Submitted:
18 July 2023
Posted:
19 July 2023
You are already at the latest version
Abstract
Keywords:
1. Introduction
2. Sample
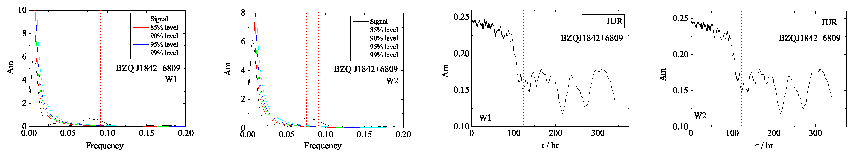
3. Periodic analysis
3.1. Methods
3.2. Results
4. The spectral properties
4.1. The linear correlations between the spectra and brightness
4.2. Using spectral index to estimate the Doppler factor
5. Discussion and Conclusion
5.1. Periodic variability from the inner part of the blazar
5.2. The variable profiles between flux densities and spectral indices
5.3. Periodic variability from the magnetized jet
5.4. Conclusions
- (1)
- Our studies imply that, for BZQ J1700+6830, the period is hr, which imply that the mass (central black hole) is ; for BZQ J1842+6809, the period is hr, so the mass should be .
- (2)
- The BWB behaviors and anticlockwise variation trends between flux densities and spectral indices imply that these emissions mainly come from the electron acceleration process.
- (3)
- During the variable stages (dimming stages and brightening stages), we calculate the Doppler factor, and find that with the frequency increasing, the Doppler factor become stronger.
Acknowledgments
References
- Abdo, A. A.; Ackermann, M.; Agudo, I.; et al., 2010, ApJ, 716, 30A.
- Angel J.R.P. & Stockman H.S., 1980, ARA&A, 18, 321.
- Assef, R.J., Stern, D., Noirot, G., et al., 2018, ApJS, 234: 23.
- Blandford R.D. & Rees M.J., 1978, BL Lac Objects(Pittsburgh, PA: Univ. Pittsburgh),328.
- Chakrabarti S.K., & Wiita P.J., 1993, ApJ, 411, 602.
- Chen L. & Zhang B., 2021, ApJ, 906: 105.
- Chen Y.Y., Gu Q.S., Fan J.H., et al., 2023, ApJ, 944: 157.
- D’Abrusco R., Massaro F., Ajello M., 2012, ApJ, 748, 68D.
- D’Abrusco R., Álvarez C.N., Massaro, F., 2019, ApJS, 242, 4D.
- Dai, B.Z., Li, X.H., Liu, Z.M., et al., 2009, MNRAS, 1181–1192.
- Ezhikode S.H., Shukla A., Dewangan G.C., et al., 2022, ApJ, 939: 76.
- Falomo, R., Pian, E., & Treves, A. 2014, A&ARv, 22, 37.
- Fan J.H., 2005, A&A, 436, 799.
- Fan J. H., Kurtanidze O., Liu Y., et al., 2014, ApJS, 213, 26.
- Fan J.H., Kurtanidze O., Liu Y., et al., 2017, ApJ, 837: 45.
- Fossati G., Maraschi L., Celotti A., Comastri A., & Ghisellini G. 1998, MNRAS, 299, 433.
- Gaur H., Gupta A.C., Strigachev A., et al., 2012, MNRAS, 425: 3002-3023.
- Ghisellini G. & Tavecchio F., 2015, MNRAS, 448, 1060.
- Ghisellini G., Tavecchio F., Foschini L. & Ghirlanda G., 2011, MNRAS, 414, 2674.
- Gu, M.F., Lee, C.U., Pak, S., Yim, H.S., Fletcher, A.B., 2006, A&A, 450, 39-51.
- Gupta, A. C., Banerjee, D. P. K., Ashok, N. M., & Joshi, U. C. 2004, A&A, 422, 505.
- Henstock, D.R., Browne, I.W.A., Wilkinson, P.N., McMahon, R.G., 1997, MNRAS, 290, 380-400.
- Ikejiri, Y., Uemura, M., Sasada, M., et al., 2011, PASJ, 63, 639.
- Isler J.C., Urry C.M., Coppi P., et al., 2017, ApJ, 844: 107.
- Itoh, R., Nalewajko, K., Fukazawa, Y., et al., 2016, ApJ, 833, 77.
- Kozłowski S., Kochanek C.S., Ashby M.L.N., 2016, ApJ, 817: 119.
- Liu H.T. & Bai J.M., 2015, AJ, 149, 191.
- Massaro, F.; D’Abrusco, R.; Ajello, M., 2011, ApJ, 740L, 48M.
- Massaro, F.; D’Abrusco, R.; Tosti, G.,2012, ApJ, 750, 138M.
- Menezes, R. B.; Ricci, T. V.; Steiner, J. E.,et al., 2019, MNRAS, 483, 3700M.
- Miller, H. R., Carini, M. T., & Goodrich, B. D. 1989, Nature, 337, 627.
- Negi V., Joshi R., Chand K., et al., 2022, MNRAS, 510, 1791.
- Nenkova, M., Sirocky, M. M., Nikutta, R., Ivezi & Elitzur, M. 2008, ApJ, 685: 160-180.
- Padovani P. & Giommi P., 1995, ApJ, 444, 567.
- Papadakis, I.E., Villata, M., Raiteri, C.M., 2007, A&A, 470, 857.
- Poon, H., Fan J.H., Fu J.N., 2009, ApJS, 185, 511.
- Raiteri, C. M., Villata, M., Larionov, V. M., et al. 2021, MNRAS, 504, 5629.
- Romero, G. E., Boettcher, M., Markoff, S., & Tavecchio, F. 2017, SSRv, 207, 5.
- Roy, A., Chitnis, V. R., Gupta, A. C., et al. 2022, MNRAS, 513, 5238.
- Roy, A., Gupta, A.C., Chitnis V.R., 2023, ApJS, 265, 14R.
- Sagar, R., Stalin, C. S., Gopal-Krishna, & Wiita, P. J. 2004, MNRAS, 348, 176.
- Sbarrato T., Ghisellini G., Maraschi L. & Colpi M., 2012, MNRAS, 421, 1764.
- Sillanpää A., 1991, Ap&SS, 176: 297-307.
- Stickel M., Fried J. W., Kuehr H., Padovani P., Urry C. M., 1991, ApJ, 374, 431.
- Urry C.M. & Padovani P., 1995, PASP, 107, 803.
- Vagnetti F., Trevese D. & Nesci R., 2003, ApJ, 590, 123.
- Villata, M., Raiteri, C.M., Kurtanidze, O.M., et al., 2002, A&A, 390, 407.
- Visvanathan N. & Elliot J.L., 1973, ApJ, 179: 721.
- Wagner, S. J., & Witzel, A. 1995, ARA&A, 33, 163.
- Xie, G. Z.; Li, K. H.; Liu, F. K., et al., 1992, ApJS, 80, 683X.
- Yuan Y.H. & Fan J.H., 2021, PASP, 133: 074101.
- Yuan Yu-Hai, Wang Ge-Ge, Xiao Hu-Bing, et al., ApJS, 2022, 262: 43.
- Zheng Y.G., Zhang L., Huang B.R., Kang S.J., 2013, MNRAS, 431: 2356-2361.









| (hr) | (hr) | |||
| (1) | (2) | (3) | (4) | (5) |
| BZQ J1700+6830 | W1 | PW | 215.61±91.62, 39.26±7.11 | 41.84±2.24 |
| JUR | 78.87±5.91, 41.84±2.24 | |||
| W2 | PW | 186.99±35.47, 38.91±5.35 | 42.27±2.05 | |
| JUR | 76.94±6.61, 42.27±2.05 | |||
| W3 | PW | 208.33±69.83, 42.55±4.86 | 41.82±3.81 | |
| JUR | 76.65±7.08, 41.82±3.81 | |||
| W4 | PW | 188.68±22.01, 43.48±3.48 | 41.78±1.54 | |
| JUR | 75.94±6.61, 41.78±1.54 | |||
| BZQ J1842+6809 | W1 | PW | 149.70±49.71, , | |
| JUR | ||||
| W2 | PW | , , | ||
| JUR |
| r | p | ||||
|---|---|---|---|---|---|
| (1) | (2) | (3) | (4) | (5) | (6) |
| BZQ J1700+6830 | -0.82 | ||||
| -0.81 | |||||
| -0.75 | |||||
| -0.70 | |||||
| BZQ J1842+6809 | -0.57 | ||||
| -0.31 |
| BZQ J1700+6830 | 1 | 4.11 | 6.60 | 7.44 | 8.71 | 11.14 | 5.19 | 37.14 | 9.09 |
| 2 | -1.94 | 3.13 | -0.70 | 0.82 | -2.10 | 0.98 | -11.72 | 2.87 | |
| 3 | 3.08 | 4.95 | 3.40 | 3.98 | 0.78 | 0.36 | 0.98 | 0.24 | |
| 4 | -4.47 | 7.18 | -5.67 | 6.64 | -9.05 | 4.21 | -12.44 | 3.04 | |
| 5 | -4.00 | 6.43 | -7.42 | 8.69 | -22.13 | 10.31 | -34.78 | 8.51 | |
| 6 | 7.82 | 12.57 | 10.92 | 12.79 | 14.95 | 6.97 | 20.99 | 5.13 | |
| 7 | -4.94 | 7.95 | -5.72 | 6.69 | -5.30 | 2.47 | 6.46 | 1.58 | |
| 8 | 7.66 | 12.32 | 9.98 | 11.69 | 16.65 | 7.76 | 12.96 | 3.17 | |
| 9 | -1.16 | 1.86 | -1.83 | 2.14 | -2.33 | 1.09 | -4.82 | 1.18 | |
| 10 | 3.76 | 6.04 | 2.26 | 2.65 | 5.98 | 2.79 | 11.93 | 2.92 | |
| 11 | -3.90 | 6.27 | -2.07 | 2.43 | -1.61 | 0.75 | 9.28 | 2.27 | |
| 12 | 13.48 | 21.68 | 19.83 | 23.22 | 35.61 | 16.59 | 56.74 | 13.88 | |
| 13 | -3.71 | 5.96 | -5.30 | 6.21 | -7.79 | 3.63 | -11.75 | 2.87 | |
| BZQJ1842+6809 | 1 | -0.33 | 0.54 | -0.41 | 0.48 | ||||
| 2 | 0.35 | 0.57 | 0.76 | 0.88 | |||||
| 3 | 0.29 | 0.46 | 0.09 | 0.11 | |||||
| 4 | -0.57 | 0.92 | -0.68 | 0.80 | |||||
| 5 | 2.09 | 3.36 | 2.36 | 2.76 | |||||
| 6 | -0.58 | 0.93 | -0.66 | 0.77 | |||||
| 7 | 0.37 | 0.59 | 0.28 | 0.32 |
Disclaimer/Publisher’s Note: The statements, opinions and data contained in all publications are solely those of the individual author(s) and contributor(s) and not of MDPI and/or the editor(s). MDPI and/or the editor(s) disclaim responsibility for any injury to people or property resulting from any ideas, methods, instructions or products referred to in the content. |
© 2023 by the authors. Licensee MDPI, Basel, Switzerland. This article is an open access article distributed under the terms and conditions of the Creative Commons Attribution (CC BY) license (http://creativecommons.org/licenses/by/4.0/).
