Preprint
Article

This version is not peer-reviewed.

Biochemical Composition of Tubers of New Russian Potato Cultivars Depending on Growing and Storage Conditions

A peer-reviewed version of this preprint was published in:
Agronomy 2024, 14(4), 834. https://doi.org/10.3390/agronomy14040834

Submitted:

18 March 2024

Posted:

19 March 2024

You are already at the latest version

Abstract
Fourteen Russian potato cultivars (cvs.) grown for three years in field plots of VIR (Northwestern region of the Russian Federation) were evaluated for productivity and a number of biochemical parameters of tubers. The 12 parameters that have been evaluated in tubers annually one month after harvesting and after cold storage (at 2 - 4°C) include the content of dry matter, starch, protein, ascorbic acid, carotenoids and β-carotene, anthocyanins, total sugars and monosaccharides (reducing sugars), phenolic compounds, as well as total acidity, and antioxidant activity. The cultivars differed significantly in productivity and biochemical composition of tubers. Dry matter content ranged from 16.40% in cv. ʻKumachʼ to 27.28% in ʻNayadaʼ, starch content ranged from 8.96 % in cvs. ʻFioletovyjʼ, ʻKumachʼ to 20.08% in ‘Sokur’, the total sugar content reached 2.46% in cv. ʻSiverskij’ whereas ‘Sokur’ has the smallest content of reducing sugars in post-harvest tubers. Protein content ranged from 1.02% to 2.77% with the highest accumulation in cv. ʻSokurʼ. Content of ascorbic acid (vitamin C) ranged from 6.3 mg/100 g FW in ʻKrasa Meŝeryʼ to 26.6 mg/100 g FW in cv. ʻKrasavchikʼ. Carotenoids content ranged from 0.157 mg/100 g FW in cv. ‘Nayada’ to 0.645 mg/100 g FW in cv. ʻGrandʼ. Content of anthocyanins in potato ranged from 1.04 mg/100g FW (not colored tubers of cv. ʻKrasa Meŝeryʼ) to 283.04 mg/100g FW (colored tubers of cv. ʻFioletovyiʼ). The nutritional value of tubers (content of dry matter, sugars, starch and protein) was determined to a greater extent (38-49%) by varietal characteristics, rather than by meteorological conditions in vegetation period. The content of vitamin C, carotenoids, protein and anthocyanins varied depending on the year. The highest content of dry matter, starch and carotenoids was noted in tubers harvested in 2019, marked by low temperatures and precipitation deficit in growing season. The conditions of 2020 with low temperatures and excess precipitation were the most favorable for anthocyanin’s accumulation in potato tubers while not for other biochemical parameters. Of the cultivars, ʻSokurʼ had the highest content of dry matter, protein and starch. Cv. ʻFioletovyiʼ had small starch content and high level of anthocyanins. Cv. ʻPlamyaʼ can be recommended for potato products manufacturing due to dry matter content above 20% and reducing sugars content 0.24%..
Keywords: 
;  ;  ;  ;  ;  ;  ;  ;  ;  ;  ;  

1. Introduction

Potato (Solanum tuberosum L.) is one of the staple plant foods in Russia, the consumption of which according to Rosstat is 56.5 kg per capita a year [1]. Potatoes are cultivated in all 12 agroclimatic regions of Russia, distinguished by its specific soil and climatic conditions. Cultivars are created at breeding centers located in the European part of the country, in the Urals, Siberia and the Far East. The climate changes observed in recent decades across Russia have significantly affected the manifestation of economically important traits of potatoes, including productivity and starch content.
Russia experiences an acute shortage of highly productive domestic table potato cultivars, of those with special quality characteristics, and of cultivars suitable for potato products manufacturing [2]. Potato has a plethora of secondary metabolites that can have beneficial impact on the human health. Recently, serious changes were made in potato breeding program in Russia caused by new consumer requirements related to improve the quality of nutrition, to reduce the calorie content of food, to increase the content of high-grade protein, vitamins and antioxidants [2,3]. An integral part of a healthy diet for the population is a sufficient amount of antioxidants. In potatoes, antioxidants are represented by carotenoids, vitamin C, and polyphenolic compounds. Potato phytonutrients such vitamins, carotenoids, anthocyanins and glycoalkaloids have shown promising health-promoting properties with the anticancer, hypocholesterolemic, anti-inflammatory, anti-obesity, and anti-diabetic benefits [4,5].
The creation of new domestic cultivars suitable for healthy (medicinal) nutrition or for processing into specific potato products are the priority trends in modern potato breeding in Russia. The current important trends determine the need for dietary cultivars of potato with a high content of antioxidants (25-30 mg/100 g of vitamin C, over 2 mg/100 g of carotenoids, or more than 500 mg/100 g of anthocyanins), 2.5-3% of protein, and a reduced starch content of 8-10%. The manufacturing of potato products requires special cultivars with a high content of dry matter (20-25%), low content of reducing sugars (optimally 0.2%) and with certain morphological characteristics of tubers [2]. The improvement of quality characteristics of tubers of modern potato cultivars is closely related to other economically valuable traits, such as productivity, resistance to diseases and pests, and tolerance to adverse environmental factors.
Progress in creating new cultivars with high amounts of phytonutrients is determined by knowledge of the genetic nature of selection traits and the source material available. The identification and quantification of biochemical compounds in the potato tuber is an urgent task to the first step of breeding. By now, Russian breeders have created cultivars with tubers containing 2.0-2.2% protein (‘Vympel’ and ‘Krasa Meŝery’), accumulating more than 20 mg/100 g of vitamin C (‘Vympel’, ‘Grand’, ‘Sadon’, ‘Fritella’), and containing 10.82-15.64% anthocyanins in dry matter (‘Vasilek’ and ‘Fioletovyi’ [2]. There are no data on other biochemical characteristics of tubers of new domestic potato cultivars.
Antioxidant content of potato has been the subject of investigation for a long time, since the comprehensive review by C. Brown (2005) [6] and his breeding studies in potatoes containing high concentrations of anthocyanins and carotenoid [7,8]. Phytochemical and antioxidant activity of potato have been assayed in different regions of potato production [9,10,11,12,13,14]. Such studies revealed the chemical variation and nutritional values in different cultivars. Many authors have reported that the concentration of the chemicals present in the potato tuber can be affected by several factors such as cultivar genotype, maturity group, soil and climatic growing conditions, fertilizers, and absence of diseases, post-harvest and processing conditions [11,14,15,16,17,18,19]. The knowledge about how environment affects the nutritional values of potatoes in Russian is limited. Tuber quality traits such as starch content, anthocyanins distribution in pigmented flesh, crisp color, taste and glycoalkaloid content are regulated by multiple genetic and environmental factors. The complexity of these traits requires a deeper knowledge about the influence of interactions between genotype and environment.
The aim of this study was to quantify the level of biochemical components in tubers of new Russian potato cultivars and to determine the influence of the weather during three consecutive growing potato cycles on the content of these components. The additional aim of this study was to distinguish cultivars with good nutritional traits.

2. Materials and Methods

The study concentrated on the productivity and biochemical composition of tubers of 13 Russian potato cultivars and cv. ‘Nayada’ that was used as reference. Potato was cultivated in the experimental field of VIR (Pushkin and Pavlovsk Laboratories Research and Production Base of VIR) in 2019-2021. Cv. ‘Nayada’ is the most common in the North-West region of Russia because of it’s a high yield and a good taste. Potato plants were grown using a standard agricultural technology for potatoes.
Based on the results of preliminary tests, Russian potato cultivars with good productivity were chosen for the study. The cultivars created in breeding centers located in the European part of Russia and in Siberia were evaluated; they belong to mid-early and mid-season maturity groups, as well as to the mid-late group (cv. ‘Fioletovyj’) (Table 1). Cvs. ‘Nayada’, ‘Sudarynya’, and ‘Grand’ were recommended for cultivation in various soil and climatic conditions. Cvs. ‘Barin’, ‘Kumach’, ‘Krasavchik’, ‘Kalibr’, and ‘Sokur’ were adapted to separate regions.
Experimental Design. Field trials were established in three years, 2019, 2020 and 2021 in a completely randomized design with three replications. Each cultivar was represented by 20 plants and planted in two row plots of 10 tubers per row with inter-row spacing of 70 cm and intra-row spacing of 30 cm. The soil at the VIR experimental site is a soddy-podzolic sandy loam with light loam, humus content of 3-3.5%, and pH 4.8-5.1. Agricultural practices for growing potatoes were used in accordance with a standard practice for the Northwestern region of the Russian Federation. Harvesting was carried out manually when haulm began to turn yellow and died.
For biochemical analysis, the harvested tubers were bulked into two sets every year. The first set of tubers was analyzed immediately after harvesting (post-harvest analysis) and the second set was analyzed after 4-6 months’ keeping at 2 - 4 °C in a potato storage
Every set of tubers consisted of samples for each potato cultivar in three replications. For every sample, one typical tuber (weighing 50-90 grams) was chosen from each of 10 plants selected among 20 plants of the cultivar. That is a combined sample for each cultivar was formed in three reps too. In preparation biochemical probe tubers were cut lengthwise, and one half was taken and crushed.
Biochemical analysis was carried out for 12 parameters, such as the content of dry matter, starch, protein, ascorbic acid, carotenoids and β-carotene, anthocyanins, reducing sugars and total sugars, phenolic compounds, as well as total acidity and antioxidant activity. Tuber samples were processed and analyzed as previously described in Ermakov et al. (1987) [20]: the content of dry matter was determined gravimetrically.
Sugars were determined by the standard method: Bertrand’s method is based on the reducing action of sugar on the alkaline solution of tartarate complex with cupric ion; the cuprous oxide formed is dissolved in warm acid solution of ferric alum. The ferric alum is reduced to FeSO4 which is titrated against standardized KMnO4; Cu equivalence is correlated with the table to get the amount of reducing sugar [21].
Total (titratable) acidity was determined by titration of the extract with 0.1 N alkali converted to malic acid; ascorbic acid was determined by direct extraction from plants with 1% hydrochloric acid, followed by titration with 2,6-dichloroindofinol sodium salt hydrate (Fluka, Germany); protein was determined according to Kjeldahl on the Foss Kjeltec 2200 analyzer (Sweden).
Starch was determined by the Evers polarimetric method, using an Atago 5952 SAC-i 589/882 automatic polarimeter/saccharimeter (Japan). The main method used to determine starch content is the polarimetric Evers method, the essence of which is the hydrolysis of starch to sugars by boiling in a solution of hydrochloric acid [22].
Carotenoid pigments were isolated with 100% acetone and their absorption was measured on an Ultrospec II spectrophotometer (LKB Biochrom, Cambridge, England) at different wavelengths: at 470 nm for carotenoids and 454 nm for β-carotene [23].
Anthocyanins were obtained by the extraction with a 1% hydrochloric acid solution, followed by spectrophotometry at a wavelength of 510 nm, in terms of cyanidin3,5-diglycoside chloride (phyproof, reference substance, Germany). The content of the total anthocyanins was calculated using the formula using the specific absorption index of cyanidin3,5-diglycoside chloride in a 1% aqueous solution of hydrochloric acid (453). To correct for the green pigments content, the optical density of the obtained extracts was simultaneously determined at 657 nm [24].
The main method for the phenolic substances determination was the spectrophotometric method with the Folin-Ciocalteu reagent [25]. The phenolic compounds determination was based on the reduction of Mo6+ to Mo5+, as a result of which the analyzed solution acquires a blue color and becomes optically measurable. The extract is mixed with the Folin-Ciocalteu reagent and the saturated sodium carbonate solution in the 1:1:2 ratios, and the absorbance in the final mixture is measured at 765 nm. The obtained values are expressed in mg/100 g of the initial material in terms of gallic acid (mg GA/100 g). Total polyphenols in a sample are usually expressed as gallic acid equivalents, which are used as quantitative standards [26,27].
The DPPH method (a method for determining antioxidant activity by quenching free radicals using the 2,2-diphenyl-1-picrylhydrazyl reagent) is based on the reaction of a stable synthetic DPPH (2,2-diphenyl-1-picrylhydrazyl) radical dissolved in ethanol with an antioxidant sample presumably contained in the extract [28]. When the DPPH free radical is reduced with antioxidant substances in the studied extracts, the saturated blue color of DPPH gradually changes to yellow: the free radical of 2,2-diphenyl-1-picrylhydrazyl (with a saturated blue color) transforms into a stable molecule of yellow-colored 2,2-diphenyl-1-picrylhydrazyl. Free radicals of 2,2-diphenyl-1-picrylhydrazyl were determined at a wavelength of 515 nm. The data are expressed in mg-eq.·ascorbic acid/100 g of substance.
All data are given in terms of fresh weight (FW).
Data analysis. The obtained results were subjected two-way ANOVA in order to test the single effect of potato genotypes (cultivar), meteorological conditions (year) and their interaction on biochemical components in tubers. Tukey’s tests with a significance level of α = 0.05 were used for detailed analyses of the mean values by isolating statistically homogeneous groups. Results of biochemical analyses are presented as mean values plus standard deviation. The calculations were performed with software package Statistica 13 (StatSoft Russia http://statsoft.ru/company).
In 2019-2022, weather conditions were characterized by contrasting periods of heat and moisture supply (Table 2). In 2019, potato growth and development proceeded in conditions of low temperatures and lack of moisture in July and August with 75% and 34% of the normal precipitation, respectively; the growing season duration was 76-83 days. In 2020, growth and development took place at low temperatures and excess moisture in July and August with 116 and 130% of the monthly rainfall, respectively; the growing season lasted for 78 days. In 2021, the growth and development of potato took place in hot and dry weather in June and July with just 16 and 7% of the monthly rainfall, respectively, and during heavy rains in August, which resulted in 164% of the monthly rainfall (Table 2). The growing season lasted for 84 days in 2021.

3. Results

Productivity. An important component of potato yield is the mean weight of tubers per plant. Potato cultivars noticeably differ in productivity, which ranged from 467 g\plant (‘Fioletovyj’) to 1398 g\plant (‘Kumach’) in 2019, from 539 g\plant (‘Fioletovyj’) to 1140 g\plant (‘Kumach’ and ‘Grand’) in 2020, and from 302 g\plant (‘Nayada’) to 1019 g\plant (‘Eliksred’) in 2021 (Table 3).
Differences in productivity between cultivars in the years of the study were significant: the values of the Fisher’s test (F) were 9.69, 3.41 and 5.37 (p<0.05) for the experimental data of 2019, 2020 and 2021, respectively. The effect size of the year factor was also significant with the Fisher’s test value of 3.18 (p=0.0004). Also, we noted differences in the response of cultivars to weather conditions during the growing season. The productivity of cvs. ‘Sudarynya’ and ‘Eliksred’ during the years of research was stable at 958-1011 g\plant and 1019-1064 g\plant, respectively. Cvs. ‘Grand’, ‘Kalibr’, ‘Krasa Meŝery’ and ‘Kumach’ demonstrated high productivity (over 1000 g\plant) in 2019-2020 and a reduced one (805-926 g\plant) in 2021. Cvs. ‘Plamya’ and ‘Siverskij’ were highly productive (over 1000 g\plant) in 2020, but lowered it to 847-905 g\plant in 2019 and 2021. Cvs. ‘Grand’, ‘Kalibr’, ‘Krasa Mesery’, ‘Kumach’, ‘Narymskaya nochka’, ‘Plamya’, ‘Sudarynya’ and ‘Eliksred’ displayed an average variability in yield, with coefficient of variation from 10% to 20%. Four other cultivars displayed a high variability in yield, with coefficient of variation 21-28%.
Biochemical composition of tubers. An analysis of the biochemical composition of tubers of 14 potato cultivars carried out after harvesting revealed significant differences in the content of the studied substances (Table 4), the amount of which depended on the genotype (varietal characteristics) and meteorological condition in growing season.
Dry matter. The main indicator of the quality and value of potato is its chemical composition, i.e. the content of essential nutrients. The total content of these elements is represented by the dry matter indicator. The accumulation of dry matter mass in the studied potato cultivars ranged from 16.40 to 27.28%, with the mean content of 22.02% (Table 5).
As a rule, tubers with dry matter content above 18-20% tend to be more susceptible to superficial injury, but such tubers are more easily boiled soft when cooked. For the manufacturing of potato products, tubers with a dry matter content of 20-25% are used, which results in an attractive color when frying potatoes. According to Gosstandard [29], potato cultivars are subdivided into those with a high dry matter content above 25%, medium (22-25%) and low (less than 22%). The highest dry matter content (above 24%) is displayed by cv. ‘Sokur’. The content of dry matter is below 20% in tubers of cvs. ‘Kumach’ (19.30%) and ‘Fioletovyj’ (19.67%), which can be recommended for low-calorie diets. Most cultivars belong to the group of medium dry matter content; these are cvs. ‘Barin’, ‘Grand’, ‘Krasa Meŝery’, ‘Krasavchik’, ‘Narymskaya nochka’, ‘Sokur’, ‘Eliksred’, and ‘Nayada’. It should be noted that cv. ‘Nayada’ (reference) grown under favorable conditions turned out to be close to cultivars with a high dry matter content which amounted to over 25% in 2019 and 2020. However, in the hot and dry 2021, the dry matter mass in tubers of cv. ‘Nayada’ decreased to 22.24%. A high content of dry matter mass was noted in cvs. ‘Grand’ (23.71%) and ‘Krasavchik’ (23.31%).
In general, a tendency towards a decrease in the content of dry matter is characteristic in the process of potato storage (the mean value for the studied sample was 21.79%). The analysis of experimental data showed that the cultivars are divided into three groups: the first one includes those, the tubers of which showed a decrease in the mass of dry matter after storage (‘Barin’, ‘Grand’, ‘Kalibr’, ‘Krasavchik’, ‘Narymskaya nochka’, ‘Plamya’, and ‘Eliksred’); the second contains those with an increase in the mass of dry matter after storage (‘Krasa Meŝery’, ‘Kumach’, ‘Siverskij’, and ‘Nayada’); and the third group unites cultivars, in the tubers of which the mass of dry matter did not change (‘Sokur’, ‘Sudarynya’, and ‘Fioletovyj’).
Starch. In our research, starch amounting to 59-73% of dry mass was the main component of potato and the main carbohydrate, the content of which in the studied cultivars ranged from 8.96 to 20.08%, with a mean of 14.31% of fresh mass (Table 6).
Depending on the cultivar, tubers contained from 10.70 to 20.08% starch, with mean of 14.9%, after harvesting, while after storage the amount of starch decreased down to 8.96-18.12% (mean of 13.70%). The observed decreased amount of starch in tubers during storage was a result of hydrolytic decomposition of starch to sugars. The relationship between the starch content in tubers during the post-harvest analysis and during storage is medium, the correlation coefficient (R) is 0.61.
According to the value of starch variation coefficient (V) (Table 6), it can be concluded that five cultivars, namely ‘Grand’, ‘Kalibr’, ‘Siverskij’, ‘Sokur’ and ‘Sudarynya’ (cv. ‘Siverskij’ being the most even one with 92.35%) are distinguished by low variability (less than 10%) in the starch content in tubers. For other cultivars, medium variation from 10 to 20% in the starch content was established.
The greatest amount of accumulated starch was noted in tubers of cv. ‘Sokur’, both after harvesting (16.71%) and after storage (15.95%). Cv. ‘Grand’ also had 16.35% starch in tubers after harvesting, but after storage starchiness decreased to 14.56% (Table 4 and Table 6). Cv. ‘Nayada’ (reference) differed from all other cultivars by an increase in the amount of starch after storage (up to 16.34% vs. 16.07%). Cvs. ‘Kumach’ and ‘Fioletovyj’ can be recommended for low-calorie diets, as they are characterized by the lowest starch content of 12% or below.
According to the literature, the starch content depends on the precocity of varieties, this indicator being higher in mid-season and mid-late cultivars, compared with early and mid-early ones [30]. In our research, the mid-late cv. ‘Fioletovyj’ accumulated little starch (12.75%) in comparison with other cultivars. It is obvious that the short growing season (84-88 days) in the conditions of the Northwestern region is insufficient for a cultivar from the mid-late maturity group and is the reason for the low yield and starch content in cv. ‘Fioletovyj’. Cultivars with the maximum starch content (‘Grand’, ‘Sokur’ and ‘Nayada’) are mid-early ones. The production of starch requires potato cultivars with a high amount, from 15 to 25% starch, in tubers [31], and eight cultivars – ‘Grand’, ‘Krasa Meŝery’, ‘Krasavchik’, ‘Narymskaya nochka’, ‘Sokur’, ‘Sudarynya’, ‘Eliksred’ and ‘Nayada’ meet these criteria.
Sugar. In our research, the total sugar content varied from 0.18 to 2.46%, with a mean of 0.91%, and reducing sugars varied from 0.10 to 2.10% (mean of 0.65%), which amounted to 18-100% (mean of 69%) of the total sugar content. After storage, a significant increase in sugars was observed, which resulted from the hydrolytic decomposition of starch: total sugars after harvesting was 0.51% vs. 1.32% after storage; and the content of reducing sugars was 0.35 vs. 0.93%, respectively (Table 6, Figure 1). The relationship between the content of total sugars and reducing sugars in tubers during the post-harvest analysis and during storage is strong, with correlation coefficient (R) of 0.80 and 0.83, respectively. It should be noted that the monosaccharides/oligosaccharides ratio remained approximately the same both after harvesting and after storage (31.37% and 29.55%, respectively).
An increase in sugar content by more than 1.5-2% adversely affects potato quality (it causes darkening during cooking due to the formation of melanoidins, renders sweet taste, etc.) [32,33]. In our study, all cultivars accumulated less than 1% of sugars after harvesting, and more than 1.5% of sugars were noted after storage in cvs. ‘Krasavchik’, ‘Narymskaya nochka’, ‘Siverskij’ and ‘Sudarynya’. Notable is that cv. ‘Siverskij’ had the maximum sugar content of 1.96%. In cvs. ‘Sokur’, ‘Eliksred’ and ‘Plamya’, the amount of sugars did not exceed 1% even after storage (Table 4).
In 10 out of 14 studied cultivars, the content of reducing sugars (monosaccharides) was below 0.4% after harvesting (Table 4). In our research, a high content of dry matter mass was demonstrated by cvs. ‘Grand’ (23.71%), ‘Krasavchik’ (23.31%), ‘Sokur’ (24.32%), and ‘Nayada’ (24.68%). Tubers of cv. ‘Krasavchik’ contain 0.46% reducing sugars, and those of cv. ‘Nayada’ 0.36%. Therefore, tubers of two cvs., ‘Grand’ and ‘Sokur’, can be recommended for industrial processing after harvesting. A significant increase in the content of reducing sugars in tubers of all cultivars was noted after storage, except for cv. ‘Plamya’ (0.24 and 0.47%, respectively).
Raw protein. The amount of nitrogenous substances in potatoes is 1.5-2.5%, of which proteins are a significant part. There is 1.5 to 2 times more protein nitrogen in tubers than non-protein nitrogen. Among non-protein substances, free amino acids and amides are present in significant amounts. An insignificant part of nitrogen is present in nucleic acids, some glycosides, B vitamins, and in the form of ammonia and nitrates. The main potato protein, tuberin, is a globulin (55-77% of total proteins), while glutamines account for 20-40%. Potato proteins are highly water soluble, and in terms of biological value they surpass proteins of many grain crops, and are not much inferior to proteins of meat and eggs. The usefulness of proteins is determined by the composition of amino acids, in particular, by the ratio of essential amino acids, and therefore, the digestibility of potato protein is much higher than of that from other sources of plant foods. The protein and free amino acids of potatoes contain all the amino acids found in plants, including the essential ones (lysine, methionine, threonine, tryptophan, valine, phenylalanine, leucine, and isoleucine), which are found in a good ratio [30].
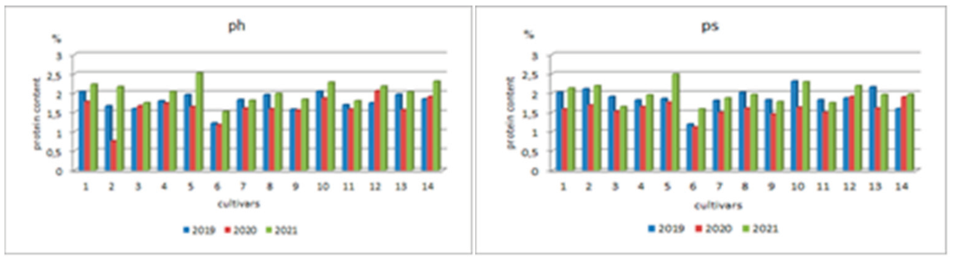
Depending on the cultivar and growing conditions, the range of protein content in tubers of 14 potato cultivars varied from 1.02 to 2.77%, with a mean of 1.83% of fresh weight. During storage, the amount of protein did not change in all accessions, except for cvs. ‘Nayada’ and ‘Barin’ (Table 4).
According to the content of proteins in tubers, potatoes are divided into high-protein (over 1.23%), medium-protein (1.15-1.23%), and low-protein (1.06-1.15%) ones. All the studied cultivars are high-protein ones. The highest amount of protein (over 2%) was noted in tubers of cvs. ‘Barin’, ‘Krasavchik’, ‘Sokur’, and ‘Nayada’, with the highest accumulation in cv. ‘Sokur’ (2.07%). In our study, among the four mid-early cultivars, the highest accumulation of protein (2.04%) was recorded for cv. ‘Krasavchik’, while other cultivars with a high protein content in tubers were classified as mid-season. Cv. ‘Kumach’ was distinguished by the lowest protein content in all the years of study (mean of 1.31%). In most cultivars, protein accumulation depended on the year of cultivation: the highest content was noted in 2021, and the lowest in 2020 in all cultivars, except for ‘Kalibr’, ‘Fioletovyj’, and ‘Nayada’ (Figure 2).
The amount of protein in potatoes is known to have an inverse relationship with the content of starch: the more starch, the less protein [34]. This is explained by the different direction of protein and carbohydrate metabolism in tubers. The greater part of the protein in potato tubers is water soluble and is found in cell sap. It should be noted that cv. ‘Sokur’ has the highest content of both protein and starch in the studied set of potato cultivars (Table 4).
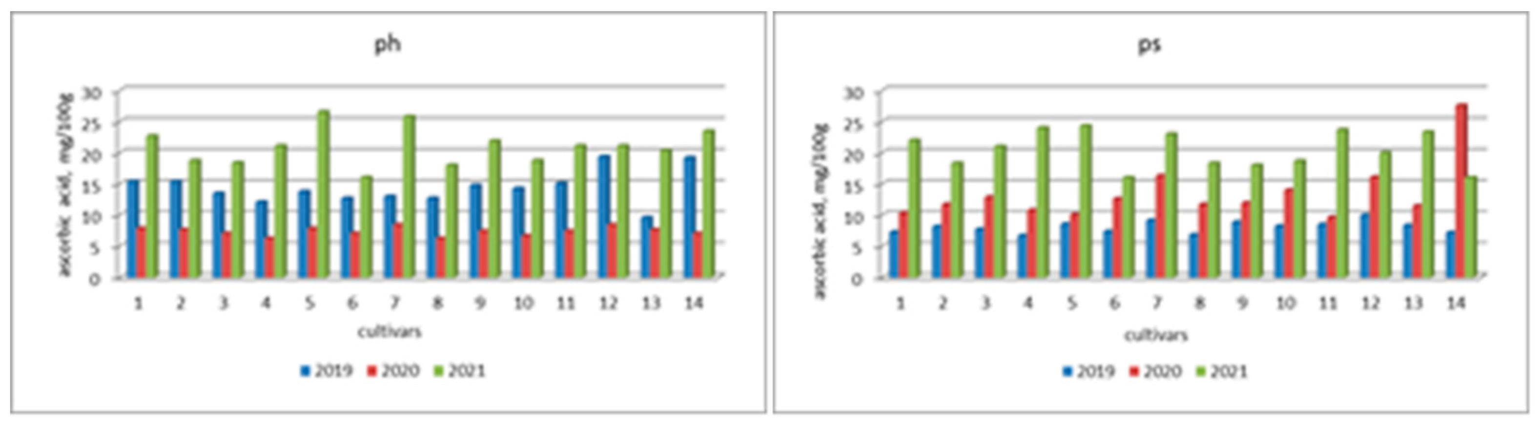
Ascorbic acid. Vitamins determine the biological value of potatoes as a food product. Tubers contain a variety of vitamins, among which vitamin C (ascorbic acid, AA) dominates and plays an important role in the formation of nutritional value. AA is known to have a low reduction potential, and the free radical that forms during its oxidation has low reactivity, which meets the criteria for a primary antioxidant [35]. The maximum content of vitamin C in tubers is found shortly after the beginning of their formation, i.e. during a period of rapid growth. By the time tubers reach physiological maturity, the content of vitamin C decreases [31].
In our study, the mean content of AA in potato tubers was 14.1 mg/100 g FW and the range of variability of this indicator was large: from 6.3 mg/100 g FW in cv. ‘Krasa Meŝery’ to 26.6 mg/100 g FW in cv. ‘Krasavchik’ in post-harvest analyses (Figure 3). However, differences between cultivars are not significant. The highest amount of AA (over 16 mg/100 g, the three year mean) was observed in cvs. ‘Krasavchik’ (16.1), ‘Fioletovyj’ (16.3), and ‘Nayada’ (16.6). According to Platonova and Savina (2010) [36], early and mid-early cultivars are superior in vitamin C content to mid-season and late varieties. This conclusion was confirmed in our study by the results of the biochemical analysis of cv. ‘Krasavchik’, a mid-early cultivar. However, among two other cultivars, ‘Fioletovyj’ is mid-late and ‘Nayada’ is mid-season.
After storage AA concentration varied depending on potato genotypes and year. In general, content of vitamin C increased in all potato varieties after storage in 2020, and decreased in 2019 (Figure 3). Earlier studies have shown that more vitamin C is accumulated in potato tubers in dry than in wet years [31]. Our results confirm this conclusion, as the content of AA in tubers was significantly higher in hot and dry 2021 than in previous years (Figure 3).
Figure 3. Ascorbic acid content (mg/100 g) in tubers of potato cultivars in different years of cultivation. Cultivars are numbered as in Figure 2.
Figure 3. Ascorbic acid content (mg/100 g) in tubers of potato cultivars in different years of cultivation. Cultivars are numbered as in Figure 2.
Preprints 101622 g003
Meteorological conditions of the growing season had a significant impact on the vitamin C and protein content (Figure 6). The tubers harvested in 2020 (with heat deficiency and heavy rainfall) contained the lowest (6.3-8.5 mg/100 g) amounts of vitamin C in all the studied cultivars. The weather conditions in 2019 were more favorable for the formation of vitamin C, so the mean per sample was 14.3 mg/100 g, with the most noticeable increase in the vitamin C content (up to 19.4 mg/100 g) in tubers of cvs. ‘Fioletovyj’ and ‘Nayada’. The weather conditions in 2021 had the most positive effect on the level of vitamin C; an increase in this indicator was noted in cvs. ‘Narymskaya nochka’ and ‘Krasavchik’ up to 25.8 and 26.6 mg/100 g, respectively. The indicator of tubers total acidity changed in a similar way, as was shown by the post-harvest analysis.
Titratable acidity. Organic acids are found in plants in free state, or in the form of acidic and neutral salts. The accumulation of one or another acid in a plant is closely connected with the whole complex of organic acids transformation during the development of a plant, with the type of metabolism in general and its dependence on environmental conditions. Organic acids determine the acidity of potato cell sap. The pH value (active acidity) for potatoes is found in the 5.6-6.2 range. Potato tubers contain citric, malic, oxalic, isocitric, lactic, pyruvic, tartaric, chlorogenic, quinic and other organic acids. Potatoes are most rich in citric acid. The total titratable acidity of potato is also determined by the presence of acid phosphates in its composition.
In our research, we determined the titratable acidity, which characterizes the total amount of free acids and acid salts. The range of variability of titratable acidity in the studied potato cultivars varied from 0.1 to 0.68% in terms of citric acid (mean of 0.25%). After harvesting, the total acidity was low, with a mean of 0.25% (from 0.14 to 0.43%), and after storage it decreased to 0.26% (mean value), although in some cultivars this indicator increased. The accumulation of total acidity was observed only in accessions harvested in 2020, which is probably due to the quality of tubers and their keeping ability. The cool and wet weather in 2020 has led to an outbreak of tuber diseases during storage. The most vulnerable were cvs. ‘Narymskaya nochka’ (up to 0.52% total acidity), ‘Sokur’ (up to 0.54%), ‘Nayada’ (up to 0.56%), ‘Sudarynya’ (up to 0.63%), and ‘Siverskij’ (up to 0.68%).
The total content of acids does not accurately characterize the degree of sour taste of the product. To determine an objective measure of taste, the percentage of sugars is divided by the percentage of acids. In our research, the sugar-acid ratio varied from 0.7 to 15.62, with a mean of 4.08. In the study of accessions in the post-harvest period, the mean value of this indicator was 2.2 (0.7 to 6.33 range) and increased sharply up to 5.96 (1.94-15.62) when determined after storage, which also indicates the hydrolysis of sugars in this period. The acidity of potatoes, which sharply increases from microbiological damage during storage, also negatively affects the course of the technological process [37].
Pigments. The pigment complex of plants is an intricate and labile system that sensitively reacts and adapts to changes in environmental conditions within the framework of its hereditarily fixed program. Potato tubers usually contain two main classes of pigments, carotenoids and anthocyanins, however, a third class of pigments, chlorophylls, may appear after the exposure of tubers to light. Since tuber color is an important feature of potato cultivars, these classes of pigments are considered in more detail.
Carotenoids. The flesh of all potato cultivars has a stronger or lighter yellow tint, and this is mainly due to the presence of carotenoids, a class of plastid pigments related to lipochromes. The main representatives of carotenoids in higher plants are two pigments: β-carotene (orange) С40Н56 and xanthophyll (yellow) С40Н56О2. In potato tubers, the main carotenoid components are xanthophylls: violaxanthin, lutein and lutein-5,6-epoxide, with a small amount of neoxanthine and neoxanthin-A [38]. β-carotene, a common carotenoid in many plants, is also present in the aerial parts of the potato plant, and is either absent or present only in trace amounts in tubers [39]. There is a direct correlation between the yellow color of the flesh and the total carotenoid content, which is a hereditary characteristic. A high carotenoid content is believed to be controlled by one dominant gene, and there are modifier genes [40].
The range of carotenoids variability in the studied potato cultivars ranged from 0.10 to 2.01 mg/100 g, with a mean of 0.477 mg/100 g. There were no significant changes in the content of carotenoids after storage (Table 7); a slight upward trend was observed (0.43 vs. 0.52 mg/100 g). The total content of carotenes varied from 0.032 to 0.278 mg/100 g (mean of 0.111). About 62% of the total carotenes accounted for β-carotene and ranged from trace amounts to 0.296 mg/100 g (mean of 0.069). Also, no changes in the content of β-carotene were observed during storage; a slight increase was within the error.
Tuber greening due to the formation of chlorophyll (a class of plastid pigments) as a result of the influence of light is not uncommon, but is usually accompanied by the appearance of toxic glycoalkaloids such as solanine and chaconine [39], and therefore green-colored tubers should not be eaten. However, chlorophylls are found in small amounts both in the flesh and skin of tubers. In our research, the range of chlorophyll content varied from trace amounts to 5.56 mg/100 g, with a mean of 0.82 mg/100 g. During storage, the amount of chlorophylls decreased (1.26 vs. 0.32 mg/100 g). The maximum content of chlorophylls was found in cv. ‘Siverskij’ (1.00 mg/100 g), ‘Narymskaya nochka’ (0.96), and ‘Eliksred’ (0.92).
Anthocyanins. Another major group of pigments that can be found in tubers of some potato cultivars, are anthocyanins. These are vacuolar pigments that give the tuber skin or flesh a red or purple, sometimes almost black color (Figure 4), and these colors often mask those rendered by carotenoids. Anthocyanins are found in cell sap in the form of glycosides, which decompose during hydrolysis into glucose, galactose, rhamnose and colored aglycones (anthocyanides). Anthocyanins belong to a class of compounds called flavonoids, but most other flavonoids are usually colorless, or colored yellow. Other flavonoids, such as flavonols and flavones, which are yellow, may be present in trace amounts, although they are unlikely to have any significant effect on skin or flesh color [39].
The color and distribution of anthocyanin pigmentation in different parts of a plant are characteristics that are of great importance for the identification of a potato cultivar. Tuber skin can be completely or partially colored. Tuber flesh can also be completely colored or have a different distribution of pigment color. The color of sprouts, which tubers produce in natural diffused light, also varies depending on the cultivar [39]. The studied sample includes cultivars with different color of tuber skin (white, pink, bright red, and purple) and flesh (white, pink or purple) (Table 1, Figure 5). In our study, the content of anthocyanins in potato tubers varied from 1.04 (not colored tubers) to 283.04 mg/100 g (colored tubers), with a mean of 20.28 mg/100 g (Table 4 and Table 8).
During storage, there was an insignificant decrease in the amount of anthocyanins (20.62 vs. 19.93 mg/100 g). Depending on the conditions in the year of cultivation, the mean values were as follows: 13.99 in 2019, 35.73 in 2020, and 12.14 mg/100 g in 2021. These data show that the most favorable conditions for the accumulation of anthocyanins were cool temperatures and excess moisture. Hot and dry conditions in 2021 resulted in the lowest anthocyanin values.
Table 8. Anthocyanins content in potato tubers (mg/100 g of fresh matter).
Table 8. Anthocyanins content in potato tubers (mg/100 g of fresh matter).
Cultivar After harvesting After storage
2019 2020 2021 2020 2021 2022
‘Barin’ 3.84*±2.66** 3.65±2.84 3.26±1.65 2.81±1.54 2.10±0.49 2.76±0.25
3.58±2.13d 2.56±0.89d
‘Grand’ 4.27±1.51 36.37±24.50 5.59±3.10 2.11±0.45 2.56±1.23 9.42±10.63
11.97±18.57cd 4.70±6.42d
‘Kalibr’ 6.05±5.25 13.35±9.76 3.18±0.91 5.48±2.35 3.25±1.97 5.49±4.88
7.50±4.59d 3.81±2.04d
‘Krasa Meŝery’ 3.37±1.88 3.43±2.19 2.29±0.30 2.03±0.50 1.82±0.75 2.33±0.26
3.03±1.55d 2.06±0.52d
‘Krasavchik’ 4.25±2.63 17.70±17.63 3.21±0.83 2.57±0.66 3.22±1.21 9.00±3.10
8.40±1.45d 4.93±1.45d
‘Kumach’ 4.44±3.59 36.11±48.73 7.59±1.48 4.18±0.34 3.79±1.37 20.01±13.11
16.01±2.86cd 9.30±1.28d
‘Narymskaya nochka’ 38.53±16.92 66.46±32.92 43.44±9.69 68.21±41.59 53.77±3.19 109.91±17.72
49.48±23.08b 77.30±33.92b
‘Plamya’ 10.05±5.87 24.41±4.74 6.69±0.94 6.98±2.12 5.55±1.18 7.26±0.49
13.72±9.00c 6.60±1.47d
‘Siverskij’ 3.37±1.47 3.45±1.30 2.82±0.63 2.93±0.32 2.11±0.62 2.45±0.67
3.21±1.07d 2.50±0.60d
‘Sokur’ 6.65±2.42 33.21±25.14 5.46±3.07 4.59±1.12 3.81±1.17 20.95±15.31
15.10±2.74c 9.80±1.05d
‘Sudarynya’ 4.54±2.84 4.17±3.52 2.69±0.47 3.37±1.19 2.75±1.87 2.25±0.47
3.80±2.43d 2.79±1.23d
‘Fioletovyj’ 80.41±10.15 178.43±100.26 47.21±19.19 105.50±31.24 90.00±10.57 116.33±28.74
102.00±51.98a 103.90±18.92a
‘Eliksred’ 15.56±7.22 65.54±57.97 27.55±14.78 16.62±4.00 32.41±18.70 55.29±52.10
36.20±17.66bc 34.80±13.10c
‘Nayada’ 3.61 1.47 2.78 3.43 1.54 1.52
2.62±1.08d 2.16±1.10d
Mean 20.62±37.16 19.93±34.54
Mean for the studied period 20.28±35.80
*- mean value, ** - standard deviation.
The highest content of anthocyanins was observed in cultivars with pigmented skin and flesh, e.g. cv. ‘Fioletovyj’ with purple skin and flesh (102.00 mg/100 g), ‘Narymskaya nochka’ with purple skin and a purple ring in white flesh (49.48), and ‘Eliksred’ with red skin and pink flesh (36.20).
Phenolic compounds are a group of substances, the molecules of which contain one or more aromatic (benzene) rings bearing one or more hydroxyl groups. The formation of these compounds is characteristic of plant cells, which are capable of synthesizing dozens of thousands of such compounds. Changes in the chemical composition of phenolic compounds occur due to various biosynthesis and chemical reactions, such as hydroxylation, glycosylation, formation of esters and glycosides. The antioxidant activity of phenols is based on their ability to donate an electron and a proton, and get transformed into a relatively stable phenoxy radical capable of delocalizing an unpaired electron [35]. Phenolic compounds are secondary plant metabolites, and the most common phenolic acids, primarily chlorogenic, account for up to 90% of the total amount of phenolic compounds in potatoes [41]. Potato tubers contain significantly more phenolic compounds in the skin than in the flesh, especially the pigmented ones [42]. Determination of the phenolic substances content is one of the main analyses in antioxidant activity studies [43].
An analysis of the obtained data showed that the total soluble phenolic compounds in potato cultivars varied from 25 to 333 mg-eq. gallic acid (GA)/100 g of fresh weight, with a mean of 118 mg-eq. GA/100 g. The highest accumulation of phenolic compounds was noted in potato cvs. ‘Narymskaya nochka’ (168 mg-eq. GA/100 g) and ‘Fioletovyj’ (175 mg-eq. GA/100 g). This confirmed the data of O.V. Polivanova and E.M. Gins (2019) [44] that tubers with colored flesh contain the maximum amount of phenolic compounds.
Antioxidant activity (AOA). The recent years witness an increased interest in potato AOA, high values of which were noted in cultivars with colored tuber flesh. The main groups of AOA substances contained in potato tubers include carotenoids, vitamin E, vitamin C, and phenolic compounds, such as phenolic acids and anthocyanins [44]. The AOA of potatoes is at the same level as that of tomatoes, carrots and some lettuces, but is below of that of berries. However, unlike berries, potatoes are available all year round and are regularly consumed around the world in larger quantities than berries and fruits. Therefore, potatoes can serve as a constant source of antioxidants [45]. Many studies have shown that the antioxidant activity of the potato skin is 2-3 times higher than that of the flesh [45]. Stressful situations during potato cultivation increase the content of antioxidants.
Determination of the AOA level in tubers of 14 studied cultivars showed that its mean value was 30 mg-eq. ascorbic acid (AA)/100 g and varied from 0.6 to 145 mg-eq. AA/100 g. The maximum AOA was noted in the tubers of cvs. ‘Narymskaya nochka’ (145 mg-eq. AA/100 g), ‘Fioletovyj’ (142 mg-eq. AA/100 g), ‘Eliksred’ (133 mg-eq. AA/100 g), ‘Plamya’ (132 mg-eq. AA/100 g), ‘Kumach’ (120 mg-eq. AA/100 g) and ‘Krasa Meŝery’ (117 mg-eq. AA/100 g). Cvs. ‘Narymskaya nochka’ and ‘Fioletovyj’ have a purple color of tuber skin and flesh, the other varieties have red skin, and ‘Eliksred’ has pink flesh. Our study confirmed the conclusion of Zhevora (2021) [45] that among the colored potato cultivars, those with purple tubers have the highest content of antioxidants.
DPPH test. One of the main methods for studying AOA is the DPPH (2,2-diphenyl-1-picrylhydrazyl) test. The free radical 2,2-diphenyl-1-picrylhydrazyl is used to analyze the ability of tested accessions to slow down and completely stop chain reactions of radical oxidation [46]. Reactive oxygen species produced as a by-product of metabolic reactions are widely interrelated in biological systems that control such processes as growth, environmental stress regulation, development, and protective mechanisms [47]. Indeed, potato has been cited as a better source of phenolic compounds with the antioxidant capacity compared to other vegetables and fruits, such as carrots, onions, and tomatoes, due to its higher daily intake [41]. By using the DPPH test, we measured the radical scavenging activity of potato tuber extracts, which ranged from 0.15 to 18%, with a mean of 10%. The highest absorption activity was noted in the same cultivars as in the case with AOA determination, namely ‘Narymskaya nochka’ (14.59%), ‘Fioletovyj’ (14.61%), ‘Eliksred’ (11.69%), ‘Plamya’ (12.41%), and ‘Kumach’ (11.33%). Cv. ‘Krasa Meŝery’ was an exception, as the absorption activity of its tubers turned out to be below 10%.
The effect of growth and development conditions on the biochemical composition of potato tubers.
The heat and moisture supply during the growing season largely determined the biochemical composition of tubers of the studied potato cultivars (Figure 5). The highest content of dry matter, starch and carotenoids (Figure 5) was noted in tubers harvested in 2019, marked by low temperatures and lack of moisture during growing season (Table 2). The lowest content of dry matter, starch and carotenoids (Figure 5) was recorded in tubers harvested in 2021, which was characterized by hot and dry weather during the period of plant growth and development (Table 2). The maximum amount of sugars (0.53%) for the entire sample was noted in potato tubers in 2019 under low temperatures and lack of moisture. The conditions of 2020 with low temperatures and excess moisture, and of 2021 (hot and dry weather) led to a reduced accumulation of sugars (0.49 and 0.48%, respectively). However, the year factor effect size for the content of monosaccharides and total sugars in general was not significant for the studied sample of cultivars (Figure 5, Table 9). Meteorological conditions during three growing seasons affected in similar way on the content of vitamin C and protein in tubers of 14 Russian potato cultivars (Figure 5). Notable, 2020 was the most favorable for anthocyanin’s accumulation in potato tubers while not for other biochemical parameters.
Figure 5. Biochemical parameters of tubers of 14 potato cultivars in 2019-2021, mean value, standard error, 95% confidence interval.
Figure 5. Biochemical parameters of tubers of 14 potato cultivars in 2019-2021, mean value, standard error, 95% confidence interval.
Preprints 101622 g005
The biochemical parameters of tubers, which determine the nutritional value of potatoes (the content of dry matter, protein, starch, and sugars), are influenced by the varietal characteristics to a greater extent than by the growing conditions (Table 9). The post-harvest and post-storage analyses of tubers produced by 14 Russian cultivars showed that the genotype determines 38-53% variability in the content of dry matter, protein, starch and sugars. The dry matter content was just slightly affected by growing conditions and storage (8-11% variability). Protein content largely depended on the cultivar and environment. Genotype and year factors had a significant impact (21-43%) on the amount of protein in harvested potato tubers and after their storage (Table 9).
Varietal characteristics do not affect the variability of total acidity in tubers and have little effect on the vitamin C content in harvested tubers. However, we revealed that both biochemical parameters are highly affected by the external factors (Figure 5, Table 9). Varietal characteristics have a significant impact (28-52% variability) on the total and reducing sugars content in post-harvest and post storage tubers. The year factor determines variability on the total and reducing sugars content in stored tubers only. The content of disaccharides, as well as of β-carotene in tubers, depended just little on the cultivar and year of study (Figure 5, Table 9).
The analysis of variance revealed that genotype and environment interaction determines 7% variability in the content of ascorbic acid and 15% variability in anthocyanin’s content of harvested potato tubers. Genotype and environment interaction determines 8% variability in the content of reducing sugars and 15% variability in dry matter and protein content in potato tubers after storage.
The content of carotenoids in tubers after harvesting depended on the cultivar and the weather conditions during the cultivation period; likewise, the content of anthocyanins was also determined by varietal characteristics and growing conditions (Figure 5, Table 9). The tubers harvested in 2020 were noted to have the highest level of anthocyanins; an increase in the content of these substances was especially noticeable in cvs. ‘Krasavchik’, ‘Kumach’, ‘Narymskaya nochka’, ‘Sokur’, ‘Fioletovyj’, and ‘Eliksred’ (Table 7). It should be noted that the intensity of the pink color of the tuber skin in cv. ‘Kalibr’ varies significantly depending on the growing conditions, which also reflects changes in the anthocyanin content in tubers of this cultivar. In 2019, tubers of ‘Eliksred’ had a lower anthocyanin content than in 2021, while tubers of ‘Fioletovyj’, on the contrary, had a higher anthocyanins content in 2019.

4. Discussion

The creation of domestic new generation potato cultivars, which differ in maturing periods and have specific parameters of economically useful traits determining their purpose use in accordance with the demands of the domestic market, is the main direction of Russian potato breeding [6]. Depending on the purpose of use, cultivars must comply with a set of specific requirements, including biochemical parameters of tubers [2,48]. At present, information on the biochemical composition of tubers in the assortment of modern potato cultivars is humble due to evaluation a small number of cultivars or breeding lines for a limited set of traits [49,50,51]. There has been no knowledge on the content of carotenoids, chlorophylls, organic acids, phenolic compounds and AOA for new domestic potato cultivars.
In our study 13 new Russian potato cultivars and cv. ‘Nayada’ were examined on 12 parameters to characterize a biochemical composition of tubers in post-harvest and after cold storage. Our results and previous reports of biochemical parameters of cvs. ‘Grand’, ‘Kalibr’, ‘Krasavchik’, ‘Krasa Meŝery’, ‘Siverskij’, ‘Sokur’, ‘Sudarynya’, and ‘Eliksred’ indicate the significant influence of varietal characteristics and growing conditions on the content of dry matter, starch, vitamin C, protein and reducing sugars in tubers. Cvs. ‘Grand’, ‘Krasavchik’, ‘Krasa Meŝery’, ‘Sokur’, and ‘Eliksred’ were noted for a high dry matter content (23% and above) in both the Northwestern and Central regions [49,51]. The conditions of the Northwestern region, however, are unfavorable for the accumulation of starch in potato tubers that does not exceed 16% in cvs. ‘Grand’, ‘Krasavchik’, ‘Sokur’, and ‘Eliksred’, while in the Central region these cultivars are highly starchy [49,51].
In all potato cultivars, the content of vitamin C in tubers produced in the Northwestern region was noticeably lower (by 5-12 mg/100 g) compared to that in tubers from the Central region. Vitamin C content in cvs. ‘Grand’, ‘Krasavchik’, ‘Krasa Meŝery’, ‘Sokur’, ‘Sudarynya’, ‘Fioletovyj’, and ‘Eliksred’ did not exceed 16.3 mg/100 g in the Northwestern region, while in the southern regions of Russia and in Belarus content of vitamin C in tubers exceeded 18 mg/100 g and even reached 25.8 mg/100 g in cv. ‘Fioletovyj’ [2,49,51,53].
Potatoes from the Northwestern region have a higher protein content and a lower content of reducing sugars comparatively potatoes in the Central region. In our research, the protein content above 1.5% was noted in all cultivars of the studied sample, except for cv. ‘Kumach’, while in the Central region cvs. ‘Grand’ and ‘Barin’ are not among the high-protein ones [49,51].
In the Northwestern region cvs. ‘Barin’, ‘Grand’, ‘Kalibr’, ‘Krasa Meŝery’, ‘Plamya’, ‘Sokur’, ‘Fioletovyj’, and ‘Eliksred’ accumulate less than 0.4% of reducing sugars, while in the Central region cvs. ‘Grand’ and ‘Eliksred’ have such feature only [49,51]. It should be noted that cv. ‘Sokur’, recommended for cultivation in the West Siberian region, has a high content of dry matter and protein when grown both in the Northwestern and Central regions. The stability of biochemical composition of ‘Sokur’ tubers means that this cultivar is promising for cultivation in different soil and climatic conditions.
It is noticeable that the levels of antioxidants reported by many authors for potato in different regions are higher to that in tubers of the Russian varieties. Vitamin C content mentioned in the literature varied between 10-36 mg per 100 g FW [6,9,12]. The carotenoids contents mentioned in the literature range from 35 to 795 mcg per 100 g FW [6,16,17] with higher concentrations extending up to 1043.50 mcg/100 g FW [14]. Anthocyanins in certain cultivars extending up to 368 mg per 100g FW [6]. That discrepancy may arise from differences in assessment methods or environmental conditions. The difficulty of comparing studies due to the large number of different techniques was mentioned by Brown (2005) [6]. Moreover, it is worth remembering that potato cultivars examined in the present study have been created in Russian breeding program as most adaptive to a separate region, but not to achieve a high nutrition value.
The effects of environmental factors on the accumulation of biochemical components in potato tubers were evaluated in many studies. To date there has been conclusive evidence that temperature and precipitation during growing potato cycles affect the chemical characteristics of the produced potato tubers [11,15,17]
In our study, anthocyanins concentration was significantly higher under conditions at low temperatures and excess moisture in 2020. This finding is in line with Hu, Tsao et al. (2012) [11] who found that the year with the higher rain fall was accompanied by higher total anthocyanins content.
There is some contradiction in the assessment of the effect of environments on the carotenoids content. Tatarowska et al (2019) [52] found that the effects of the year and location play the most important role in controlling the accumulation of carotenoids. While Haynes et al. (2010) [16] discussed some discrepancy in the effect of environments for individual carotenoids or for the totals. Escuredo et al., (2018) [17] reported that the temperature positively favored the flavonoid content and carotenoid content. By contrast, our study revealed that carotenoid content increases significantly in potato tubers formed in conditions of low temperatures and a lack of moisture.
An evaluation of the biochemical parameters of tubers after storage has established a significant effect of the genotype on the change in the content of basic nutrients. In our studies, a decrease in protein content after storage was noted in only two cultivars, while according to a number of authors, storage at 4 °C usually leads to protein degradation in potato tubers [18,44]. Our data are consistent with the previously published data on an increase in the anthocyanins content after storage in tubers with colored flesh, and a decrease in those with uncolored (white) flesh. At the same time, high AOA activity was found not only in cultivars with colored tuber flesh (‘Narymskaya nochka’, ‘Fioletovyj’, and ‘Eliksred’), but also in those with the colored skin and uncolored tuber flesh (‘Plamya’ and ‘Kumach’).
On the basis of the obtained data, it can be recommended for the cultivation in the Northwestern region cv. ‘Fioletovyj’ that is suitable for consumption as part of low-calorie diets and cv. ‘Sokur’ that distinguished by a high nutrition. Cv. ‘Plamya’ can be recommended for potato products manufacturing due to dry matter content above 20% and reducing sugars content 0.24%.

5. Conclusions

For the first time, an analysis of 12 biochemical parameters of tubers after harvesting and after 4-6-month storage revealed the nutritional value and suitability of 14 Russian potato cultivars for different types of use. A multidirectional influence of the meteorological conditions of the growing season on the content of different nutrients in potatoes during cultivation in the Northwestern region was established. The analysis of variance revealed significant effects of genotypes (potato cultivars) and meteorological conditions on the content of dry matter, starch, protein, ascorbic acid, carotenoids and anthocyanins in harvested tubers of 14 Russian cultivars. Cvs. ‘Sokur’, ‘Fioletovyj’ and ‘Plamya’, and ‘Sokur’ represent the promising sources for use in breeding. These cultivars are of particular interest as promising ones for adaptation in the Northwestern region, taking into account their special consumer value.
This study presents the level of 12 biochemical characters in tubers of 14 Russian potato cultivars which provides impetus for future breeding work to generate potato with enhanced nutritional qualities. The results of the current experiment could be helpful for commercial potato producers, giving them new opportunities to promote the production of promising potato cultivars for the food and proceeding industry.

Author Contributions

Conceptualization, Alla Solovieva and Elena Rogozina.; methodology, Alla Solovieva.; software, Elena Rogozina.; validation, Nadezhda Chalaya, Maksim Sitnikov.; formal analysis, Nadezhda Chalaya and Alla Solovieva.; resources, Nadezhda Chalaya.; data curation, Elena Rogozina and Maksim Sitnikov.; writing—original draft preparation, Elena Rogozina.; writing—review and editing, Elena Rogozina and Maksim Sitnikov.; visualization, Alla Solovieva and Nadezhda Chalaya.; supervision, Elena Rogozina.; project administration, Maksim Sitnikov.; funding acquisition, Elena Rogozina. All authors have read and agreed to the published version of the manuscript.

Conflicts of Interest

The authors declare no conflict of interest.

References

  1. https://rosstat.gov.ru/storage/mediabank/Potreb_prod_pitan-2021.pdf.
  2. Simakov, E.A.; Anisimov, B.V.; Zhevora, S.V.; Mityushkin, A.V.; Zhuravlev, A.A.; Mityushkin, A.V.; Gaizatulin, A.S. Current trends in the development of potato breeding and seed production in Russia. Potato and Vegetables 2020, 22–26. (In Russian) [Google Scholar] [CrossRef]
  3. Simakov, E.A.; Anisimov, B.V.; Zhevora, S.V.; Mitiushkin, A.V.; Zhuravlev, A.A.; Mitiushkin, A.V.; Kordabovsky, V.Yu. Prospects of potato selection for the improvement of nutritional value of tubers. IOP Conference Series: Earth and Environmental Science 2021, 659, 012096. [Google Scholar] [CrossRef]
  4. Campos, H.; Ortiz, O. The potato crop. Its agricultural, nutritional and social contribution to humankind. Springer: Cham, Switzerland, 2020; ISBN 978-3-030-28683-5. 524p. [Google Scholar]
  5. Hellmann, H.; Goyer, A.; Navarre, D.A. Antioxidants in Potatoes: A Functional View on One of the Major Food Crops Worldwide. Molecules 2021, 26, 2446. [Google Scholar] [CrossRef] [PubMed]
  6. Brown, C.R. Antioxidants in Potato. Amer. J. Potato Res. 2005, 82, 163–172. [Google Scholar] [CrossRef]
  7. Brown, C.R.; Wrolstad, R.; Durst, R.; Yang, C.-P.; Clevidence, B. Breeding studies in potatoes containing high concentrations of anthocyanins. Amer. J. Potato Res. 2003, 80, 241–250. [Google Scholar] [CrossRef]
  8. Brown, C.R.; Culley, D.; Yang, C.-P.; Durst, R.; Wrolstad, R. Variation of anthocyanin and carotenoid contents and associated antioxidant values in potato breeding lines. J. Am. Soc. Hortic. Sci. 2005, 130, 174–180. [Google Scholar] [CrossRef]
  9. Bahadori, S.; Giglou, M.T.; Esmaielpour, B.; Dehdar, B.; Estaji, A.; Hano, C.; Gohari, G.; Vergine, M.; Vita, F. Antioxidant Compounds of Potato Breeding Genotypes and Commercial Cultivars with Yellow, Light Yellow, and White Flesh in Iran. Plants 2023, 12, 1707. [Google Scholar] [CrossRef] [PubMed]
  10. Cebulak, T.; Krochmal-Marczak, B.; Stryjecka, M.; Krzysztofik, B.; Sawicka, B.; Danilčenko, H.; Jarienè, E. Phenolic Acid Content and Antioxidant Properties of Edible Potato (Solanum tuberosum L.) with Various Tuber Flesh Colours. Foods 2023, 12, 100. [Google Scholar] [CrossRef]
  11. Hu, C.; Tsao, R.; Liu, R.; Sullivan, J.A.; McDonald, R. Influence of Cultivar and Year on Phytochemical and Antioxidant Activity of Potato (Solanum tuberosum L.). Canadian Journal of Plant Science 2012, 92, 485–493. [Google Scholar] [CrossRef]
  12. Sim, E.; Kim, J.; Kim, H.-S.; Park, H.-Y.; Choi, H.-S. Physicochemical characteristics of three potato cultivars grown in different cultivation periods. J. Food Compos. Anal. 2023, 119, 105215. [Google Scholar] [CrossRef]
  13. Keutgen, A.J.; Wszelaczyńska, E.; Pobereżny, J.; Przewodowska, A.; Przewodowski, W.; Milczarek, D.; et al. Antioxidant properties of potato (Solanum tuberosum L.) as a consequence of genetic potential and growing conditions. PLoS ONE 2019, 14, e0222976. [Google Scholar] [CrossRef] [PubMed]
  14. Samaniego, I.; Espín, S.; Cuesta, X.; Arias, V.; Rubio, A.; Llerena, W.; Angós, I.; Carrillo, W. Analysis of Environmental Conditions Effect in the Phytochemical Composition of Potato (Solanum tuberosum) Cultivars. Plants 2020, 9, 815. [Google Scholar] [CrossRef] [PubMed]
  15. Hamouz, K.; Čepl, J.; Dvorak, P. Influence of environmental conditions on the quality of potato tubers. Hortic. Sci. 2005, 32, 89–95. [Google Scholar] [CrossRef]
  16. Haynes, K.G.; Clevidence, B.A.; Rao, D.; Vinyard, B.T.; White, J.M. Genotype × Environment Interactions for Potato Tuber Carotenoid Content. J. Am. Soc. Hortic. Sci. 2010, 135, 250–258. [Google Scholar] [CrossRef]
  17. Escuredo, O.; Seijo-Rodriguez, A.; Rodriguez-Flores, M.-S.; Miguez, M.; Seijo, M.-C. Influence of weather conditions on the physicochemical characteristics of potato tubers. Influence of weather conditions on the physicochemical characteristics of potato tubers. Plant Soil Environ. 2018, 64, 317–323. [Google Scholar] [CrossRef]
  18. Leonel, M.; Lopes do Carmo, E.; Fernandes, A.M.; Soratto, R.P.; Eburneo, J.A.M.; Garcia, E.L.; Rodrigues dos Santos, T.P. Chemical composition of potato tubers: the effect of cultivars and growth conditions. J. Food Sci. Technol. 2017, 54, 2372–2378. [Google Scholar] [CrossRef]
  19. Pinhero, R.G.; Tsao, R.; Liu, Q.; Sullivan, J.A.; Bizimungu, D.; Yada, R.Y. Protein and Phenolic Contents and Antioxidant Activities of 14 Early Maturing Potatoes as Affected by Processing. American Journal of Plant Sciences 2016, 7, 69–81. [Google Scholar] [CrossRef]
  20. Ermakov, A.I. Methods of biochemical investigation of plants. Leningrad 1987. (In Russian).
  21. State Standard of the Russian Federation GOST 8756.13-87. 2010. Fruit and vegetable products. Methods for determination of sugars, pp. 11 (In Russian).
  22. State Standard of the Russian Federation GOST ISO 6493-2015. 2015. Animal feed. Determination of starch content. Polarimetric method. ISO 6493:2000, UT, pp. 14 (In Russian).
  23. Sumanta, N.; Haque, C.I.; Nishika, J.; Suprakash, R. Spectrophotometric analysis of chlorophylls and carotenoids from commonly grown fern species by using various extracting solvent. Research Journal of Chemical Sciences 2014, 4, 63–69. [Google Scholar]
  24. State Standard of the Russian Federation GOST 32709-2014. 2014. Juice products. Methods for the determination of anthocyanins, pp. 20 (In Russian).
  25. Singleton, V.L.; Rossi, J.A. Colorimetry of Total Phenolics with Phosphomolybdic-Phosphotungstic Acid Reagent. American Journal of Enology and Viticulture 1965, 16, 144–158. [Google Scholar] [CrossRef]
  26. Augusto, T.R.; Scheuermann Salinas, E.S.; Alencar, S.M.; D´arce, M.B.; Costa de Camargo, A.; Vieira, T.S. Phenolic compounds and antioxidant activity of hydroalcoholic extracts of wild and cultivated murtilla (Ugni molinae Turcz). Food Science and Technology 2014, 34, 667–673. [Google Scholar] [CrossRef]
  27. Chen, L.-Y.; Cheng, C.-W.; Liang, J.-Y. Effect of esterification condensation on the Folin-Ciocalteu methodfor the quantitative measurement of total phenols. Food Chemistry 2015, 170, 10–15. [Google Scholar] [CrossRef] [PubMed]
  28. Afshar, F.H.; Delazar, A.; Nazemiyeh, H.; Esnaashari, S.; Moghadam, S.B. Comparison of the Total Phenol, Flavonoid Contents and Antioxidant Activity of Methanolic of Artemisia spicigera and A. splendens Growing in Iran. Pharmaceutical Seinces 2012, 18, 165–170. [Google Scholar]
  29. Gosstandart—Potatoes. Available online: http://gosstandart.info/produkty-pitaniya/ovoshchi/kartofel (accessed on 24 February 2023). (In Russian).
  30. Prokoshev, S.M. Potato Biochemistry. Publishing House of the USSR Academy of Sciences, 1947. pp. 10–45. (In Russian)
  31. Pavlova, M.N. Evaluation of consumer properties and suitability for industrial processing of tubers of the regionally adapted and promising potato varieties cultivated in the Ryazan region. Collection of scientific works of young scientists of the Ryazan State Agricultural Academy. Ryazan 2006. pp. 299–304. (In Russian)
  32. Aleksashina, S.A.; Makarova, N.V. Comparative study of chemical composition and antioxidant activity of tubers of potato cultivars. Chemistry of Plant Raw Materials 2022, 221–231. (In Russian) [Google Scholar] [CrossRef]
  33. Mazur, A.M. Machines and equipment for potato processing. Monograph. M. 1999, 372p. (In Russian)
  34. Platonova, O.V. Assessment of the quality of various varieties of potatoes supplied for the needs of the penal system. Collection of articles of the 4th International Conference. 2022, CCI-15:199-203. (In Russian)
  35. Sharova, Ye.I. Antioksidanty rasteniy: ucheb. posobiye. (Plant antioxidants: tutorial). St. Petersburg, 2016, 140p. (In Russian)
  36. Platonova, O.V.; Savina, O.V. Workshop on technochemical control of agricultural raw materials and processed products. Study guide. Ryazan 2010, 90. (In Russian)
  37. Leontiev, V.N.; Elkab, H.M.; Elkhedmi, A.E. Food spoilage: types, causes and methods of prevention. Proceedings of BSU 2013, Volume 8, part 1: 125–130. (In Russian)
  38. Lewis, C.E. Anthocyanins and Related Compounds in Potatoes (Solanum tuberosum L.). A thesis submitted for the degree of Doctor of Philosophy in Biochemistry, University of Canterbury, 1996; p. 392. [Google Scholar]
  39. Burton, W.G. The Potato, 3rd edition; Longman Scientific and Technical: Harlow, Essex, UK, 1989. [Google Scholar]
  40. Brown, C.R.; Edwards, C.G.; Yang, C.-P.; Dean, B.B. Orange flesh trait in potato: inheritance and carotenoid content. Journal of the American Society for Horticultural Science 1993, 118, 145–150. [Google Scholar] [CrossRef]
  41. Kim, J.S.Y.S.; Bae, H.; Nam, S.-Y. Antioxidant and phenolic contents in potatoes (Solanum tuberosum L.) and micropropagated potatoes. Appl. Biol. Chem. 2019, 62, 17. [Google Scholar] [CrossRef]
  42. Gins, E.M.; Moskalev, E.A.; Polivanova, O.B.; Mityushkin, A.V.; Simakov, E.A. Antioxidant contents in potato cultivars from the collection of Russian Potato Research Center. RUDN Journal of Agronomy and Animal Industries 2020, 15, 242–252. [Google Scholar] [CrossRef]
  43. Roginsky, V.; Lissi, E. Review of methods to determine chain-breaking antioxidant activity in food. Food Chem. 2005, 92, 235–254. [Google Scholar] [CrossRef]
  44. Polivanova, O.B.; Gins, E.M. Antioxidant activity of potatoes (Solanum tuberosum L.) and anthocyanin content, its biosynthesis and physiological role. Vegetable crops of Russia 2019, 84–90. (In Russian) [Google Scholar] [CrossRef]
  45. Zhevora, S.V.; Starovoitov, V.I.; Yashin, A.Ya.; Manokhina, A.A.; Yashin, Ya.I. Studies of the chemical composition and antioxidant activity of potatoes. Science in Central Russia 2021, 80–87. (In Russian) [Google Scholar] [CrossRef]
  46. Makarova, N.V.; Zyuzina, A.V. Research of antioxidant activity by the DPPH method of semi-finished products in juice production. Technique and Technology of food Production 2011, 1–3. (In Russian) [Google Scholar]
  47. Golovko, T.K.; Silina, E.V.; Lashmanova, E.A.; Kozlovskaya, A.V. Reactive oxygen species and antioxidants in living systems: an integrating review. Theoretical and Applied Ecology 2022, 1, 17–26. (In Russian) [Google Scholar] [CrossRef]
  48. Simakov, E.A.; Mityushkin, A.V.; Zhuravlev, A.A.; Cherenkova, L.A.; Molyavko, A.A.; Marukhlenko, A.V.; Borisova, N.P. For the production of dry puree. Potatoes and Vegetables 2017, 11, 27–28. (In Russian) [Google Scholar]
  49. Goldstein, V.G.; Degtyarev, V.A.; Kovalenok, V.A.; Semenova, A.V.; Morozova, A.A. Determination of suitability of different potato varieties (Solanum tuberosum L.) with white and pigmented pulp for processing into potato products. Agricultural Science Euro-North-East 2022, 23, 98–109. (In Russian) [Google Scholar] [CrossRef]
  50. Shabanov, A.E.; Kiselev, A.I. Agro-ecological assessment of new generation potato varieties in the conditions of the Central Region of Russia. 2021, 29–33. (In Russian) [Google Scholar] [CrossRef]
  51. Polivanova, O.B.; Gins, E.M.; Moskalev, E.A.; Voinova, M.S.; Koroleva, A.K.; Semenov, A.Z.; Sivolapova, A.B.; Ivanova, A.S.; Kazakov, O.G.; Simakov, E.A.; et al. Quality Evaluation, Phytochemical Characteristics and Estimation of Beta-Carotene Hydroxylase 2 (Chy2) Alleles of Interspecific Potato Hybrids. Agronomy 2021, 11, 1619. [Google Scholar] [CrossRef]
  52. Tatarowska, B.; Milczarek, D.; Wszelaczyńska, E.; Pobereżny, J.; Keutgen, N.; Keutgen, A.J.; Flis, B. Carotenoids Variability of Potato Tubers in Relation to Genotype, Growing Location and Year. American Journal of Potato Research 2019, 96, 493–504. [Google Scholar] [CrossRef]
  53. Makhanko, V.L.; Piskun, G.I.; Goncharova, N.N.; Nezakonova, L.V.; Gunko, Yu.V.; Kozlova, L.N.; Nikonova, O.B. New potato varieties with increased biological value. Potato growing: collection of scientific tr. Minsk. 2014, 22, 5–12. (In Russian) [Google Scholar]
Figure 1. Sugars content in potato tubers after harvesting (ph) and after storage (ps), in % of FW.
Figure 1. Sugars content in potato tubers after harvesting (ph) and after storage (ps), in % of FW.
Preprints 101622 g001
Figure 2. Protein content (%) in potato tubers in different years of cultivation: after harvest and after storage. Cultivar numbering: 1 – ‘Barin’, 2 – ‘Grand’, 3 – ‘Kalibr’, 4 – ‘Krasa Meŝery’, 5 – ‘Krasavchik’, 6 – ‘Kumach’, 7 – ‘Narymskaya nochka’, 8 – ‘Plamya’, 9 – ‘Siverskij’, 10 – ‘Sokur’, 11 – ‘Sudarynya’, 12 – ‘Fioletovyj’, 13 – ‘Eliksred’, and 14 – ‘Nayada’.
Figure 2. Protein content (%) in potato tubers in different years of cultivation: after harvest and after storage. Cultivar numbering: 1 – ‘Barin’, 2 – ‘Grand’, 3 – ‘Kalibr’, 4 – ‘Krasa Meŝery’, 5 – ‘Krasavchik’, 6 – ‘Kumach’, 7 – ‘Narymskaya nochka’, 8 – ‘Plamya’, 9 – ‘Siverskij’, 10 – ‘Sokur’, 11 – ‘Sudarynya’, 12 – ‘Fioletovyj’, 13 – ‘Eliksred’, and 14 – ‘Nayada’.
Preprints 101622 g002
Figure 4. Potato cultivars from the VIR collection with different color of the skin and flesh of tubers.
Figure 4. Potato cultivars from the VIR collection with different color of the skin and flesh of tubers.
Preprints 101622 g004
Table 1. Characteristics of the 11 potato cultivars used in this study.
Table 1. Characteristics of the 11 potato cultivars used in this study.
No. VIR Catalogue No. Cultivar name Maturity group Skin/flesh color Breeding centre Year of inclusion in the State Register Region of cultivation
1 25197 ‘Barin’ mid-season yellow/white A.G. Lorkh Potato Research Centre 2014 3
2 25435 ‘Grand’ mid-season yellow/yellow 2016 2,3,5,10
3 25519 ‘Kalibr’ mid-early pink/yellow 2022 4
4 25507 ‘Krasa Meŝery’ mid-season yellow/yellow 2020 3,5,12
5 25210 ‘Krasavchik’ mid-early red/pink 2009 5
6 25503 ‘Kumach’ mid-season red/white 2019 3
7 25525 ‘Narymskaya nochka’ no data purple/purple Siberian Research Institute of Agriculture and Peat not included
8 25502 ‘Plamya’ mid-season red/white A.G. Lorkh Potato Research Centre 2020 3,5
9 25500 ‘Siverskij’ mid-season yellow/yellow not included
10 25517 ‘Sokur’ mid-season yellow/yellow Institute of Cytology and Genetics 2021 10
11 12206 ‘Sudarynya’ mid-early yellow/yellow A.G. Lorkh Potato Research Centre 2009 1,2,3,7.9
12 25220 ‘Fioletovyj’ mid-late purple/purple 2014 2,3
13 25509 ‘Eliksred’ mid-early pink/pink not included
14 12157 ‘Nayada’ mid-season yellow/white LiGa Breeding Co. LLC 2004 1,2,3,4,5,9, 12
Regions: 1 – Northern, 2 – Northwestern, 3 – Central, 4 – Volga-Vyatka, 5 – Central Black Soil, 7 – Middle Volga, 9 – Ural, 10 – West Siberian, 12 – Far East.
Table 2. Meteorological conditions of potato growth and development in the years of research.
Table 2. Meteorological conditions of potato growth and development in the years of research.
Year Air temperature, average (°С) Precipitation, (mm)
June July August June July August
2019 17.7 15.8 15.4 33.9 58.0 24.9
2020 17.9 16.1 15.7 66.8 90.6 97.2
2021 19.7 21.3 16.3 10.7 5.7 122.5
Average perennial 16.3 19.1 17.0 65.9 77.7 74.5
Table 3. Yield of potato cultivars (mean for 2019-2021).
Table 3. Yield of potato cultivars (mean for 2019-2021).
Cultivar Yield (g\plant) per year
2019 2020 2021
Barin 915*±46**bcdefg 844±83defgh 515±185ghij
Grand 1072±149bcd 1141±195ab 805±119cdef
Kalibr 1153±106b 1074±87abcd 914±193abcd
Krasa Mesery 1075±35bcd 1117±240abc 910±166abcde
Krasavchik 813±141efghi 751±90fghi 492±192hij
Kumach 1398±92a 1140±37ab 926±31abcd
Narymskaya nochka 725±97ghij 884±101cdefg 666±141efgh
Plamya 857±73defgh 1013±171abcde 848±275bcdef
Siverskij 905±195cdefgh 1133±229ab 855±243bcde
Sokur 870±60defgh 996±124abcdef 607±77fghi
Sudarynya 1011±218bcde 976±234abcdef 958±235abcd
Fioletovyj 467±39j 539±56i 366±76ij
Eliksred 1064±34bcd 1018±196abcde 1019±57abc
Nayada 896±201bcdefg 302±61j
* - mean value; ** - standard deviation, means followed by the same letter(s) within the column are not significantly different at p=0.05.
Table 4. Characteristics of potato cultivars according to the main biochemical parameters of tubers (mean for 2019-2021).
Table 4. Characteristics of potato cultivars according to the main biochemical parameters of tubers (mean for 2019-2021).
Cultivar Dry matter, % Starch, % Total sugars, % Reducing sugar, % Protein, % Vitamin C, mg/100 g Carotenoids, mg/100 g Anthocyanins, mg/100 g
ph ps ph ps ph ps ph ps ph ps ph ps ph ps ph ps
‘Barin’ 22.8bc 21.7cde 14.9bc 13.2 0.36f 1.41bc 0.24e 1.05bc 2.01a 1.91abc 15.3 12.9 0.22 0.37 3.6d 2.5d
‘Grand’ 23.7ab 23.5ab 16.3ab 14.6 0.41def 1.33bc 0.28e 0.94bcd 1.92ab 1.99ab 13.9 12.7 0.64 0.69 11.9cd 4.7d
‘Kalibr’ 21.1de 20.7def 14.8c 13.3 0.43def 1.39bc 0.32de 0.94bcd 1.67c 1.69c 12.9 13.9 0.56 0.65 7.5d 3.8d
‘Krasa Meŝery’ 22.9bc 22.2bcd 15.8abc 14.2 0.40def 1.27cd 0.24e 0.84bcde 1.86abc 1.81bc 13.2 13.8 0.57 0.56 3.0d 2.1d
‘Krasavchik’ 23.3abс 23.2ab 15.1bc 13.7 0.54cd 1.66ab 0.46bcd 1.07b 2.04a 2.04ab 16.1 14.3 0.31 0.37 8.4d 4.9d
‘Kumach’ 18.9f 19.7f 12.4d 11.9 0.74ab 1.35bc 0.58ab 1.07b 1.31d 1.30d 11.9 12.0 0.27 0.38 16.0cd 9.3d
‘Narymskaya nochka’ 22.1cd 21.5cde 15.3abc 13.3 0.52de 1.57bc 0.30e 1.13ab 1.75bc 1.72c 15.7 16.3 0.47 0.50 49.5b 77.3a
‘Plamya’ 20.9de 20.6ef 14.4c 13.7 0.40def 0.71e 0.24e 0.47e 1.85anc 1.86abc 12.3 12.3 0.34 0.55 13.7cd 6.6d
‘Siverskij’ 21.3d 21.5cde 14.6c 13.3 0.81a 1.96a 0.73a 1.52a 1.66c 1.68c 14.7 12.9 0.50 0.59 3.2d 2.5d
‘Sokur’ 24.3ab 24.3a 16.7a 15.9 0.33f 0.85e 0.19e 0.61de 2.07a 2.08a 13.2 13.6 0.46 0.47 15.1cd 9.8d
‘Sudarynya’ 21.2d 21.3cde 14.5c 13.4 0.68abc 1.52bc 0.54bc 1.12ab 1.69bc 1.69c 14.6 13.9 0.38 0.52 3.8d 2.8d
‘Fioletovyj’ 19.7ef 19.7f 12.7d 11.8 0.49def 1.28cd 0.30e 0.88bcde 1.99a 1.99ab 16.3 15.4 0.47 0.57 102.0a 103.9a
‘Eliksred’ 22.9abc 22.4bc 15.9abc 14.6 0.37ef 0.92de 0.23e 0.63cde 1.86abc 1.91abc 12.5 14.4 0.51 0.62 36.2bc 34.8c
Nayada, St 24.7a 24.7a 16.1abc 16.3 0.55bcd 1.39bc 0.36cde 0.95bcd 2.02a 1.83abc 16.6 16.9 0.16 0.39 2.6d 2.2d
ph – post-harvest analysis, ps – post-storage analysis, means followed by the same letter(s) within the column are not significantly different at p=0.05.
Table 5. Dry matter content (%) in tubers of Russian potato cultivars.
Table 5. Dry matter content (%) in tubers of Russian potato cultivars.
Cultivar ph ps
2019 2020 2021 2020 2021 2022
‘Barin’ 24.48*±1.20** 23.80±2.34 20.23±1.02 23.12±0.26 22.27±1.04 19.59±1.96
22.84±2.43bc 21.66±1.95cde
‘Grand’ 24.72±0.69 23.05±0.64 23.35±0.51 24.00±0.41 22.72±1.08 23.85±0.40
23.71±0.94ab 23.52±0.86ab
‘Kalibr’ 20.59±1.21 21.49±0.25 21.23±1.62 20.76±1.25 21.08±0.58 20.40±1.04
21.10±1.09de 20.75±0.91def
‘Krasa Meŝery’ 22.92±4.20 22.52±1.56 23.15±0.60 22.20±2.74 23.45±0.58 20.83±0.43
22.86±2.28bc 22.16±1.82bcd
‘Krasavchik’ 23.97±0.16 23.20±0.66 22.76±0.99 24.33±0.37 22.60±0.60 22.83±0.52
23.31±0.80abc 23.25±0.92ab
‘Kumach’ 19.99±0.48 17.47±0.95 19.33±2.66 20.24±1.41 18.16±0.39 20.64±1.08
18.93±1.83f 19.68±1.47f
‘Narymskaya nochka’ 23.48±0.90 22.72±1.11 20.27±1.14 22.45±2.26 22.32±0.74 19.72±1.19
22.16±1.72cd 21.50±1.88cde
‘Plamya’ 22.69±0.95 19.86±1.24 20.39±0.36 21.83±2.00 20.33±0.79 19.75±1.04
20.98±1.53de 20.64±1.51ef
‘Siverskij’ 21.45±2.38 21.87±1.45 20.47±1.24 23.15±1.28 21.45±1.36 19.87±0.42
21.26±1.65d 21.49±1.72cde
‘Sokur’ 24.71±1.29 24.37±0.77 23.89±0.77 25.44±0.55 23.77±0.99 23.80±1.63
24.32±0.92ab 24.34±1.29a
‘Sudarynya’ 22.22±1.57 21.29±0.59 20.28±0.34 21.92±2.24 21.47±1.96 20.43±1.34
21.27±1.20d 21.27±1.76cde
‘Fioletovyj’ 20.04±0.95 19.76±1.98 19.19±0.99 20.25±0.88 18.83±1.93 19.93±0.61
19.66±1.26ef 19.67±1.28f
‘Eliksred’ 22.92±1.50 23.85±0.94 22.19±0.53 23.20±1.14 23.27±1.06 20.63±0.37
22.99±1.17abc 22.36±1.53bc
‘Nayada’ 26.32 25.48 22.24 25.08 27.28 21.76
24.68±2.15a 24.71±2.78a
Mean 22.02±2.14 21.79±2.03
Mean for the studied period 21.91±2.09
* - mean value; ** - standard deviation.
Table 6. Mean values of starch content in tubers.
Table 6. Mean values of starch content in tubers.
Cultivar Starch, % Percent of dry matter V, %
ph ps ph ps
‘Barin’ 14.87*±2.29**bc 13.25±2.21bc 65.11 61.17 16.65
‘Grand’ 16.35±1.15ab 14.56±1.25ab 68.96 61.90 9.60
‘Kalibr’ 14.77±1.10c 13.30±0.91bc 70.00 64.10 8.83
‘Krasa Meŝery’ 15.85±1.59abc 14.18±1.45abc 70.41 62.03 11.39
‘Krasavchik’ 15.11±1.50bc 13.74±1.53abc 64.82 59.10 11.27
‘Kumach’ 12.44±1.54d 11.90±1.51bc 65.72 60.47 12.38
‘Narymskaya nochka’ 15.32±1.82abc 13.32±1.72bc 69.13 61.95 13.98
‘Plamya’ 14.44±1.50c 13.74±1.63abc 68.83 66.57 11.08
‘Siverskij’ 14.56±1.65c 13.35±1.72bc 68.49 62.12 7.65
‘Sokur’ 16.71±1.48a 15.95±1.37ab 68.71 65.53 8.81
‘Sudarynya’ 14.55±1.17c 13.45±1.31bc 73.11 63.23 9.51
‘Fioletovyj’ 12.75±1.55d 11.79±1.21bc 64.85 59.94 11.71
‘Eliksred’ 15.89±2.04abc 14.64±1.40ab 69.12 65.47 11.88
‘Nayada’ (St.) 16.07±2.24abc 16.34±2.15a 65.11 66.13 12.14
Mean 14.92±1.94 13.70±1.83 67.60 62.73 13.84
14.31±1.98 65.31
*- mean value; ** - standard deviation.
Table 7. Mean values of carotenoids content (mg/100 g) in potato tubers.
Table 7. Mean values of carotenoids content (mg/100 g) in potato tubers.
Cultivar Carotenoids β-carotene
ph ps ph ps
‘Barin’ 0.223*±0.137**e 0.367±0.371 0.039±0.021 0.047±0.035
‘Grand’ 0.645±0.317a 0.696±0.317 0.087±0.032 0.082±0.027
‘Kalibr’ 0.564±0.234abc 0.648±0.290 0.079±0.018 0.076±0.026
‘Krasa Meŝery’ 0.574±0.407ab 0.564±0.267 0.086±0.037 0.069±0.022
‘Krasavchik’ 0.314±0.274cde 0.372±0.321 0.059±0.029 0.055±0.034
‘Kumach’ 0.271±0.168de 0.377±0.260 0.054±0.032 0.055±0.029
‘Narymskaya nochka’ 0.469±0.339abcde 0.503±0.312 0.087±0.054 0.073±0.027
‘Plamya’ 0.340±0.196bcde 0.546±0.622 0.057±0.025 0.074±0.056
‘Siverskij’ 0.506±0.183abcd 0.591±0.283 0.082±0.041 0.072±0.027
‘Sokur’ 0.466±0.301abcde 0.468±0.270 0.064±0.023 0.059±0.025
‘Sudarynya’ 0.381±0.192bcde 0.520±0.329 0.062±0.027 0.067±0.034
‘Fioletovyj’ 0.471±0.438abcde 0.567±0.343 0.084±0.086 0.075±0.027
‘Eliksred’ 0.515±0.271abcd 0.617±0.389 0.081±0.033 0.079±0.035
‘Nayada’ (St.) 0.157±0.179e 0.391±0.293 0.037±0.016 0.060±0.017
Mean 0.434±0.293 0.523±0.345 0.070±0.040 0.068±0.032
0.477±0.321 0.069±0.036
*- Mean value; ** - standard deviation, ph – post-harvest analysis, ps – post-storage analysis.
Table 9. ANOVA statistics of biochemical parameters of tubers assessed in 14 Russian potato cultivars.
Table 9. ANOVA statistics of biochemical parameters of tubers assessed in 14 Russian potato cultivars.
Biochemical parameter Post-harvest analysis Post-storage analysis
Cultivar factor Year factor Cultivar factor Year factor
F - Fisher’s test р-level Factor effect size* F - Fisher’s test р-level Factor effect size* F - Fisher’s test р-level Factor effect size* F - Fisher’s test р-level Factor effect size*
Dry matter, % F=12.01 р=0.000 0.53 F=11.59 р=0.01 0.08 F=12.03 р=0.000 0.49 F=17.84 р=0.000 0.11
Starch, % F=7.41 р=0.000 0.38 F=26.37 р=0.000 0.21 F=7.05 р=0.000 0.38 F=17.41 р=0.000 0.15
Protein, % F=10.76 р=0.000 0.43 F=34.87 р=0.000 0.21 F=10.83 р=0.000 0.39 F=42.68 р=0.000 0.24
Vitamin C, mg/100 g F=3.13 р=0.001 0.06 F=266.59 р=0.000 0.76 F=1.03 р=0.43 nd F=101.72 р=0.000 0.61
Total sugars, % F=7.53 р=0.000 0.45 F=0.95 р=0.39 nd F=11.66 р=0.000 0.43 F=41.92 р=0.000 0.24
Reducing sugars, % F=10.71 р=0.000 0.52 F=2.15 р=0.12 nd F=13.32 р=0.000 0.28 F=155.95 р=0.000 0.51
Total acidity, % F=0.73 р=0.73 nd F=14.72 р=0.000 0.22 F=0.95 р=0.49 nd F=200.363 р=0.000 0.77
Carotenoids, mg/100 g F=5.31 р=0.000 0.20 F=76.75 р=0.000 0.45 F=1.14 р=0.34 nd F=30.87 р=0.000 0.39
β-carotene F=1.39 р=0.82 nd F=0.02 р=0.98 nd F=0.84 р=0.61 nd F=2.88 p=0.06 nd
Anthocyanins, mg/100 g F=12.72 р=0.000 0.53 F=11.03 р=0.000 0.07 F=46.13 р=0.000 0.83 F=6.62 р=0.000 0.02
* nd not determined.
Disclaimer/Publisher’s Note: The statements, opinions and data contained in all publications are solely those of the individual author(s) and contributor(s) and not of MDPI and/or the editor(s). MDPI and/or the editor(s) disclaim responsibility for any injury to people or property resulting from any ideas, methods, instructions or products referred to in the content.
Copyright: This open access article is published under a Creative Commons CC BY 4.0 license, which permit the free download, distribution, and reuse, provided that the author and preprint are cited in any reuse.
Prerpints.org logo

Preprints.org is a free preprint server supported by MDPI in Basel, Switzerland.

Subscribe

Disclaimer

Terms of Use

Privacy Policy

Privacy Settings

© 2026 MDPI (Basel, Switzerland) unless otherwise stated