehár, J.; Mediavilla, E. The Redshift Distribution of Flat-Spectrum Radio Sources. ApJ 2003, 594, 684–694. [Google Scholar] [CrossRef]
- Snios, B.; Schwartz, D.A.; Siemiginowska, A.; Sobolewska, M.; Birkinshaw, M.; Cheung, C.C.; Gobeille, D.B.; Marshall, H.L.; Migliori, G.; Wardle, J.F.C.; et al. Discovery of Candidate X-Ray Jets in High-redshift Quasars. ApJ 2021, 914, 130, [arXiv:astro-ph.HE/2102.12609]. [Google Scholar] [CrossRef]
- Rengelink, R.B.; Tang, Y.; de Bruyn, A.G.; Miley, G.K.; Bremer, M.N.; Roettgering, H.J.A.; Bremer, M.A.R. The Westerbork Northern Sky Survey (WENSS), I. A 570 square degree Mini-Survey around the North Ecliptic Pole. A&AS 1997, 124, 259–280. [Google Scholar] [CrossRef]
- Riley, J.M.W.; Waldram, E.M.; Riley, J.M. The 7C survey of radio sources at 151 MHz: 33 regions in the range 7h < RA < 17h, 30 deg <Dec. <58 deg. MNRAS 1999, 306, 31–34. [Google Scholar] [CrossRef]
- Liu, F.K.; Zhang, Y.H. A new list of extra-galactic radio jets. A&A 2002, 381, 757–760. [Google Scholar] [CrossRef]
- Yang, J.; Gurvits, L.; Lobanov, A.; Frey, S.; Hong, X. Dual frequency VSOP imaging of a high redshift quasar PKS 1402+044. In Proceedings of the Proceedings of the 8th European VLBI Network Symposium; Baan, W.; Bachiller, R.; Booth, R.; Charlot, P.; Diamond, P.; Garrett, M.; Hong, X.; Jonas, J.; Kus, A.; Mantovani, F.; et al., Eds., 2006, p. 86, [arXiv:astro-ph/astro-ph/0611425].
- Dodson, R.; Fomalont, E.B.; Wiik, K.; Horiuchi, S.; Hirabayashi, H.; Edwards, P.G.; Murata, Y.; Asaki, Y.; Moellenbrock, G.A.; Scott, W.K.; et al. The VSOP 5 GHz Active Galactic Nucleus Survey. V. Imaging Results for the Remaining 140 Sources. ApJS 2008, 175, 314–355, [arXiv:astro-ph/0710.5707]. [Google Scholar] [CrossRef]
- Lawrence, C.R.; Schneider, D.P.; Schmidt, M.; Bennett, C.L.; Hewitt, J.N.; Burke, B.F.; Turner, E.L.; Gunn, J.E. Discovery of a New Gravitational Lens System. Science 1984, 223, 46–49. [Google Scholar] [CrossRef] [PubMed]
- More, A.; McKean, J.P.; More, S.; Porcas, R.W.; Koopmans, L.V.E.; Garrett, M.A. The role of luminous substructure in the gravitational lens system MG 2016+112. MNRAS 2009, 394, 174–190, [arXiv:astro-ph/0810.5341]. [Google Scholar] [CrossRef]
- Wu, J.; Brandt, W.N.; Miller, B.P.; Garmire, G.P.; Schneider, D.P.; Vignali, C. An X-Ray and Multiwavelength Survey of Highly Radio-loud Quasars at z > 4: Jet-linked Emission in the Brightest Radio Beacons of the Early Universe. ApJ 2013, 763, 109, [arXiv:astro-ph.CO/1301.0012]. [Google Scholar] [CrossRef]
- Zhu, S.F.; Brandt, W.N.; Wu, J.; Garmire, G.P.; Miller, B.P. Investigating the X-ray enhancements of highly radio-loud quasars at z > 4. MNRAS 2019, 482, 2016–2038, [arXiv:astro-ph.HE/1810.06572]. [Google Scholar] [CrossRef]
- Lagattuta, D.J.; Auger, M.W.; Fassnacht, C.D. Adaptive Optics Observations of B0128+437: A Low-mass, High-redshift Gravitational Lens. ApJ 2010, 716, L185–L189, [arXiv:astro-ph.CO/0912.2344]. [Google Scholar] [CrossRef]
- Phillips, P.M.; Norbury, M.A.; Koopmans, L.V.E.; Browne, I.W.A.; Jackson, N.J.; Wilkinson, P.N.; Biggs, A.D.; Blandford, R.D.; de Bruyn, A.G.; Fassnacht, C.D.; et al. A new quadruple gravitational lens system: CLASS B0128+437. MNRAS 2000, 319, L7–L11. [Google Scholar] [CrossRef]
- Tonry, J.L.; Kochanek, C.S. Redshifts of the Gravitational Lenses MG 0414+0534 and MG 0751+2716. AJ 1999, 117, 2034–2038. [Google Scholar] [CrossRef]
- Lehar, J.; Burke, B.F.; Conner, S.R.; Falco, E.E.; Fletcher, A.B.; Irwin, M.; McMahon, R.G.; Muslow, T.W.B.; Schechter, P.L. The Gravitationally Lensed Radio Source MG 0751+2716. AJ 1997, 114, 48–53. [Google Scholar] [CrossRef]
- Rusin, D.; Kochanek, C.S.; Norbury, M.; Falco, E.E.; Impey, C.D.; Lehár, J.; McLeod, B.A.; Rix, H.W.; Keeton, C.R.; Muñoz, J.A.; et al. B1359+154: A Six-Image Lens Produced by a z ~= 1 Compact Group of Galaxies. ApJ 2001, 557, 594–604. [Google Scholar] [CrossRef]
- Tonry, J.L. Redshifts of the Gravitational Lenses B1422+231 and PG 1115+080. AJ 1998, 115, 1–5. [Google Scholar] [CrossRef]
- Patnaik, A.R.; Browne, I.W.A.; Walsh, D.; Chaffee, F.H.; Foltz, C.B. B 1422+231 : a new gravitationally lensed system at Z = 3.62. MNRAS 1992, 259, 1P–4. [Google Scholar] [CrossRef]
- Mao, S.; Schneider, P. Evidence for substructure in lens galaxies? MNRAS 1998, 295, 587–594. [Google Scholar] [CrossRef]
- Ofek, E.O.; Maoz, D.; Rix, H.W.; Kochanek, C.S.; Falco, E.E. Spectroscopic Redshifts for Seven Lens Galaxies. ApJ 2006, 641, 70–77. [Google Scholar] [CrossRef]
- Winn, J.N.; Morgan, N.D.; Hewitt, J.N.; Kochanek, C.S.; Lovell, J.E.J.; Patnaik, A.R.; Pindor, B.; Schechter, P.L.; Schommer, R.A. PMN J1632-0033: A New Gravitationally Lensed Quasar. AJ 2002, 123, 10–19. [Google Scholar] [CrossRef]
- Winn, J.N.; Rusin, D.; Kochanek, C.S. The central image of a gravitationally lensed quasar. Nature 2004, 427, 613–615. [Google Scholar] [CrossRef]
| 1 | |
| 2 | Spectral index estimated from the power law
|
| 3 | |
| 4 | marked by the letter “a” in Table A1
|
| 5 | |
| 6 |










| Frequency | N | N | ||
|---|---|---|---|---|
| (GHz) | (yrs) | (yrs) | ||
| 4.7 | 101 | 16 | 35 | 8 |
| 22.3 | 52 | 9 | 14 | 3 |
| N | median | mean | min | max | |
|---|---|---|---|---|---|
| 94 | 0.18 | 0.20±0.09 | 0.01 | 0.53 | |
| 87 | 0.23 | 0.25±0.15 | 0.01 | 0.86 | |
| 80 | 0.20 | 0.21±0.09 | 0.03 | 0.59 | |
| 101 | 0.17 | 0.20±0.11 | 0.05 | 0.62 | |
| 101 | 0.27 | 0.28±0.15 | 0.02 | 0.71 | |
| 90 | 0.17 | 0.20±0.12 | 0.01 | 0.66 | |
| 100 | 0.17 | 0.21±0.12 | 0.03 | 1.00 | |
| 95 | 0.23 | 0.27±0.17 | 0.02 | 0.96 | |
| 84 | 0.17 | 0.21±0.14 | 0.04 | 0.97 | |
| 92 | 0.17 | 0.18±0.09 | 0.01 | 0.57 | |
| 77 | 0.18 | 0.21±0.14 | 0.02 | 0.66 | |
| 66 | 0.14 | 0.17±0.11 | 0.05 | 0.63 | |
| 55 | 0.28 | 0.30±0.13 | 0.09 | 0.68 | |
| 51 | 0.36 | 0.35±0.18 | 0.04 | 0.68 | |
| 45 | 0.31 | 0.31±0.15 | 0.05 | 0.72 |
| Frequency | Source’s size | m (5 GHz) | t (5 GHz) | m (15 GHz) | t (15 GHz) | N, | N, |
|---|---|---|---|---|---|---|---|
| (GHz) | (mas) | (%) | days | (%) | days | ||
| 2.3 | 0.41 | 2.1 | 8.6 | 8.5 | 17.2 | 4/1 | 10/4 |
| 4.7 | 0.20 | 1.2 | 4.2 | 4.7 | 8.4 | 6/3 | 4/14 |
| 8.2 | 0.12 | 0.7 | 2.4 | 2.9 | 4.8 | 6/3 | 6/10 |
| 11.2 | 0.08 | 0.6 | 1.8 | 2.3 | 3.5 | 11/7 | 9/9 |
| 22.3 | 0.04 | 0.3 | 0.9 | 1.3 | 1.8 | 4/1 | 4/1 |
| N | N | N | N | N | ||||||
|---|---|---|---|---|---|---|---|---|---|---|
| peaked | 41 | 0.19±0.08 | 43 | 0.19±0.12 | 41 | 0.18±0.10 | 31 | 0.18±0.09 | 23 | 0.28±0.13 |
| flat | 20 | 0.22±0.09 | 22 | 0.20±0.11 | 22 | 0.21±0.19 | 20 | 0.14±0.09 | 10 | 0.38±0.17 |
| steep | 9 | 0.20±0.04 | 10 | 0.21±0.12 | 1 | 0.50 | 4 | 0.35±0.19 | 7 | 0.17±0.13 |
| inverted | 5 | 0.32±0.17 | 8 | 0.20±0.13 | 8 | 0.28±0.05 | 6 | 0.11±0.04 | 6 | 0.24±0.12 |
| upturn | 1 | 0.46 | 2 | 0.24±0.11 | 2 | 0.38±0.38 | 1 | 0.17 | 2 | 0.29±0.09 |
| complex | 4 | 0.16±0.03 | 5 | 0.18±0.08 | 4 | 0.21±0.09 | 4 | 0.17±0.09 | 3 | 0.32±0.17 |
| N | N | N | N | N | ||||||
| peaked | 43 | 0.26±0.14 | 47 | 0.28±0.16 | 44 | 0.28±0.17 | 38 | 0.23±0.16 | 25 | 0.37±0.16 |
| flat | 20 | 0.27±0.18 | 24 | 0.30±0.16 | 24 | 0.25±0.19 | 21 | 0.18±0.11 | 12 | 0.34±0.21 |
| steep | 12 | 0.20±0.14 | 15 | 0.23±0.14 | 12 | 0.17±0.14 | 6 | 0.27±0.15 | 1 | 0.61 |
| inverted | 7 | 0.26±0.16 | 8 | 0.26±0.13 | 8 | 0.36±0.08 | 6 | 0.18±0.13 | 8 | 0.23±0.17 |
| upturn | 1 | 0.53 | 2 | 0.35±0.17 | 2 | 0.38±0.35 | 2 | 0.14±0.13 | 2 | 0.46±0.15 |
| complex | 4 | 0.21±0.05 | 5 | 0.32±0.13 | 5 | 0.29±0.11 | 4 | 0.27±0.12 | 3 | 0.40±0.12 |
| NVSS name | z | FWHM | /N | Morph. | Blazar | Spectral | ||
|---|---|---|---|---|---|---|---|---|
| (GHz) | dex | type | type | |||||
| 1 | 2 | 3 | 4 | 5 | 6 | 7 | 8 | 9 |
| 000657+141546 | 3.20 | 1.5 | 7.7 | 40/14 | 0.10 | c+j [97] | GPS | |
| 004858+064005 | 3.58 | 3.9 | 1.5 | 36/25 | 0.25 | cso [98] | GPS | |
| 010012−270851 | 3.52 | 1.4 | 1.7 | 31/10 | 0.17 | c+j [99] | GPS | |
| 012100−280623 | 3.11 | 0.3 | 3.0 | 30/19 | 0.43 | c+j [99] | FSRQ | MPS |
| 020346+113445 | 3.63 | 3.7 | 1.5 | 42/38 | 0.33 | c+j [99] | FSRQ | GPS |
| 021435+015703 | 3.28 | 0.5 | 1.9 | 46/19 | 0.13 | c+j [99] | MPS | |
| 023220+231756 | 3.42 | 0.5 | 2.0 | 33/13 | 0.29 | c+j [99] | MPS | |
| 024611+182330 | 3.59 | 1.8 | 1.8 | 34/44 | 0.29 | c+j [97] | FSRQ | GPS |
| 052506−334304 | 4.41 | 0.9 | 1.6 | 30/11 | 0.71 | c+j [61] | Uncert. | MPS |
| 053954−283956 | 3.10 | 7.0 | 1.8 | 43/66 | 0.59 | c+j [99] | FSRQ | HFP |
| 062419+385648 | 3.46 | 0.3 | 2.5 | 46/68 | 0.30 | c+j [99] | FSRQ | MPS |
| 064632+445116 | 3.39 | 17.3 | 1.5 | 47/187 | 0.67 | c+j [99] | FSRQ | HFP |
| 073357+045614 | 3.10 | 5.8 | 1.8 | 40/35 | 0.37 | c+j [99] | FSRQ | HFP |
| 075141+271631 | 3.20 | 0.2 | 1.5 | 42/13 | 0.04 | MPS | ||
| 075303+423130 | 3.59 | 0.9 | 1.5 | 34/23 | 0.12 | cso [98] | MPS | |
| 083910+200208 | 3.30 | 1.8 | 2.0 | 35/16 | 0.29 | c+j [99] | GPS | |
| 090549+041010 | 3.15 | 0.5 | 1.6 | 36/12 | 0.11 | c+j [97] | MPS | |
| 093337+284532 | 3.42 | 1.7 | 1.5 | 34/17 | 0.25 | E [100] | GPS | |
| 102623+254259 | 5.28 | 0.3 | 1.7 | 25/13 | 0.30 | c+j [61] | FSRQ | MPS |
| 104523+314232 | 3.23 | 0.9 | 2.3 | 34/10 | 0.11 | c [100] | MPS | |
| 123055−113910 | 3.52 | 1.1 | 2.1 | 43/51 | 0.47 | c+j [98] | FSRQ | GPS |
| 124209+372005 | 3.81 | 1.7 | 2.1 | 46/24 | 0.28 | T [100] | GPS | |
| 130121+190421 | 3.10 | 1.7 | 1.9 | 35/13 | 0.05 | c+j [99] | GPS | |
| 134022+375443 | 3.11 | 2.7 | 1.4 | 36/12 | 0.30 | c+j [97] | GPS | |
| 135406−020603 | 3.70 | 2.6 | 1.8 | 38/60 | 0.24 | c+j [99] | FSRQ | GPS |
| 135706−174402 | 3.14 | 1.8 | 1.7 | 38/19 | 0.28 | c+j [99] | FSRQ | GPS |
| 140135+151325 | 3.23 | 1.3 | 2.0 | 33/11 | 0.36 | GPS | ||
| 140501+041536 | 3.20 | 8.3 | 2.1 | 43/26 | 0.25 | c+j [100] | FSRQ | HFP |
| 141821+425020 | 3.45 | 0.9 | 1.5 | 34/4 | 0.02 | MPS | ||
| 142438+225600 | 3.62 | 3.3 | 1.5 | 42/29 | 0.14 | c+j [99] | FSRQ | GPS |
| 144516+095835 | 3.55 | 1.3 | 1.6 | 41/76 | 0.15 | c+j [98] | FSRQ | GPS |
| 150328+041949 | 3.66 | 5.6 | 1.5 | 39/8 | 0.10 | c+ext [97] | HFP | |
| 152117+175601 | 3.06 | 3.5 | 1.4 | 40/13 | 0.32 | c [100] | GPS | |
| 153815+001905 | 3.49 | 2.9 | 1.6 | 43/20 | 0.50 | c+j [99] | GPS | |
| 155930+030447 | 3.89 | 4.5 | 1.7 | 37/63 | 0.41 | T [100] | FSRQ | GPS |
| 160608+312447 | 4.56 | 2.5 | 1.5 | 37/26 | 0.28 | cso [101] | GPS | |
| 161637+045932 | 3.21 | 4.4 | 1.4 | 43/64 | 0.26 | c+j [100] | FSRQ | GPS |
| 165844−073918 | 3.74 | 5.9 | 1.5 | 37/12 | 0.27 | c+j [99] | FSRQ | HFP |
| 184057+390046 | 3.1 | 4.5 | 1.8 | 36/23 | 0.52 | c+j [99] | FSRQ | GPS |
| 200324−325144 | 3.77 | 5.6 | 1.4 | 43/39 | 0.32 | c+j [99] | FSRQ | HFP |
| 201918+112712 | 3.27 | 0.5 | 1.8 | 41/12 | 0.06 | c+ext [102] | MPS | |
| 204257−222326 | 3.63 | 3.5 | 2.1 | 30/4 | 0.27 | c+j [99] | FSRQ | GPS |
| 205051+312727 | 3.18 | 1.9 | 2.9 | 35/15 | 0.57 | c+j [99] | FSRQ | GPS |
| 212912−153840 | 3.26 | 6.8 | 1.5 | 37/54 | 0.16 | c+j [103] | FSRQ | HFP |
| 224800−054117 | 3.29 | 0.4 | 3.3 | 30/13 | 0.22 | c+j [99] | Uncert. | MPS |
| 231448+020150 | 4.11 | 1.7 | 2.1 | 40/20 | 0.20 | c+j [61] | GPS | |
| 231643−334912 | 3.10 | 3.9 | 1.3 | 31/18 | 0.18 | c+j [99] | FSRQ | GPS |
| N | FWHM | ||||||
|---|---|---|---|---|---|---|---|
| (GHz) | (Jy) | (dex) | |||||
| PS blazars | 25 | ||||||
| PS non-blazars | 22 | ||||||
| all | 47 |
| Name | N | N | Blazar | Spectral | ||||
|---|---|---|---|---|---|---|---|---|
| (yrs) | (yrs) | type | type | |||||
| 1 | 2 | 3 | 4 | 5 | 6 | 7 | 8 | 9 |
| J0048+0640 | – | – | 7 | 17 | – | 0.12 | – | GPS [1] |
| J0121−2806 | 7 | 18 | 5 | 14 | 0.41 | 0.20 | FSRQ | MPS [1] |
| J0203+1134 | 22 | 31 | 13 | 22 | 0.45 | 0.38 | FSRQ | GPS [2] |
| J0324−2918 | 15 | 15 | 5 | 16 | 0.39 | 0.14 | FSRQ | GPS [3] |
| J0646+4451 | 30 | 319 | 14 | 68 | 0.65 | 0.66 | FSRQ | HFP [2, 4] |
| J0751+2716 | – | – | 3 | 9 | – | 0.05 | – | MPS [5] |
| J0753+4231 | – | – | 9 | 10 | – | 0.09 | – | MPS [1] |
| J1230−1139 | 14 | 7 | 23 | 44 | 0.41 | 0.44 | FSRQ | GPS [1] |
| J1340+3754 | – | – | 5 | 3 | – | 0.03 | – | GPS [1] |
| J1354−0206 | 23 | 33 | 23 | 44 | 0.50 | 0.30 | FSRQ | GPS [2, 6] |
| J1357−1744 | 23 | 3 | 25 | 3 | 0.48 | 0.36 | FSRQ | GPS [2] |
| J1424+2256 | 22 | 18 | 14 | 14 | 0.10 | 0.16 | FSRQ | GPS [2, 4] |
| J1445+0958 | 23 | 27 | 42 | 33 | 0.67 | 0.57 | FSRQ | GPS [2, 6] |
| J1538+0019 | 23 | 10 | 23 | 9 | 0.38 | 0.27 | – | GPS [1] |
| J1559+0304 | 8 | 29 | 26 | 51 | 0.36 | 0.18 | FSRQ | GPS [5] |
| J1606+3124 | 43 | 22 | 41 | 15 | 0.10 | 0.16 | – | GPS [2] |
| J1616+0459 | 23 | 22 | 27 | 19 | 0.26 | 0.17 | FSRQ | HFP [2, 4, 6] |
| J1658−0739 | 10 | 9 | 12 | 6 | 0.33 | 0.13 | FSQR | GPS [2] |
| J1840+3900 | 20 | 13 | 13 | 10 | 0.52 | 0.45 | FSRQ | GPS [4, 7] |
| J2003−3251 | 15 | 36 | 13 | 8 | 0.42 | 0.15 | FSRQ | HFP [2] |
| J2129−1538 | 20 | 24 | 41 | 21 | 0.43 | 0.41 | FSRQ | HFP [2, 6] |
| J2248−0541 | 2 | 2 | 1 | 6 | 0.27 | – | Uncert. | MPS [5] |
| J2316−3349 | – | – | 7 | 13 | – | 0.26 | FSRQ | GPS [1] |
Disclaimer/Publisher’s Note: The statements, opinions and data contained in all publications are solely those of the individual author(s) and contributor(s) and not of MDPI and/or the editor(s). MDPI and/or the editor(s) disclaim responsibility for any injury to people or property resulting from any ideas, methods, instructions or products referred to in the content. |
© 2024 by the authors. Licensee MDPI, Basel, Switzerland. This article is an open access article distributed under the terms and conditions of the Creative Commons Attribution (CC BY) license (http://creativecommons.org/licenses/by/4.0/).
