Submitted:
25 September 2024
Posted:
25 September 2024
You are already at the latest version
Abstract
Keywords:
1. Introduction
2. Materials and Methods
2.1. Animals Selected for the Study
2.2. Experimental Design
2.2.1. Collection of Ejaculated Semen and Acquisition of Seminal Plasma
2.2.2. Collection of Epididymal Spermatozoa
2.2.3. Fresh Seminal Analysis
2.2.4. Semen Freezing and Thawing
2.2.5. Evaluation of Post-Thaw Semen Viability
2.2.6. Isolation and Quantification of cfDNA
2.2.7. In Vitro Embryo Production (IVP)
2.2.8. Statistical Analysis
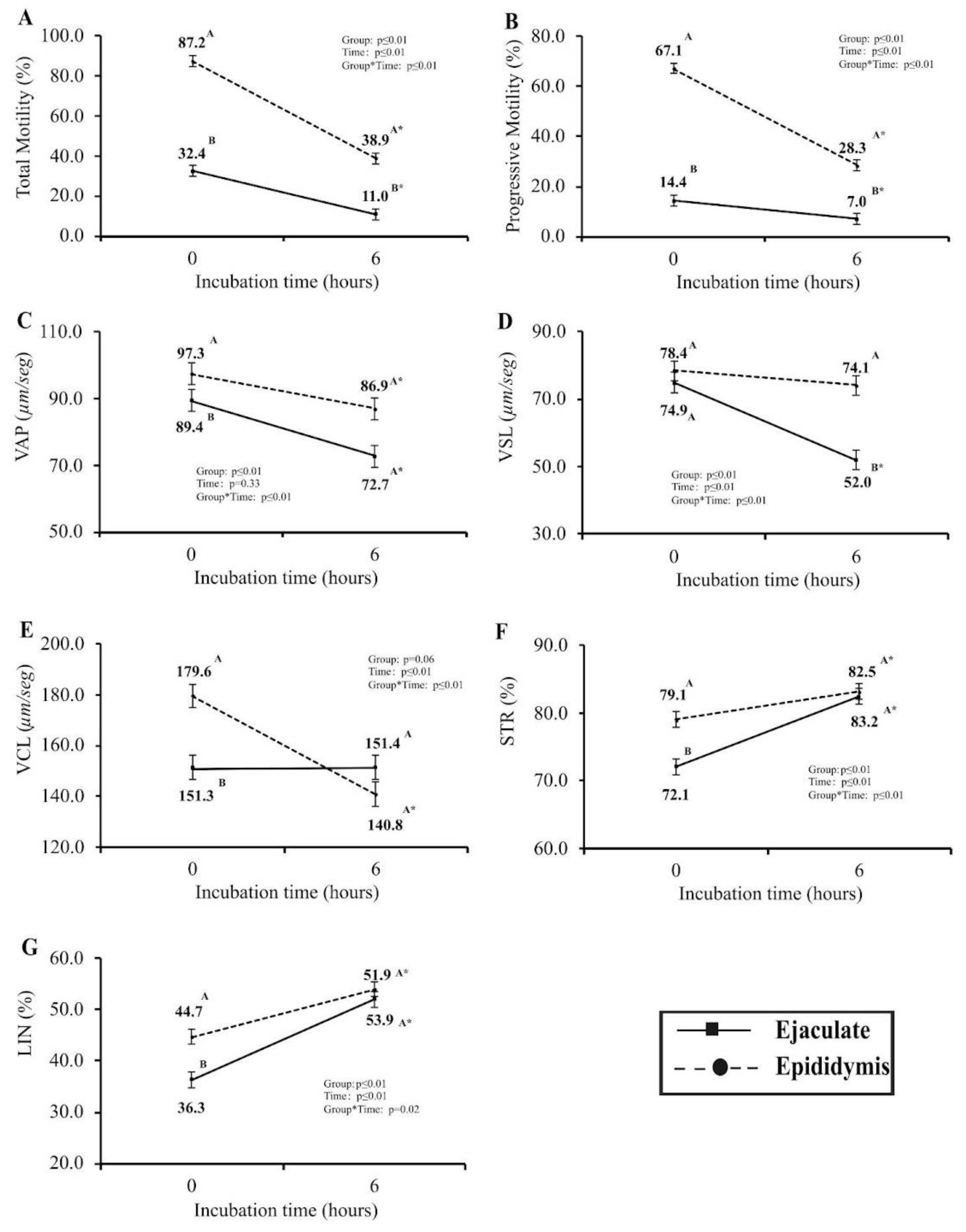
3. Results
4. Discussion
5. Conclusions
Supplementary Materials
Author Contributions
Funding
Institutional Review Board Statement
Informed Consent Statement
Data Availability Statement
Acknowledgments
Conflicts of Interest
References
- Felix GA, Piovezan U, Juliano RS. POTENCIAL DE USO DE RAÇAS BOVINAS LOCAIS BRASILEIRAS: CURRALEIRO PÉ - DURO E PANTANEIRO 2013.
- de Carvalho Porto Barbosa M, Fioravanti MCS, Peripolli V, do Egito AA, Juliano RS, Ramos AF, et al. Performance, carcass, and meat traits of locally adapted Brazilian cattle breeds under feedlot conditions. Trop Anim Health Prod 2023;55:1–18. [CrossRef]
- de Córdoba U. POPULATION STUDY OF PANTANEIRO CATTLE HERDS AIMING THE MANAGEMENT AND GENETIC HANDLING OF THE BREED 2016.
- DialnetProgramaBrasileiroDeConservacaoDeRecursosGeneticos279936.pdf n.d.
- Yánez-Ortiz I, Catalán J, Rodríguez-Gil JE, Miró J, Yeste M. Advances in sperm cryopreservation in farm animals: Cattle, horse, pig and sheep. Anim Reprod Sci 2022;246:106904. [CrossRef]
- Fickel J, Wagener A, Ludwig A. Semen cryopreservation and the conservation of endangered species. European Journal of Wildlife Research 2007;53:81–9. [CrossRef]
- Veerkamp RF, Beerda B. Genetics and genomics to improve fertility in high producing dairy cows. Theriogenology 2007;68 Suppl 1:S266-273. [CrossRef]
- Grötter LG, Cattaneo L, Marini PE, Kjelland ME, Ferré LB. Recent advances in bovine sperm cryopreservation techniques with a focus on sperm post-thaw quality optimization. Reprod Domest Anim 2019;54:655–65. [CrossRef]
- Holt WV. Fundamental aspects of sperm cryobiology: the importance of species and individual differences. Theriogenology 2000;53:47–58. [CrossRef]
- Dode MAN, Capobianco N, Vargas LN, Mion B, Kussano NR, Spricigo JF, et al. Seminal cell–free DNA as a potential marker for in vitro fertility of Nellore bulls. J Assist Reprod Genet 2024. [CrossRef]
- Di Pizio P, Celton N, Menoud PA, Belloc S, Cohen Bacrie M, Belhadri-Mansouri N, et al. Seminal cell-free DNA and sperm characteristic’s: An added biomarker for male infertility investigation. Andrologia 2021;53:e13822. [CrossRef]
- dos Santos FCC, Morrell JM, Curcio B da R, Nunes MM, Malschitzky E. Epididymal stallion sperm quality improves with single layer centrifugation prior to cryopreservation or post-thawing. Journal of Equine Veterinary Science 2023;125:104614. [CrossRef]
- Perez-Patiño C, Barranco I, Li J, Padilla L, Martinez EA, Rodriguez-Martinez H, et al. Cryopreservation Differentially Alters the Proteome of Epididymal and Ejaculated Pig Spermatozoa. Int J Mol Sci 2019;20:1791. [CrossRef]
- Buranaamnuay K. Cryopreservation and storage of cat epididymal sperm using ‒75 °C freezer vs liquid nitrogen. Anim Reprod Sci 2018;191:56–63. [CrossRef]
- Bergstein-Galan TG, Weiss RR, Kozicki LE, Bicudo SD. Sperm subpopulations in ejaculated sperm and spermatozoa recovered from ovine epididymides up to 48h after death. Anim Reprod Sci 2017;187:20–7. [CrossRef]
- Pradiee J, Esteso MC, Castaño C, Toledano-Díaz A, López-Sebastián A, Santiago-Moreno J. Cryopreservation of epididymal sperm from ibexes (Capra pyrenaica) using short equilibration time with glycerol. Theriogenology 2014;82:525–8. [CrossRef]
- Castelo T de S, Silva AM da, Peixoto GCX, Souza ALP, Campos LB, Lima GL, et al. Cryopreservation efficiency of red-rumped agouti (Dasyprocta leporina) sperm obtained from different origins through epididymal retrograde flushing or electroejaculation. Cryobiology 2023;113:104787. [CrossRef]
- Vilela CG, Marquez JM, Graham JK, Barfield JP. Cryopreservation of bison epididymal sperm: A strategy for improving post-thaw quality when collecting sperm in field conditions. Theriogenology 2017;89:155–61. [CrossRef]
- Losano JDA, Angrimani DSR, Rui BR, Bicudo LC, Dalmazzo A, Silva BCS, et al. The addition of docosahexaenoic acid (DHA) and antioxidants (glutathione peroxidase and superoxide dismutase) in extenders to epididymal sperm cryopreservation in bulls. Zygote 2018;26:199–206. [CrossRef]
- WebSIS. Conservação in situ, ex situ e on farm n.d. http://antigo.mma.gov.br/component/k2/item/7611-conserva%C3%A7%C3%A3o-in-situ,-ex-situ-e-on-farm.html (accessed March 4, 2024).
- Braga JVC. UNIVERSIDADE FEDERAL DO PAMPA CAMPUS SÃO GABRIEL n.d.
- Varisli O, Uguz C, Agca C, Agca Y. Motility and acrosomal integrity comparisons between electro-ejaculated and epididymal ram sperm after exposure to a range of anisosmotic solutions, cryoprotective agents and low temperatures. Anim Reprod Sci 2009;110:256–68. [CrossRef]
- Cunha ATM, Carvalho JO, Kussano NR, Martins CF, Mourão GB, Dode MAN. Bovine epididymal spermatozoa: Resistance to cryopreservation and binding ability to oviductal cells. Cryobiology 2016;73:348–55. [CrossRef]
- Cunha ATM, Carvalho JO, Guimarães ALS, Leme LO, Caixeta FM, Viana JHM, et al. Bovine epididymal spermatozoa treatment for in vitro fertilization: Heparin accelerates fertilization and enables a reduction in coincubation time. PLoS ONE 2019;14:e0209692. [CrossRef]
- Ponti G, Maccaferri M, Micali S, Manfredini M, Milandri R, Bianchi G, et al. Seminal Cell Free DNA Concentration Levels Discriminate Between Prostate Cancer and Benign Prostatic Hyperplasia. Anticancer Res 2018;38:5121–5. [CrossRef]
- Manual de Exame Andrológico. CBRA n.d. http://cbra.org.br/br/publicacoes/manual-de-exame-andrologico/ (accessed March 15, 2024).
- Matos DL, Araújo AA, Roberto IG, Toniolli R. Análise computarizada de espermatozóides: revisão de literatura n.d.
- Alves MBR, Celeghini ECC, Belleannée C. From Sperm Motility to Sperm-Borne microRNA Signatures: New Approaches to Predict Male Fertility Potential. Front Cell Dev Biol 2020;8:791. [CrossRef]
- Machado GM, Carvalho JO, Filho ES, Caixeta ES, Franco MM, Rumpf R, et al. Effect of Percoll volume, duration and force of centrifugation, on in vitro production and sex ratio of bovine embryos. Theriogenology 2009;71:1289–97. [CrossRef]
- Parrish JJ, Krogenaes A, Susko-Parrish JL. Effect of bovine sperm separation by either swim-up or Percoll method on success of in vitro fertilization and early embryonic development. Theriogenology 1995;44:859–69. [CrossRef]
- da S. Mariante A, Egito AA. Animal genetic resources in Brazil: result of five centuries of natural selection. Theriogenology 2002;57:223–35. [CrossRef]
- Serrano GM, Egito AA do, McManus C, Mariante A da S. Genetic diversity and population structure of Brazilian native bovine breeds. Pesq Agropec Bras 2004;39:543–9. [CrossRef]
- Martins CF, Dode MN, Sereno JRB, Costa P de M, Saueressig MG, Rumpf R. Comunicado 151 Técnico ISSN 1517-1469 Planaltina, DF Novembro, 2008 n.d.
- Machado GM, Carvalho JO, Filho ES, Caixeta ES, Franco MM, Rumpf R, et al. Effect of Percoll volume, duration and force of centrifugation, on in vitro production and sex ratio of bovine embryos. Theriogenology 2009;71:1289–97. [CrossRef]
- Córdoba M, Pintos L, Beconi MT. Variations in creatine kinase activity and reactive oxygen species levels are involved in capacitation of bovine spermatozoa. Andrologia 2008;40:370–6. [CrossRef]
- Bailey JL, Blodeau J, Cormier N. Semen Cryopreservation in Domestic Animals: A Damaging and Capacitating Phenomenon Minireview. Journal of Andrology 2000;21:1–7. [CrossRef]
- Patrizio P. Cryopreservation of epididymal sperm. Molecular and Cellular Endocrinology 2000;169:11–4. [CrossRef]
- Monteiro GA, Papa FO, Zahn FS, Dellaqua JA, Melo CM, Maziero RRD, et al. Cryopreservation and fertility of ejaculated and epididymal stallion sperm. Animal Reproduction Science 2011;127:197–201. [CrossRef]
- Miller DJ, Winer MA, Ax RL. Heparin-Binding Proteins from Seminal Plasma Bind to Bovine Spermatozoa and Modulate Capacitation by Heparin1. Biology of Reproduction 1990;42:899–915. [CrossRef]
- Moore AI, Squires EL, Graham JK. Effect of seminal plasma on the cryopreservation of equine spermatozoa. Theriogenology 2005;63:2372–81. [CrossRef]
- Chaveiro A, Cerqueira C, Silva J, Franco J, Moreira da Silva F. Evaluation of frozen thawed cauda epididymal sperms and in vitro fertilizing potential of bovine sperm collected from the cauda epididymal. Iran J Vet Res 2015;16:188–93.
- Stout M. Comparison of epididymal and ejaculated sperm collected from the same Holstein bulls. Doctor of Philosophy. Louisiana State University and Agricultural and Mechanical College, 2012. [CrossRef]
- Seyedolmohadessin SM, Department of Biology, Science and Research Branch, Islamic Azad University, Tehran, Iran, Akbari MT, Department of Medical Genetics, Faculty of Medical Sciences, Tarbiat Modares University, Tehran, Iran, Nourmohammadi Z, Department of Biology, Science and Research Branch, Islamic Azad University, Tehran, Iran, et al. Assessing the Diagnostic Value of Plasma-Free DNA in Prostate Cancer Screening. IBJ 2018;22:331–7. [CrossRef]


| Sample parameter | Ejaculate | Epididymis | P value |
|---|---|---|---|
| Bulls N Volume (ml) |
5 9.4 ± 2.0 |
5 3.4 ± 0.5 |
n/a <0.01 |
| Concentration (sptz x106) | 480 ± 124.0 | 716 ± 147 | <0.01 |
| Total motility (%) | 83.2 ± 3.6 | 87.0 ± 2.4 | 0.81 |
| Vigor (1-5) | 4.0 ± 0.4 | 4.4 ± 0.5 | 0.90 |
| Plasma membrane integrity (%) | 82.1 ± 6.3 | 83.5 ± 3.6 | 0.79 |
| Minor defects (%) | 15.8 ± 3.8 | 1.8 ± 1.8 | <0.01 |
| Major defects (%) | 7.1 ± 1.6 | 6.1 ± 0.8 | 0.61 |
| Total defects (%) | 22.8 ± 4.2 | 7.8 ± 1.0 | <0.01 |
| Variable | Group | P value | |
|---|---|---|---|
| Ejaculate | Epididymis | ||
| Bulls N | 3 | 3 | n/a |
| Replicates N | 8 | 8 | n/a |
| Oocytes N | 525 | 500 | n/a |
| Cleavage D2, % (n) | 49.6 (261) | 44.2 (221) | 0.61 |
| Blastocyst D6, % (n) | 24.4 (128) | 21.8 (109) | 0.71 |
| Blastocyst D7, % (n) | 26.1 (137) | 22.2 (111) | 0.74 |
| Blastocyst D8, % (n) | 26.3 (138) | 22.4 (112) | 0.76 |
Disclaimer/Publisher’s Note: The statements, opinions and data contained in all publications are solely those of the individual author(s) and contributor(s) and not of MDPI and/or the editor(s). MDPI and/or the editor(s) disclaim responsibility for any injury to people or property resulting from any ideas, methods, instructions or products referred to in the content. |
© 2024 by the authors. Licensee MDPI, Basel, Switzerland. This article is an open access article distributed under the terms and conditions of the Creative Commons Attribution (CC BY) license (http://creativecommons.org/licenses/by/4.0/).