Submitted:
30 March 2024
Posted:
02 April 2024
You are already at the latest version
Abstract
Keywords:
1. Introduction
2. Materials and Methods
2.1. Animals
2.2. Semen Collection and Incubation
2.3. Semen Assessment
2.4. Statistical Analysis
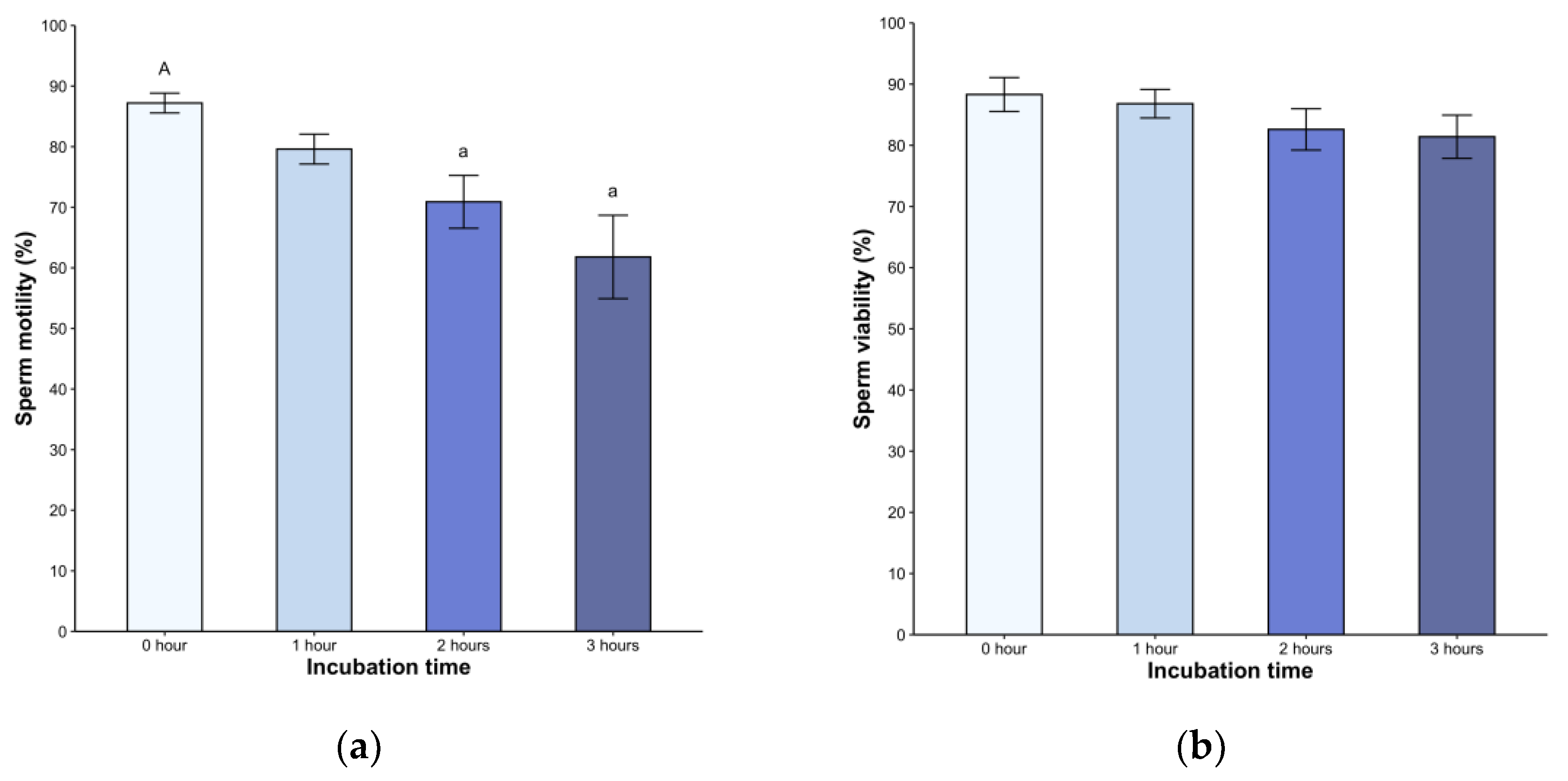
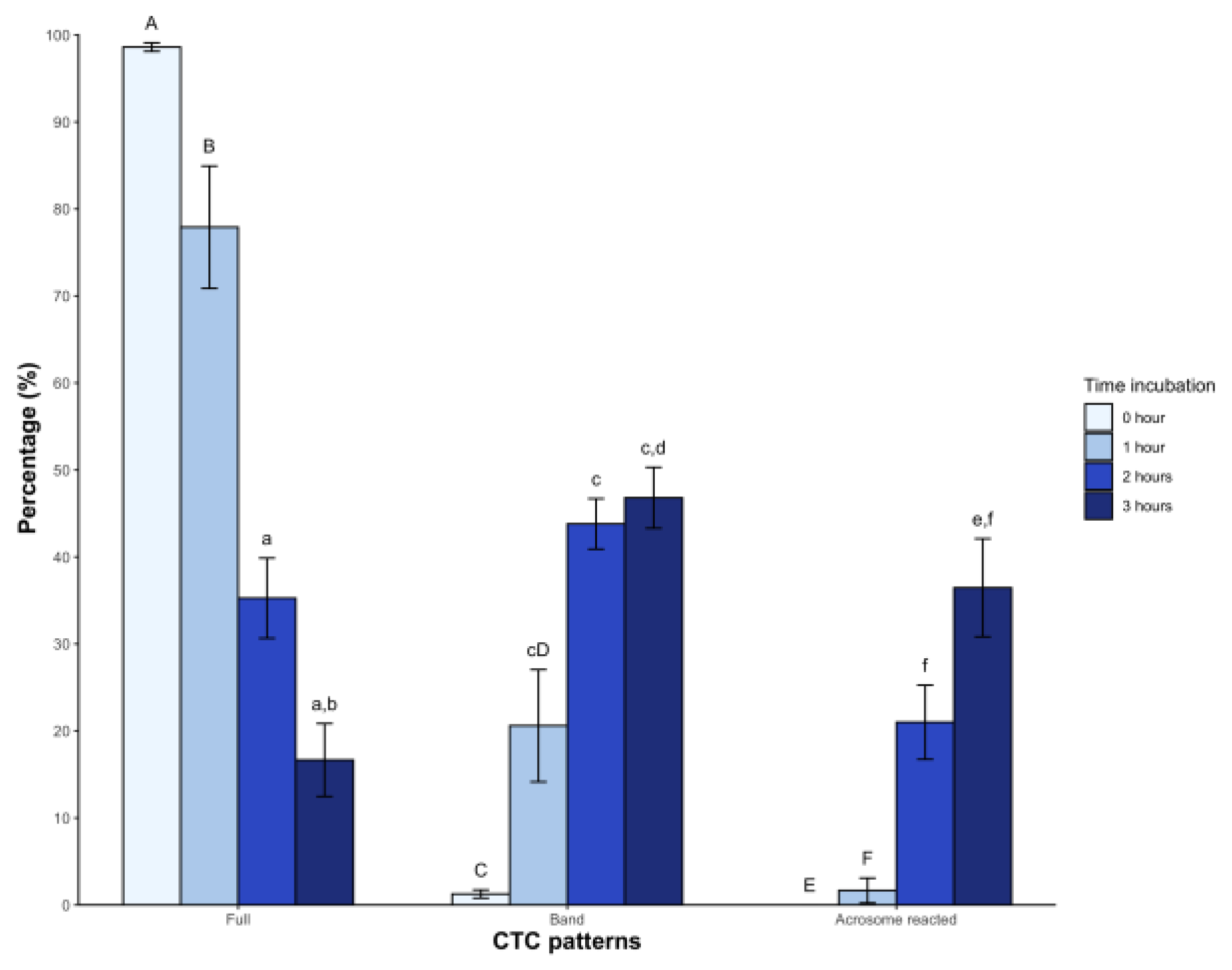
3. Results
4. Discussion
5. Conclusions
Author Contributions
Funding
Institutional Review Board Statement
Informed Consent Statement
Data Availability Statement
Acknowledgments
Conflicts of Interest
References
- Böhm, M., Collen, B., Baillie, J. E. M., Bowles, P., Chanson, J., Cox, N., Hammerson, G., Hoffmann, M., Livingstone, S. R., Ram, M., Rhodin, A. G. J., Stuart, S. N., Van Dijk, P. P., Young, B. E., Afuang, L. E., Aghasyan, A., García, A., Aguilar, C., Ajtic, R., … Zug, G. (2013). The conservation status of the world’s reptiles. Biological Conservation, 157, 372-385. [CrossRef]
- Bustani, G. S., & Baiee, F. H. (2021). Semen extenders: An evaluative overview of preservative mechanisms of semen and semen extenders. Veterinary World, 1220-1233. [CrossRef]
- Campbell, L., Cafe, S. l., Upton, R., Sean Doody, J., Nixon, B., Clulow, J., & Clulow, S. (2020). A model protocol for the cryopreservation and recovery of motile lizard sperm using the phosphodiesterase inhibitor caffeine. Conservation Physiology, 8(1). [CrossRef]
- Comizzoli, P., & Holt, W. V. (2022). Recent Progress in Spermatology Contributing to the Knowledge and Conservation of Rare and Endangered Species. Annual Review of Animal Biosciences, 10(1), 469-490. [CrossRef]
- Cruz-Cano, N. B., Sánchez-Rivera, U. Á., Álvarez-Rodríguez, C., Dávila-Govantes, R., Cárdenas-León, M., & Martínez-Torres, M. (2021). Sex steroids are correlated with environmental factors and body condition during the reproductive cycle in females of the lizard Sceloporus torquatus. General and Comparative Endocrinology, 314, 113921. [CrossRef]
- Ded, L., Dostalova, P., Zatecka, E., Dorosh, A., Komrskova, K., & Peknicova, J. (2019). Fluorescent analysis of boar sperm capacitation process in vitro. Reproductive Biology and Endocrinology, 17(1), 109. [CrossRef]
- Depeiges, A., & Dacheux, J. L. (1985). Acquisition of sperm motility and its maintenance during storage in the lizard, Lacerta vivipara. Reproduction, 74(1), 23-27. [CrossRef]
- Dosemane, D., & Bhagya, M. (2015). In vitro Study of the Spermatozoa Motility in the Lizard Eutropis carinata. International Journal of Zoological Research, 11(3), 89-95. [CrossRef]
- Feria-Ortiz, M., de Oca, A. N.-M., Ugarte, I. H. S., de Oca, A. N.-M., & Ugarte, I. H. S. (2001). Diet and Reproductive Biology of the Viviparous Lizard Sceloporus torquatus torquatus (Squamata: Phrynosomatidae). Journal of Herpetology, 35(1), 104. [CrossRef]
- Friesen, C. R., Kahrl, A. F., & Olsson, M. (2020). Sperm competition in squamate reptiles. Philosophical transactions of the Royal Society of London. Series B, Biological sciences, 375(1813), 20200079. [CrossRef]
- Fujihara, Y., Miyata, H., & Ikawa, M. (2018). Factors controlling sperm migration through the oviduct revealed by gene-modified mouse models. Experimental Animals, 67(2), 91-104. [CrossRef]
- Gadella, B. M., & Boerke, A. (2016). An update on post-ejaculatory remodeling of the sperm surface before mammalian fertilization. Theriogenology, 85(1), 113-124. [CrossRef]
- Ho, H., & Suarez, S. (2001). Hyperactivation of mammalian spermatozoa: Function and regulation. Reproduction, 122(4), 519-526. [CrossRef]
- Ickowicz, D., Finkelstein, M., & Breitbart, H. (2012). Mechanism of sperm capacitation and the acrosome reaction: Role of protein kinases. Asian Journal of Andrology, 14(6), 816-821. [CrossRef]
- Kito, S., & Ohta, Y. (2005). Medium effects on capacitation and sperm penetration through the zona pellucida in inbred BALB/c spermatozoa. Zygote, 13(2), 145-153. [CrossRef]
- Lemoine, M., Grasseau, I., Brillard, J. P., & Blesbois, E. (2008). A reappraisal of the factors involved in in vitro initiation of the acrosome reaction in chicken spermatozoa. Reproduction, 136(4), 391-399. [CrossRef]
- Martínez-Torres, M. (2009). Almacenamiento de espermatozoides en la vagina de la lagartija vivípara Sceloporus torquatus (Sauria: Prhynosomatidae). Acta zoológica mexicana, 25(3), 497-506.
- Martínez-Torres, M., Álvarez-Rodríguez, C., Luis, J., & Sánchez-Rivera, U. Á. (2019). Electroejaculation and semen evaluation of the viviparous lizard Sceloporus torquatus (Squamata: Phrynosomatidae). Zoo Biology, 38(4), 393-396. [CrossRef]
- Martínez-Torres, M., Sánchez-Rivera, U. Á., Cruz-Cano, N. B., Castro-Camacho, Y. J., Luis, J., & Medrano, A. (2019). A non-invasive method for semen collection and evaluation in small and median size lizards. Reproduction in Domestic Animals, 54, 54-58. [CrossRef]
- McPartlin, L. A., Littell, J., Mark, E., Nelson, J. L., Travis, A. J., & Bedford-Guaus, S. J. (2008). A defined medium supports changes consistent with capacitation in stallion sperm, as evidenced by increases in protein tyrosine phosphorylation and high rates of acrosomal exocytosis. Theriogenology, 69(5), 639-650. [CrossRef]
- McPartlin, L. A., Suarez, S. S., Czaya, C. A., Hinrichs, K., & Bedford-Guaus, S. J. (2009). Hyperactivation of Stallion Sperm Is Required for Successful In Vitro Fertilization of Equine Oocytes1. Biology of Reproduction, 81(1), 199-206. [CrossRef]
- Naijian, H. R., Kohram, H., Shahneh, A. Z., Sharafi, M., & Bucak, M. N. (2013). Effects of different concentrations of BHT on microscopic and oxidative parameters of Mahabadi goat semen following the freeze–thaw process. Cryobiology, 66(2), 151-155. [CrossRef]
- Nixon, B., Anderson, A. L., Smith, N. D., McLeod, R., & Johnston, S. D. (2016). The Australian saltwater crocodile ( Crocodylus porosus ) provides evidence that the capacitation of spermatozoa may extend beyond the mammalian lineage. Proceedings of the Royal Society B: Biological Sciences, 283(1830), 20160495. [CrossRef]
- Nixon, B., Cafe, S. L., Eamens, A. L., De Iuliis, G. N., Bromfield, E. G., Martin, J. H., Skerrett-Byrne, D. A., & Dun, M. D. (2020). Molecular insights into the divergence and diversity of post-testicular maturation strategies. Molecular and Cellular Endocrinology, 517, 110955. [CrossRef]
- Nixon, B., Johnston, S. D., Skerrett-Byrne, D. A., Anderson, A. L., Stanger, S. J., Bromfield, E. G., Martin, J. H., Hansbro, P. M., & Dun, M. D. (2019). Modification of Crocodile Spermatozoa Refutes the Tenet That Post-testicular Sperm Maturation Is Restricted To Mammals*. Molecular & Cellular Proteomics, 18, S58-S76. [CrossRef]
- Ortega-León, A. M., Cruz, M. V.-S., Zúñiga-Vega, J. J., Castillo, R. C., & Cruz, F. R. M. la. (2009). Sperm Viability in the Reproductive Tract of Females in a Population of Sceloporus mucronatus Exhibiting Asynchronous Reproduction. Western North American Naturalist, 69(1), 96-104. [CrossRef]
- Priyadarshana, C., Setiawan, R., Tajima, A., & Asano, A. (2020). Src family kinases-mediated negative regulation of sperm acrosome reaction in chickens (Gallus gallus domesticus). PLOS ONE, 15(11), e0241181. [CrossRef]
- Puga Molina, L. C., Luque, G. M., Balestrini, P. A., Marín-Briggiler, C. I., Romarowski, A., & Buffone, M. G. (2018). Molecular Basis of Human Sperm Capacitation. Frontiers in Cell and Developmental Biology, 6, 72. [CrossRef]
- Rota, A., Peña, A. I., Linde-Forsberg, C., & Rodriguez-Martinez, H. (1999). In vitro capacitation of fresh, chilled and frozen–thawed dog spermatozoa assessed by the chlortetracycline assay and changes in motility patterns. Animal Reproduction Science, 57(3-4), 199-215. [CrossRef]
- Sáez-Espinosa, P., Huerta-Retamal, N., Robles-Gómez, L., Avilés, M., Aizpurua, J., Velasco, I., Romero, A., & Gómez-Torres, M. (2020). Influence of in vitro capacitation time on structural and functional human sperm parameters. Asian Journal of Andrology, 22(5), 447. [CrossRef]
- Sanchez-Rivera, U. Á. (2017). Análisis hormonal y citológico de la espermatogénesis mediante biopsia testicular en Sceloporus torquatus (Sauria: Phrynosomatidae) [Tesis para obtener el título de Licenciatura en Medicina Veterinaria y Zootecnia, Universidad Nacional Autónoma de México]. http://132.248.9.195/ptd2017/mayo/0759253/Index.html.
- Sanchez-Rivera, U. A., Medrano, A., Cruz-Cano, N. B., Alcantar-Rodriguez, A., Davila-Govantes, R., Castro-Camacho, Y. J., & Martinez-Torres, M. (2022). Implementation of a method for sperm cryopreservation in sceloporine lizards. CONSERVATION PHYSIOLOGY, 10(1), coac068. [CrossRef]
- Sinervo, B., Méndez-de-la-Cruz, F., Miles, D. B., Heulin, B., Bastiaans, E., Villagrán-Santa Cruz, M., Lara-Resendiz, R., Martínez-Méndez, N., Calderón-Espinosa, M. L., Meza-Lázaro, R. N., Gadsden, H., Avila, L. J., Morando, M., De la Riva, I. J., Sepulveda, P. V., Rocha, C. F. D., Ibargüengoytía, N., Puntriano, C. A., Massot, M., … Sites, J. W. (2010). Erosion of Lizard Diversity by Climate Change and Altered Thermal Niches. Science, 328(5980), 894-899. [CrossRef]
- Soriano-Úbeda, C., Romero-Aguirregomezcorta, J., Matás, C., Visconti, P. E., & García-Vázquez, F. A. (2019). Manipulation of bicarbonate concentration in sperm capacitation media improves in vitro fertilisation output in porcine species. Journal of Animal Science and Biotechnology, 10(1), 19. [CrossRef]
- Stival, C., Puga Molina, L. D. C., Paudel, B., Buffone, M. G., Visconti, P. E., & Krapf, D. (2016). Sperm Capacitation and Acrosome Reaction in Mammalian Sperm. En M. G. Buffone (Ed.), Sperm Acrosome Biogenesis and Function During Fertilization (Vol. 220, pp. 93-106). Springer International Publishing. [CrossRef]
- Suarez, S. S. (2008). Control of hyperactivation in sperm. Human Reproduction Update, 14(6), 647-657. [CrossRef]
- Vyklicka, L., & Lishko, P. V. (2020). Dissecting the signaling pathways involved in the function of sperm flagellum. Current Opinion in Cell Biology, 63, 154-161. [CrossRef]
- Witte, T. S., & Schäfer-Somi, S. (2007). Involvement of cholesterol, calcium and progesterone in the induction of capacitation and acrosome reaction of mammalian spermatozoa. Animal Reproduction Science, 102(3-4), 181-193. [CrossRef]



| Body weight (g) | Snouth-vent lenght (cm) | Vent-tail lenght (cm) | Semen emissions | Volume (μl) | Sperm concentration (x106/ml) | |
|---|---|---|---|---|---|---|
| 28.66 ± 16.0 (12.7-52.1) |
8.73 ± 1.95 (6.0-11.5) |
8.84 ± 2.23 (4.7-11.0) |
2.00 ± 0.62 (1.0-3.0) |
3.21 ± 1.31 (2.0-6.0) |
94.23 ± 71.82 (18.3-220.0) |
Disclaimer/Publisher’s Note: The statements, opinions and data contained in all publications are solely those of the individual author(s) and contributor(s) and not of MDPI and/or the editor(s). MDPI and/or the editor(s) disclaim responsibility for any injury to people or property resulting from any ideas, methods, instructions or products referred to in the content. |
© 2024 by the authors. Licensee MDPI, Basel, Switzerland. This article is an open access article distributed under the terms and conditions of the Creative Commons Attribution (CC BY) license (http://creativecommons.org/licenses/by/4.0/).