Submitted:
25 March 2024
Posted:
26 March 2024
You are already at the latest version
Abstract
Keywords:
1. Introduction
2. Materials and Methods
3. Results
3.1. Geological Overview of the Study Area
3.2. The Maljavr Occurrence: Geological Structure, Alteration, Ore Minerals

| Sample No. | ТУ-25-1 | ТУ-25-1 | ТУ-25-2 | ТУ-25-2 | ТУ-31 | ТУ-31 | ТУ-41 | ТУ-41 | ТУ-45 | ТУ-45 |
|---|---|---|---|---|---|---|---|---|---|---|
| Mineral | Apy-1-C | Apy-1-R | Apy-1-C | Apy-1-R | Apy-1-C | Apy-1-R | Apy-1-C | Apy-1-R | Apy-1-C | Apy-1-R |
| S | 14,94 | 18,32 | 16,08 | 18,94 | 15,49 | 18,36 | 18,16 | 20,03 | 17,93 | 19,28 |
| Fe | 26,46 | 31,4 | 27,92 | 30,56 | 27,73 | 31,49 | 33,15 | 34,61 | 31,89 | 33,65 |
| Co | 3,76 | 2,32 | 3,12 | 2,44 | 4,11 | 2,23 | 0,47 | 0,13 | 1,28 | 0,48 |
| Ni | 2,89 | 0,64 | 2,25 | 0,81 | 1,62 | 0,38 | 0,24 | bdl | 0,29 | 0,02 |
| As | 51,83 | 47,69 | 50,57 | 47,45 | 50,93 | 46,8 | 47,86 | 45,47 | 48,52 | 46,38 |
| Total | 99,88 | 100,37 | 99,93 | 100,2 | 99,88 | 99,26 | 99,88 | 100,25 | 99,91 | 99,81 |
| Atoms per formula unit | ||||||||||
| S | 0,805 | 0,946 | 0,852 | 0,965 | 0,831 | 0,957 | 0,94 | 1,014 | 0,927 | 0,986 |
| Fe | 0,819 | 0,931 | 0,850 | 0,894 | 0,854 | 0,942 | 0,985 | 1,006 | 0,946 | 0,987 |
| Co | 0,110 | 0,065 | 0,090 | 0,068 | 0,120 | 0,063 | 0,013 | 0,004 | 0,036 | 0,013 |
| Ni | 0,085 | 0,018 | 0,065 | 0,023 | 0,048 | 0,011 | 0,007 | 0,000 | 0,008 | 0,001 |
| As | 1,195 | 1,054 | 1,148 | 1,035 | 1,169 | 1,043 | 1,06 | 0,986 | 1,073 | 1,014 |
| at% As | 39,7 | 35,0 | 38,2 | 34,7 | 38,7 | 34,6 | 35,3 | 32,7 | 35,9 | 33,8 |
| Sample No. | TY-41-1 | TY-41-1 | TY-41-2 | TY-41-2 | TY-29 | TY-42 | TY-42 | TY-41 | TY-41 | TY-29 | TY-42 | TY-42 |
|---|---|---|---|---|---|---|---|---|---|---|---|---|
| Mineral | Apy-2-C | Apy-2-R | Apy-2-C | Apy-2-R | Apy-2 | Apy-2 | Apy-2 | Lo | Lo | Lo | Lo | Lo |
| S | 18,66 | 19,30 | 17,77 | 19,28 | 17,37 | 18,06 | 18,21 | 1,40 | 1,98 | 1,84 | 1,83 | 2,04 |
| Fe | 33,25 | 34,54 | 33,43 | 34,36 | 33,78 | 33,62 | 33,63 | 27,66 | 28,23 | 28,03 | 25,11 | 26,31 |
| Co | 0,34 | 0,12 | 0,39 | 0,09 | 0,07 | 0,24 | 0,17 | 0,08 | 0,13 | 0,10 | 0,49 | 0,42 |
| Ni | 0,49 | bdl | 0,38 | bdl | 0,17 | 0,26 | 0,11 | 0,09 | 0,10 | 0,13 | 2,07 | 0,68 |
| As | 47,96 | 46,72 | 48,59 | 45,80 | 48,80 | 47,87 | 48,09 | 70,27 | 69,35 | 69,94 | 70,26 | 70,04 |
| Total | 100,70 | 100,67 | 100,55 | 99,53 | 100,19 | 100,05 | 100,21 | 99,51 | 99,79 | 100,04 | 99,76 | 99,49 |
| Atoms per formula unit | ||||||||||||
| S | 0,952 | 0,982 | 0,921 | 0,992 | 0,908 | 0,937 | 0,939 | 0,089 | 0,125 | 0,116 | 0,114 | 0,127 |
| Fe | 0,975 | 1,009 | 0,996 | 1,015 | 1,014 | 1,001 | 0,996 | 1,009 | 1,024 | 1,013 | 0,904 | 0,944 |
| Co | 0,009 | 0,003 | 0,011 | 0,002 | 0,002 | 0,007 | 0,005 | 0,003 | 0,004 | 0,003 | 0,017 | 0,014 |
| Ni | 0,014 | 0,000 | 0,011 | 0,000 | 0,005 | 0,007 | 0,003 | 0,003 | 0,003 | 0,004 | 0,071 | 0,023 |
| As | 1,048 | 1,018 | 1,079 | 1,008 | 1,092 | 1,063 | 1,061 | 1,911 | 1,875 | 1,884 | 1,886 | 1,873 |
| at% As | 34,9 | 33,8 | 35,7 | 33,4 | 36,1 | 35,2 | 35,3 | 63,4 | 61,8 | 62,4 | 63,0 | 62,8 |
3.3. Zircons in the Rocks of the Maljavr Occurrence and Age of Zircons
| Sample No./ Fraction No. | Weight, mg/ Size, μm | Pb, ppm | U, ppm | Isotope ratios | |||
|---|---|---|---|---|---|---|---|
| 206Pb/204Pb* | 207Pb/206Pb* | 208Pb/206Pb* | |||||
| Sample SHM-12 – biotite gneiss | |||||||
| SHM-12/1 | 0.2/<100 | 165 | 358 | 533 | 0.1999±0.0001 | 0.1281±0.0002 | |
| SHM-12/2 | 0.5/>100 | 130 | 341 | 702 | 0.1907±0.0001 | 0.1246±0.0002 | |
| SHM-12/3 | 0.5/>100 | 141 | 337 | 822 | 0.1891±0.0001 | 0.1291±0.0002 | |
| SHM-12/4 | 0.2/>50 | 164 | 363 | 485 | 0.1972±0.0001 | 0.3042±0.0001 | |
| SHM-12/5 | 0.5/<100 | 361 | 803 | 1178 | 0.1845±0.0001 | 0.2709±0.0001 | |
| SHM-12/6 | 0.3/<50 | 158 | 371 | 539 | 0.1909±0.0001 | 0.2773±0.0001 | |
| SHM-12/7 | 0.4/<50 | 186 | 432 | 818 | 0.1829±0.0001 | 0.2064±0.0001 | |
| SHM-12/8 | 0.4/<100 | 175 | 406 | 1242 | 0.1829±0.0001 | 0.2062±0.0001 | |
| Sample SHM-11 - granite pegmatite | |||||||
| SHM-11/1 | 0.3/<200 | 1218 | 2587 | 1426 | 0.1724±0.0001 | 0.03001±0.0001 | |
| SHM-11/2 | 0.9/<150 | 729 | 1534 | 1233 | 0.1741±0.0001 | 0.05311±0.0002 | |
| SHM-11/3 | 0.6/>100 | 793 | 1619 | 1723 | 0.1719±0.0001 | 0.02737±0.0001 | |
| SHM-11/4 | 1.7/>250 | 1109 | 2370 | 2347 | 0.1695±0.0001 | 0.02410±0.0001 | |
| SHM-11/5 | 1.2/>200 | 1140 | 2643 | 2091 | 0.1686±0.0001 | 0.02238±0.0001 | |
| Sample No./ Fraction No. | Weight, mg/ Size, μm | Isotope ratios | Rho | Age, Ma | |||
|---|---|---|---|---|---|---|---|
| 206Pb/238U | 207Pb/235U | 206Pb/238U | 207Pb/235U | 207Pb/206Pb | |||
| Sample SHM-12 – biotite gneiss | |||||||
| SHM-12/1 | 0.2/<100 | 0.3958±0.0015 | 9.669±0.038 | 0.91 | 2150±9 | 2404±10 | 2627±3 |
| SHM-12/2 | 0.5/>100 | 0.3322±0.0049 | 7.9400±0.012 | 0.99 | 1849±27 | 2224±33 | 2590±2 |
| SHM-12/3 | 0.5/>100 | 0.3639±0.0011 | 8.7448±0.026 | 0.96 | 2000±6 | 2312±7 | 2599±2 |
| SHM-12/4 | 0.2/>50 | 0.3418±0.0014 | 8.1055±0.040 | 0.91 | 1896±8 | 2243±11 | 2577±4 |
| SHM-12/5 | 0.5/<100 | 0.3551±0.0007 | 8.5313±0.017 | 0.94 | 1959±4 | 2289±5 | 2599±1 |
| SHM-12/6 | 0.3/<50 | 0.3226±0.0016 | 7.6289±0.038 | 0.96 | 1834±9 | 2188±11 | 2539±3 |
| SHM-12/7 | 0.4/<50 | 0.3457±0.0010 | 8.2387±0.025 | 0.88 | 1962±6 | 2258±7 | 2538±2 |
| SHM-12/8 | 0.4/<100 | 0.3565±0.0011 | 8.5121±0.025 | 0.92 | 1966±6 | 2287±7 | 2588±2 |
| Sample SHM-11 - granite pegmatite | |||||||
| SHM-11/1 | 0.3/<200 | 0.4633±0.0005 | 10.509±0.011 | 0.90 | 2463±2 | 2481±2 | 2495±1 |
| SHM-11/2 | 0.9/<150 | 0.4449±0.0007 | 10.068±0.015 | 0.95 | 2373±4 | 2441±4 | 2499±1 |
| SHM-11/3 | 0.6/>100 | 0.4715±0.0011 | 10.714±0.026 | 0.99 | 2490±6 | 2499±6 | 2506±1 |
| SHM-11/4 | 1.7/>250 | 0.4529±0.0009 | 10.265±0.021 | 0.96 | 2408±5 | 2459±5 | 2501±1 |
| SHM-11/5 | 1.2/>200 | 0.4182±0.0009 | 9.3869±0.017 | 0.94 | 2252±5 | 2377±5 | 2485±1 |


4. Discussion
5. Conclusions
- Deposition of sedimentary rocks, including conglomerates with high As and, probably, gold, in the interval 2.95 – 2.83 Ga
- Regional upper amphibolite metamorphism of volcanic-sedimentary sequence in the interval 2.77 – 2.79 Ga.
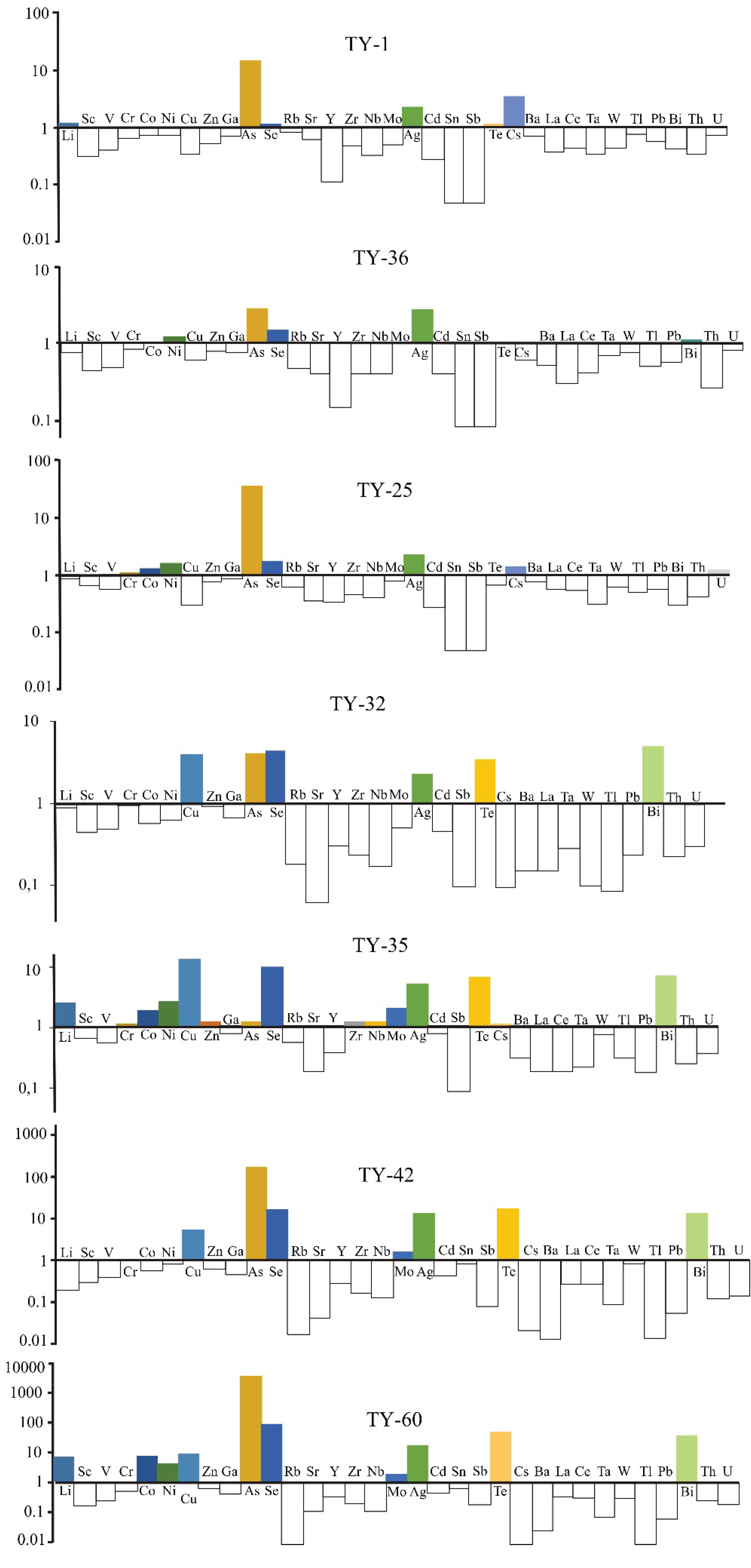
- Alteration of biotite gneiss-metaconglomerate and formation of lenses of metasomatic rocks with sulfide pyrrhotite-arsenopyrite mineralization; this event took place in a local zone of NNE strike at ~2.66-2.67 Ga. Geochemical association of the altered rocks includes As, Ag, Se, Te, Bi, and Cu.
- Injection of tourmaline pegmatite veins at ~2.51Ga caused recrystallization of sulfides and formation of gold-bismuth mineralization. Gold and bismuth minerals (native gold, maldonite, native bismuth, ehrigite and other tellurides) occur exceptionally in inclusions in recrystallized arsenopyrite (arsenopyrite-2) and löllingite.
Supplementary Materials
Author Contributions
Funding
Data Availability Statement
Acknowledgments
Conflicts of Interest
References
- Tucker, R.F.; Viljoen, R.P.; Viljoen, M.J. A review of the Witwatersrand Basin. Episodes 2016, 39, 105–134. [Google Scholar] [CrossRef]
- Smith, A.J.B.; Henry, G.; Frost-Killian, S. A review of the Birimian Supergroup- and Taerwaian Group-hosted gold deposits of Ghana. Episodes 2016, 39, 177–198. [Google Scholar] [CrossRef]
- Milesi, J.P.; Ledru, P.; Marcoux, E.; Mougeot, R.; Johan, V.; Lerouge, C.; Sabate, P.; Bailly, L.; Respaut, J.P.; Skipwith, P. The Jacobina Paleoproterozoic gold-bearing conglomerates, Bahia, Brazil: a "hydrothermal shear-reservoir" model. Ore Geol. Rev. 2002, 19, 95–136. [Google Scholar] [CrossRef]
- Munroe, S.; Cunningham, M. . The Pilbara's Conglomerate Gold. Australian Resources and Investment 2018, 12, 74–76. [Google Scholar]
- Chakravarti, R.; Singh, S.; Akella, V.S. Gold Mineralisation within Quartz Pebble Conglomerates of Gorumahisani Badampahar Schist belt, Singhbhum Craton, Eastern India. J Geosciences Research 2017, 1, 27–34. [Google Scholar]
- Ulrich, T.; Long, D.G.F.; Kamber, B.S.; Whitehouse, M. In-situ trace element and sulfur isotope analysis of pyrite in a Paleoproterozoic gold placer deposit, Pardo and Clement Townships, Ontario, Canada. Econ. Geol. 2011, 106, 667–686. [Google Scholar] [CrossRef]
- Long, D.G.F.; Ulrich, T.; Kamber, B.S. Laterally extensive modified placer gold deposits in the Paleoproterozoic Mississagi Formation, Clement and Pardo Townships, Ontario. Canadian Journal of Earth Sciences 2011, 48, 779–792. [Google Scholar] [CrossRef]
- Website of the Department of Use of Underground and Ecology of the Karelian Republic. http://nedrark.karelia.ru/mnia/au_karelia.htm. Electronic Resource, accessed 10.12.2023.
- Krogh, T.E. A low-contamination method for hydrothermal decomposition of zircon and extraction of U and Pb for isotopic age determination. Geochim. Cosmochim. Acta 1973, 37, 485–494. [Google Scholar] [CrossRef]
- Ludwig, K.R. PbDat for MS-DOS, Version 1.21; U.S. Geological Survey Open-File Report; U.S. Geological Survey: Reston, VA, USA, 1991; pp. 88–542.
- Ludwig, K.R. ISOPLOT/Ex. Version 2.06. A Geochronological Toolkit for Microsoft Excel; Berkley Geochronology Center Special Publication: Berkeley, CA, USA, 1999; 49p. [Google Scholar]
- Steiger, R.H.; Jager, E. Subcomission of geochronology: Convention of the use of decay constants in geo- and cosmochronology. Earth Planet. Sci. Lett. 1976, 36, 359–362. [Google Scholar] [CrossRef]
- Stacey, J.S.; Kramers, I.D. Approximation of terrestrial lead isotope evolution by a two-stage model. Earth Planet. Sci. Lett. 1975, 26, 207–221. [Google Scholar] [CrossRef]
- Smol’kin, V. F.; Mezhelovskaya, S. V.; Mezhelovsky, A. D. The Sources of the Clastic Material of the Terrigenous Sequences of the Neoarchean and Paleoproterozoic Paleobasins in the Eastern Part of the Fennoscandian Shield Based on Isotope Analysis Data for Detrital Zircons (SIMS, LA-ICP-MS). Stratigraphy and Geological Correlation 2020, 571–602. [Google Scholar] [CrossRef]
- Myskova, T.A.; Mil’kevich, R.I.; Bogomolov, Ye.S.; Guseva, V.F. New data on composition and age of the protolith of the high-alumina gneisses of the Kolskaya and Tundrovaya series. Geology and Geodynamics of the Archean: Proceedings of the I Russian Conference on the problems in geology and geodynamics of the Precambrian. Sankt-Peterburg 2005, IGGP, 272–275. (In Russian).
- Myskova, T.A.; Glebovitsky, V.A.; Mil’kevich, R.I.; Berezhnaya, N.G.; Skublov, S.G. Improvement of composition and age of aluminum gneisses of the Uragubskaya greenstone Later Achaean structure, Kola Peninsula. Proc. Russ. Min. Soc. 2010, 139(3), 15–21. (In Russian) [Google Scholar]
- The Early Precambrian of the Baltic Shield. Glebovitsky, V.A. (ed.) Sankt-Peterburg, Russia, Nauka, 2005, 711 p. (In Russian).
- Vrevskii, A.B. Specifics of Neoarchean plume–lithospheric processes in the Kola–Norwegian Province of the Fennoscandian Shield: I. Composition and age of the komatiite–tholeiite association, Petrology 2018, 26, 121–144.
- Bogdanova, V.S.; Dagelayskiy V.B. Age position of the rocks of the Tundrovaya series and conglomerates in the area of Ura river (Kola Peninsula). Absolute age of the Precambrian rocks in the USSR. Moscow-Leningrad, Russia, Nauka, 1965, 74–83. (In Russian).
- Smolkin, V.F.; Borisova, V.V.; Svetov, S.A.; Borisov, A.E. Late Archean komatiites of the Ura Bay–Titovka Structure, northwestern Kola region. Petrology 2000, 8, 177–199. [Google Scholar]
- Voronyaeva, L.V.; Krupenik, Z.V. A new gold prospect in the Titovsko-Uragubskaya greenstone Late Archean structure (Kola region). Regional geology and metallogeny (In Russian). 2021, 86, 82–91. (In Russian) [Google Scholar] [CrossRef]
- Stanley, C. Molar Element Ratio Analysis of Lithogeochemical Data: A Toolbox for Use in Mineral Exploration and Mining. Proceedings of Exploration 17: Sixth Decennial International Conference on Mineral Exploration, Tschirhart, V. and Thomas, M.D. (ed.), 2017, 471–494.
- Warr, L.N. IMA–CNMNC approved mineral symbols. Mineralogical Magazine, 2021; 85, 291–320. [Google Scholar] [CrossRef]
- Taylor, S.R.; McLennan, S.M. The Continental Crust: Its Composition and Evolution. Blackwell, Oxford, 1985, 312 p.
- Kramm, U.; Kogarko , L.N.; Kononova, V.A.; Vartiainen, H. The Kola alkaline province of the CIS and Finland: Precise Rb-Sr ages define 380-360 age range for all magmatism. Lithos 1993, 30, 33–44. [Google Scholar] [CrossRef]
- Ciobanu, C. L.; Cook, N. J.; Yao, J.; Slattery, A.; Wade, B. Ehrigite, IMA 2023-074, in: CNMNC Newsletter 77. Eur. J. Mineral. 2024, 36, 165–172. [Google Scholar] [CrossRef]
- Mints, M.V.; Suleimanov, A.K.; Babayants, P.S. Deep Structure, Evolution, and Minerals in the Early Precabrian Basement of the East European Platform: Interpretation of Materials on Referent Profile 1-EV, Profiles 4V and TATSEIS; Geokart Geos: Moscow, Russia, 2010; ISBN 978-5-89118-531-9. (In Russian).
- Balashov Yu. A., Mitrofanov F. P., Balagansky V. V. New geochronological data on Archaean rocks of the Kola Peninsula. Correlation of Precambrian formations of the Kola-Karelian region and Finland. Apatity: Kola Science Centre of the Russian Academy of Sciences. 1992, 13–34. (In Russian).
- Myskova, T.A., Milkevich, R.I. Aluminiferous gneisses of the Kola series, Baltic Shield (geochemistry, nature and age of protolith), Tr. Karel. Nauchn. Tsentra RAN 2016, 10, 34–62. (In Russian).
- Goryainov, P.M.; Ivanyuk, G.Y.; Bayanova, T.B.; Bazay, A.V.; Astaf’ev, B.Y.; Voinova, O.A. Composition, genesis, and age of rare-earth and precious metal mineralization in the rocks of banded iron formation in the Kola Peninsula. Proc. Fersman Sci. Sess 2012, 9, 235–238. (In Russian) [Google Scholar]
- State geological map of Russian Federation. Scale 1:1000000 (the third generation). Series Severo-Karsko-Barentsevomorskaya. Sheet R- 37, 38 – cape Svyatoy Nos, cape Kanin Nos. Explanatory note. Sankt-Peterburg: Kartograficheskaya fabrika VSEGEI, 2008, 251 p. (in Russian).
- Thermo- and barometry of metamorphic rocks. Glebovitsky, V. A. (ed.). Leningrad, Russia, 1977, 207 p. (In Russian).
- Gul’bin, Yu.L. Optimization of the garnet-biotite geothermometer. 1. Temperature trends. Proc. of the Russian Min. Soc. 2010, 139, 5, 1–17. (In Russian).
- Kalinin, A. A.; Kudryashov, N.M.; Savchenko, Ye.E. Mal'javr – the first gold prospect in the Archean conglomerates, the Kola region. Vestnik of MSTU 2023, 26, 5–17. (In Russian) [Google Scholar] [CrossRef]
- Kretschmar, U.; Scott, P.D. Phase relations involving arsenopyrite in the system Fe-As-S and their application. Canadian Mineralogist 1976, 14, 363–386. [Google Scholar]
- Tyukova, Ye. E.; Voroshin, S. V. Arsenopyrite mineral composition and parageneses in ore deposits and host rocks throughout the Upper Kolyma River area (interpreting the genesis of sulfide mineral assemblages). Magadan, Russia, 2007, 108 p. (In Russian).
- Ponomareva, N.I.; Gordienko, V.V.; Shurekova, N.S. Physicochemical circumstances of beryl generation in “Bol’shoy Lapot” deposit (Kola Peninsula). Vestnik of Sankt-Peterburg University, series 7 2015, 3, 4-20. (In Russian).
- Groves, D.I.; Santosh, M. Province-scale commonalities of some world-class gold deposits: Implications for mineral exploration. Geoscience Frontiers 2015, 6, 389–399. [Google Scholar] [CrossRef]
- Hart C.J.R. Reduced intrusion-related gold systems. Mineral deposits of Canada: A Synthesis of Major Deposit Types, District Metallogeny, the Evolution of Geological Provinces, and Exploration Methods. Geological Association of Canada, Mineral Deposits Division, Special Publication No. 5, 2007, 95-112.
- Baker, T.; Lang, J.R. Fluid inclusion characteristics of intrusion related gold mineralization, Tombstone-Tungsten magmatic belt, Yukon Territory, Canada. Mineral. Depos 2001, 36, 563–582. [Google Scholar] [CrossRef]












| Mineral | Ehg | Ehg | Ehg | Ehg | Ehg | Ehg | Ehg | Hdl | Hdl | Mdo | Mdo | Bi | Bi | Bi |
|---|---|---|---|---|---|---|---|---|---|---|---|---|---|---|
| S | bdl | bdl | bdl | bdl | bdl | bdl | bdl | bdl | bdl | bdl | bdl | 0.06 | bdl | bdl |
| Fe | 0.27 | bdl | bdl | 0.45 | 0.27 | 0.96 | 1.33 | bdl | bdl | bdl | 2.89 | 0.27 | 0.27 | 1.37 |
| As | 0.08 | bdl | bdl | 0.00 | 0.03 | 0.10 | bdl | bdl | bdl | 0.12 | 0.13 | 0.05 | 0.14 | |
| Te | 18.61 | 18.68 | 18.34 | 16.38 | 18.29 | 18.36 | 18.25 | 23.45 | 24.93 | bdl | bdl | 0.00 | bdl | bdl |
| Au | bdl | bdl | bdl | bdl | bdl | bdl | bdl | bdl | bdl | 63.78 | 62.82 | bdl | bdl | bdl |
| Pb | bdl | 0.78 | bdl | bdl | bdl | 0.94 | bdl | 4.08 | bdl | bdl | bdl | bdl | bdl | bdl |
| Bi | 81.49 | 80.54 | 80.23 | 82.49 | 80.36 | 79.64 | 79.05 | 72.47 | 75.07 | 36.22 | 33.85 | 99.02 | 99.88 | 98.43 |
| Total | 100.45 | 100.00 | 98.56 | 99.39 | 98.95 | 99.89 | 98.73 | 100.00 | 100.00 | 100.00 | 99.68 | 99.49 | 100.20 | 99.94 |
| Atoms per formula unit | ||||||||||||||
| S | 0.047 | 0.004 | ||||||||||||
| Fe | 0.099 | 0.168 | 0.099 | 0.347 | 0.479 | 0.291 | 0.010 | 0.010 | 0.049 | |||||
| As | 0.022 | 0.008 | 0.028 | 0.009 | 0.004 | 0.001 | 0.004 | |||||||
| Te | 2.962 | 3.006 | 2.998 | 2.646 | 2.956 | 2.896 | 2.879 | 3.340 | 3.523 | 0.000 | ||||
| Au | 1.954 | 1.791 | ||||||||||||
| Pb | 0.077 | 0.091 | 0.358 | |||||||||||
| Bi | 7.917 | 7.915 | 8.003 | 8.140 | 7.934 | 7.667 | 7.615 | 6.302 | 6.477 | 1.046 | 0.910 | 0.982 | 0.989 | 0.947 |
| Fe | 1.94 | 0.48 | 1.48 | 1.12 | 1.71 | 0.77 | 0.24 | 1.11 | 0.11 | 0.24 | 1.35 | 1.67 |
| As | 0.04 | 0.01 | 0.04 | bdl | 0.03 | 0.07 | 0.10 | 0.11 | bdl | bdl | bdl | bdl |
| Ag | 7.34 | 21.22 | 35.73 | 45.78 | 3.78 | 4.78 | 29.71 | 8.78 | 18.17 | 18.68 | 6.23 | bdl |
| Au | 88.97 | 77.08 | 61.42 | 53.10 | 94.19 | 92.83 | 69.32 | 89.45 | 77.69 | 78.62 | 91.16 | 99.22 |
| Total | 98.29 | 98.80 | 98.67 | 100.00 | 99.71 | 98.46 | 99.37 | 99.45 | 95.98 | 97.53 | 98.75 | 100.89 |
| Atoms per formula unit | ||||||||||||
| Fe | 0.063 | 0.014 | 0.040 | 0.028 | 0.056 | 0.026 | 0.007 | 0.036 | 0.003 | 0.007 | 0.044 | 0.056 |
| As | 0.001 | 0.000 | 0.001 | 0.001 | 0.002 | 0.002 | 0.003 | |||||
| Ag | 0.123 | 0.330 | 0.494 | 0.594 | 0.064 | 0.084 | 0.435 | 0.146 | 0.298 | 0.300 | 0.106 | |
| Au | 0.814 | 0.656 | 0.465 | 0.378 | 0.879 | 0.889 | 0.556 | 0.816 | 0.698 | 0.692 | 0.850 | 0.944 |
Disclaimer/Publisher’s Note: The statements, opinions and data contained in all publications are solely those of the individual author(s) and contributor(s) and not of MDPI and/or the editor(s). MDPI and/or the editor(s) disclaim responsibility for any injury to people or property resulting from any ideas, methods, instructions or products referred to in the content. |
© 2024 by the authors. Licensee MDPI, Basel, Switzerland. This article is an open access article distributed under the terms and conditions of the Creative Commons Attribution (CC BY) license (http://creativecommons.org/licenses/by/4.0/).