Submitted:
10 March 2024
Posted:
11 March 2024
You are already at the latest version
Abstract
Keywords:
1. Introduction
2. Materials and Methods
2.1. Material
2.2. Preparation of Samples
2.3. UV Irradiation
2.4. Gel Permeation Chromatography (GPC)
2.5. Differential Scanning Calorimetry (DSC)
2.5. NMR Spectrometry
2.6. FTIR Spectrometry
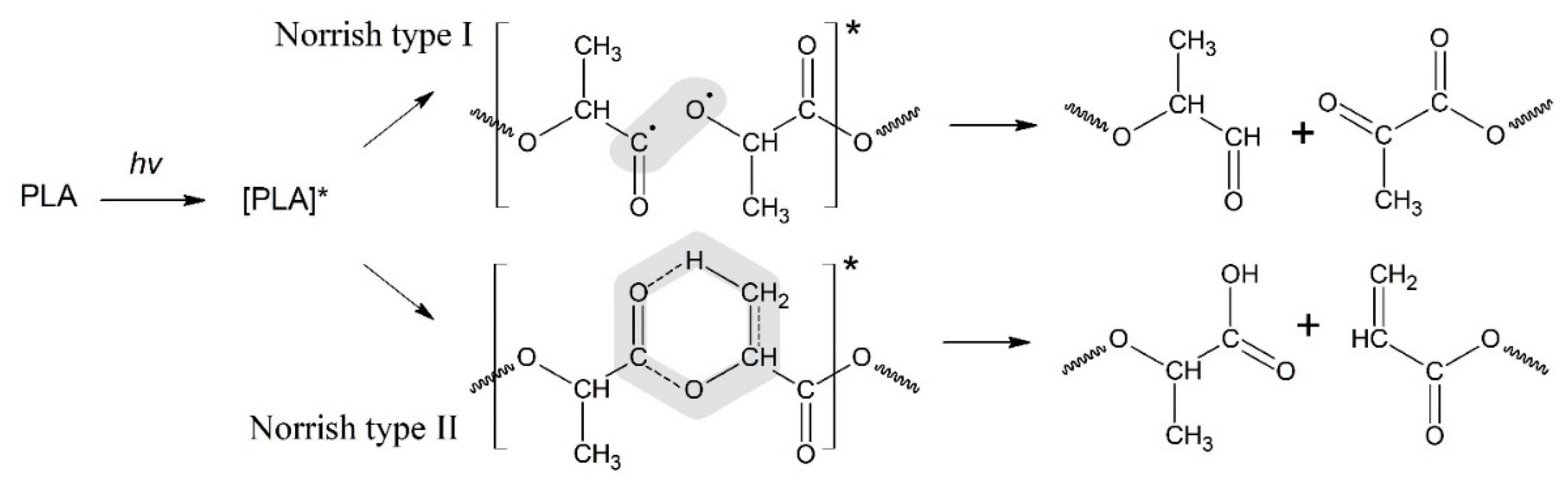
3. Results and Discussion
3.1. Gel Permeation Chromatography (GPC)
3.2. Kinetics of PLA Photodegradation
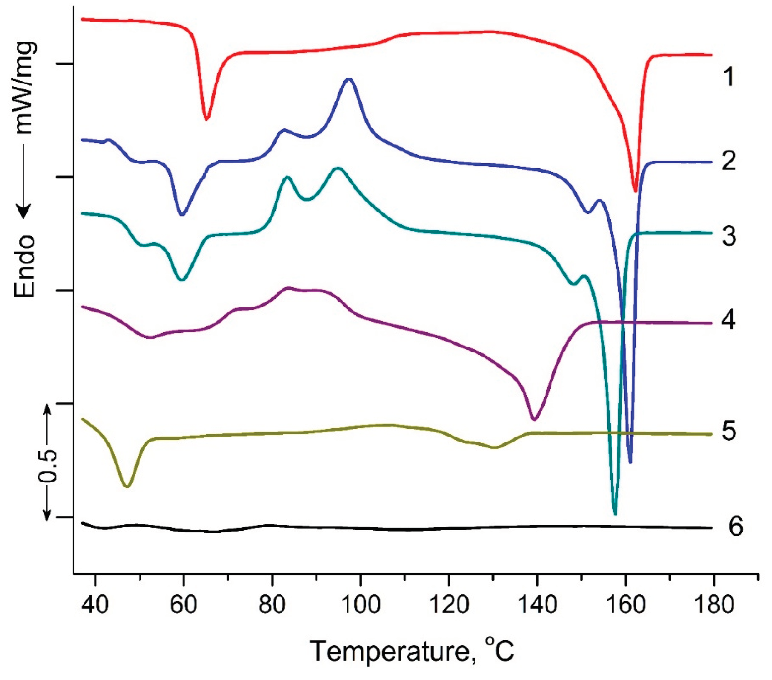
3.3. Differential Scanning Calorimetry (DSC)
3.4. NMR Analysis
3.5. FTIR Analysis
4. Conclusions
Supplementary Materials
Author Contributions
Funding
Institutional Review Board Statement
Data Availability Statement
Conflicts of Interest
References
- Marshall, D.; O’Dochartaigh, A.; Prothero, A.; Reynolds, O.; Secchi, E. Are you ready for the sustainable, biocircular economy? Business Horizons 2023, 66, 805–816. [Google Scholar] [CrossRef]
- Holden, N. M. A readiness level framework for sustainable circular bioeconomy. EFB Bioeconomy Journal 2022, 2, 100031. [Google Scholar] [CrossRef]
- Laycocka, B.; Nikolic, M.; Colwell, J.M.; Gauthier, E.; Halley, P.; Bottle, S.; George, G. Lifetime prediction of biodegradable polymers. Progress in Polymer Science 2017, 71, 144–189. [Google Scholar] [CrossRef]
- Kalidas, V.K.; Pavendhan, R.; Sudhakar, K.; Sumanth, T.P.; Sharvesh, R.A.; Santhosh, K.S.; Kumar, K.Y. Study of synthesis and analysis of bio-inspired polymers-review. Materials Today: Proceedings 2021, 44, Part–5. [Google Scholar] [CrossRef]
- Auras, R.; Loong-Tak, L.; Susan, E.M.; Selke, H.T. Poly(lactic acid): Synthesis, Structures, Properties, Processing, and Applications. John Wiley & Sons, Inc. 2010, 499 p. [CrossRef]
- Fahim, S.; Chbib, H.; Mahmoud, H.M. The synthesis, production & economic feasibility of manufacturing PLA from agricultural waste. Sustainable Chemistry and Pharmacy 2019, 12, 100142. [Google Scholar] [CrossRef]
- Khodaei, D.; Alvarez, C.; Mullen, A. M. Biodegradable Packaging Materials from Animal Processing Co-Products and Wastes: An Overview. Polymers (Basel) 2021, 13, 2561. [Google Scholar] [CrossRef] [PubMed]
- Zwaw, M. Recent advances in bio-medical implants; mechanical properties, surface modifications and applications. Eng. Res. Express 2022, 4, 032003. [Google Scholar] [CrossRef]
- Vlachopoulos, A.; Karlioti, G.; Balla, E.; Daniilidis, V.; Kalamas, N.; Stefanidou, M.; Bikiaris, N.; Christodoulou, E.; Koumentakou, I.; Karavas, E.; Bikiaris, D. Poly(Lactic Acid)-Based Microparticles for Drug Delivery Applications: An Overview of Recent Advances. Pharmaceutics 2022, 14, 359. [Google Scholar] [CrossRef]
- More, N.; Avhad, M.; Utekar, S.; More, A. Polylactic acid (PLA) membrane—significance, synthesis, and applications: a review. Polymer Bullet. 2023, 80, 1117–1153. [Google Scholar] [CrossRef]
- Harahap, H.; Julianti, E.; Safitri, A.; Jaafar, M. Smart Packaging Based on Polylactic Acid: The Effects of Antibacterial and Antioxidant Agents from Natural Extracts on Physical–Mechanical Properties, Colony Reduction, Perishable Food Shelf Life, and Future Prospective. Polymers 2023, 15, 4103. [Google Scholar] [CrossRef]
- Yates, M.R.; Barlow, C.Y. Life cycle assessments of biodegradable, commercial biopolymers—A critical review. Resources, Conservation and Recycling 2013, 78, 54–66. [Google Scholar] [CrossRef]
- Trivedi, A.K.; Gupta, M.K.; Singh, H. PLA based biocomposites for sustainable products: A review. Advanced Industrial and Engineering Polymer Research 2023, 6, 382–395. [Google Scholar] [CrossRef]
- Liu, Q.; Zhao, M.; Zhou, Y.; Yang, Q.; Shen, Y.; Gong, R.H.; Zhou, F.; Li, Y.; Deng, B. Polylactide single-polymer composites with a wide melt-processing window based on core-sheath PLA fiber. Materials and Design 2018, 139, 36–44. [Google Scholar] [CrossRef]
- Tianchi, C.; Jie, G.; Hao, X.; Jialu, Z.; Hu, N.; Liu, H. One-step fabrication of biodegradable superhydrophobic PLA fabric for continuous oil/water separation. Applied Surface Science 2022, 576, 151766. [Google Scholar] [CrossRef]
- Vink, E.T.H.; Glassner, D.A.; Kolstad, J.J.; Wooley, R.J.; O'Connor, R.P. The ecoprofiles for current and near-future NatureWorks® polylactide (PLA) production, Ind. Biotechnol. 2007, 58, 58–81. [Google Scholar] [CrossRef]
- Wang, W.; Ye, G.; Fan, D.; Lu, Y.; Shi, P.; Wang, X.; Bateer, B. Photo-oxidative resistance and adjustable degradation of poly-lactic acid (PLA) obtained by biomass addition and interfacial construction. Polymer Degradation and Stability 2021, 194, 109762. [Google Scholar] [CrossRef]
- Cao, Y.; Xu, P.; Lv, P.; Lemstra, P.J.; Cai, X.; Yang, W.; Dong, W.; Chen, M.; Liu, T.; Du, M.; Ma, P. Excellent UV resistance of polylactide by interfacial stereocomplexation with double-shell-structured TiO2 nanohybrids. ACS Appl. Mater. Interfaces 2020, 12, 49090–49100. [Google Scholar] [CrossRef] [PubMed]
- Rodriguez-Tobias, H.; Morales, G.; Maldonado-Textle, H.; Grande, D. Photo-degradation of electrospun composite mats based on poly(D,L-lactide) submicron fibers and zinc oxide nanoparticles. Polymer Degradation and Stability 2018, 152, 95–104. [Google Scholar] [CrossRef]
- Bocchini, S; Fukushima, K. ; Di Blasio, A.; Fina, A.; Frache, A.; Geobaldo, F. Polylactic Acid and Polylactic Acid-Based Nanocomposite Photooxidation. Biomacromolecules 2010, 11, 2919–2926. [CrossRef]
- Gardette, M.; Therias, S.; Gardette, J.-L.; Murariu, M.; Dubois, P. Photooxidation of polylactide/calcium sulphate composites. Polymer Degradation and Stability 2011, 96, 616–623. [Google Scholar] [CrossRef]
- Virag, A.D.; Toth, C.; Molnar, K. Photodegradation of polylactic acid: Characterisation of glassy and melt behaviour as a function of molecular weight. International Journal of Biological Macromolecules 2023, 252, 126336. [Google Scholar] [CrossRef] [PubMed]
- Olewnik-Kruszkowska, E.; Koter, I.; Skopinska-Wisniewska, J.; Richert, J. Degradation of polylactide composites under UV irradiation at 254 nm. Journal of Photochemistry and Photobiology A: Chemistry 2015, 311, 144–153. [Google Scholar] [CrossRef]
- Andersen, B.M.; Banrud, H.; Boe, E.; Bjordal, O.; Drangsholt, F. Comparison of UV C light and Chemicals for Disinfection of surfaces in hospital isolation units. Infect. Control Hosp. Epidemiol. 2006, 27, 729–734. [Google Scholar] [CrossRef] [PubMed]
- Litauszki, K.; Kovacs, Z.; Meszaros, L.; Kmetty, A. Accelerated photodegradation of poly(lactic acid) with weathering test chamber and laser exposure – A comparative study. Polymer Testing 2019, 76, 411–419. [Google Scholar] [CrossRef]
- Limsukon, W.; Rubino, M.; Rabnawaz, M.; Lim, L.-T.; Auras, R. Hydrolytic degradation of poly(lactic acid): Unraveling correlations between temperature and the three phase structures. Polymer Degradation and Stability 2023, 217, 110537. [Google Scholar] [CrossRef]
- Bao, Q.; Zhang, Z.; Luo, H.; Tao, X. Evaluating and Modeling the Degradation of PLA/PHB Fabrics in Marine Water. Polymers 2023, 15, 82. [Google Scholar] [CrossRef]
- Rogovina, S.Z; Aleksanyan, K.V.; Kosarev, A.A.; Ivanushkina, N.E.; Prut, E.V.; Berlin, A.A. Biodegradable Polymer Composited Based on Polylactide and Cellulose. Polym. Sci. B 2016, 58, 38–46. [Google Scholar] [CrossRef]
- Rogovina, S.; Prut, E.; Aleksanyan, K.; Krashininnikov, V.; Perepelitsyna, E.; Shaskin, D.; Berlin, A. Сompositions based on starch and Polylactide. Polym. Sci. B 2019, 61, 334–340. [Google Scholar] [CrossRef]
- Ikada, E. Photo- and bio-degradable polyesters. Photodegradation behaviors of aliphatic polyesters. J. Photopolym. Sci. Technol., 1997, 10, 265–270. [Google Scholar] [CrossRef]
- Ikada, Е.; Ashida, М. Promotion of photodegradation of polymers for plastic waste treatment. Journal of Photopolymer Science and Technology 1991, 4, 247–254. [Google Scholar] [CrossRef]
- Rizzarelli, P.; Piredda, G.; La Carta, S.; Mirabella, E.F.; Valenti, G.; Bernet, R.; Impallomen, G. Characterization and laser-induced degradation of a medical grade polylactide. Polymer Degradation and Stability 2019, 169, 108991. [Google Scholar] [CrossRef]
- Belyi, V.A.; Kuzivanov, I.M.; Fedorova, I.V.; Shumova, O.A.; Tropnikov, E.M.; Istomina, E.I.; Chukicheva, I.Y.; Kuchin, A.V. Tailoring Photoprotection of Polylactide with New Isobornyl Derivatives of Phenol and Aniline. Polymers 2023, 15, 2141. [Google Scholar] [CrossRef]
- Tsuji, H.; Echizen, Y.; Nishimura, Y. Photodegradation of biodegradable polyesters: A comprehensive study on poly (l-lactide) and poly(l-caprolactone). Polymer Degradation and Stability 2006, 91, 1128–1137. [Google Scholar] [CrossRef]
- Fischer, E.; Sterzel, H.; Wegner, G. Investigation of the structure of solution grown crystals of lactide copolymers by means of chemical reactions. Colloid. Polym. Sci. 1973, 521, 980–990. [Google Scholar] [CrossRef]
- Fraser, R.D.; Suzuki, E. Resolution of overlapping bands. Functions for simulating band shapes Analytical Chem. 1969, 41, 37–39. [Google Scholar] [CrossRef]
- Alexeeva, O.; Olkhov, A.; Konstantinova, M.; Lomakin, S.; Podmasterev, V.; Siracusa, V.; Iordanskii, A. Improvement of the Structure and Physicochemical Properties of Polylactic Acid Films by Addition of Glycero-(9,10-trioxolane)-Trialeate. Polymers 2022, 14, 3478. [Google Scholar] [CrossRef]
- Opfermann, J. Rechentechnik/Datenverarbeitung 1985, 22, 26–27.
- Araujo, S.; Sainlaud, C.; Delpouve, N.; Richaud, E.; Delbreilh, L.; Dargent, E. Segmental Relaxation Dynamics in Amorphous Polylactide Exposed to UV Light. Macromol. Chem. Phys. 2022, 223, 2200085. [Google Scholar] [CrossRef]
- Copinet, A.; Bertrand, C.; Govindin, S.; Coma, V.; Couturier, Y. Effects of ultraviolet light (315 nm), temperature and relative humidity on the degradation of polylactic acid plastic films. Chemosphere 2004, 55, 763–773. [Google Scholar] [CrossRef]
- Kister, G.; Cassanas, G.; Vert, M. Effects of morphology, conformation and configuration on the IR and Raman spectra of various poly(lactic acid)s. Polymer 1998, 39, 267–273. [Google Scholar] [CrossRef]
- Yuniarto, K.; Purwanto, Y.A.; Purwanto, S.; Welt, B.A.; Purwadaria, H.K.; Sunarti, T.C. Infrared and Raman studies on polylactide acid and polyethylene glycol-400 blend. In AIP Conference Proceedings; AIP Publishing LLC: Melville, NY, USA, 2016, 1725, 020101. [Google Scholar] [CrossRef]
- Meaurio, E. , Lopez-Rodriguez, N., Sarasua, J. R. Infrared Spectrum of Poly(l-lactide): Application to Crystallinity Studies. Macromolecules 2006, 39, 9291–9301. [Google Scholar] [CrossRef]
- Rogovina, S.; Lomakin, S.; Usachev, S.; Yakhina, A.; Zhorina, L.; Berlin, A. Thermal Behavior of Biodegradable Compositions of Polylactide and Poly(3-hydroxybutyrate) with Chitosan and the Effect of UV Radiation on Their Structure. Appl. Sci. 2023, 13, 3920. [Google Scholar] [CrossRef]
- Yasuda, N.; Tsukegi, T.; Shirai, Y.; Nishida, H. Characteristic Chain-End Racemization Behavior during Photolysis of Poly(L-lactic acid). Biomacromolecules 2011, 12, 3299–3304. [Google Scholar] [CrossRef] [PubMed]










| UV irradiation time for PLA films (h) | Mw/ Mw* | PD | Percentage of main fractions (Mw and Mw*) |
|---|---|---|---|
| 0 | 132700 | 2.4 | 100 |
| 2 | 46770 | 3.3 | 100 |
| 5 | 34670 | 2.3 | 100 |
| 24 | 12590/120220* | 2.1 | 83.2/16.8* |
| 144 | 2818/48980* | 1.9 | 76/24* |
| Sample | Tg (oC) | Tr (oC) | Tcc (oC) | Tm (oC) | ΔHcc (J/g) | ΔHm (J/g) | χ (%) |
|---|---|---|---|---|---|---|---|
| PLA | 63.5 | 65.1 | n/a | 162.0 − n/a | n/a | -19.1 | 20.4 |
| PLA UV irradiated for 2 hours | 57.9 | 59.7 | 97.3 – 82.9* | 161.0 − 154.2* | 21.2 | -37.5 | 17.5 |
| PLA UV irradiated for 5 hours | 57.3 | 59.6 | 94.7 − 83.1* | 157.3 − 148.3* | 28.3 | -41.6 | 14.2 |
| PLA UV irradiated for 24 hours | 49.4 | 54.2 | 92.1 − 83.5* | 139.3 − n/a | 11.0 | -19.4 | 8.9 |
| PLA UV irradiated for 48 hours | 45.0 | 47.5 | n/a | 130.5 − 129.3* | n/a | -4.8 | 5.1 |
| PLA UV irradiated for 144 hours | 35.6 | n/a | n/a | n/a | n/a | n/a | − |
| Wavenumber (cm-1) | Spectral assignment | Literature |
| 1454 | CH3 asymmetric oscillatory mode | [41,42] |
| 1410 | This band appears as a result of UV irradiation (OC-OH) | |
| 1382 | CH3 symmetric strain vibration | [41] |
| 1361 | CH deformation and asymmetric bands | [42] |
| 1269 | mixed band; CH bending vibrations and C-CO-C stretching asymmetric vibrations | [41,43] |
| 1211 - 1184 | asymmetric vibrations of the C-CO-O group and bending vibrations of CH3 | [41] |
| 1130 | CH3 asymmetric rocking vibration | [41] |
| 1087 | C-O-C symmetric vibrations | [41] |
| 1047 | C-CH3 stretching vibrations | [41] |
| Deconvolution results obtained by regression analysis procedure | STATISTICS | Peak Intensity at 1724 (cm-1) |
![]() |
#Correlation coefficient: 0.994785 #Rel.precision: 0.001000 #t-critical(0.95;141): 1.968 #Durbin-Watson Value: 0.102 |
0.041 |
![]() |
#Correlation coefficient: 0.993925 #Rel.precision: 0.001000 #t-critical(0.95;143): 1.967 #Durbin-Watson Value: 0.084 |
0.048 |
![]() |
#Correlation coefficient: 0.993082 #Rel.precision: 0.001000 #t-critical(0.95;142): 1.968 #Durbin-Watson Value: 0.078 |
0.055 |
![]() |
#Correlation coefficient: 0.993316 #Rel.precision: 0.001000 #t-critical(0.95;142): 1.968 #Durbin-Watson Value: 0.066 |
0.093 |
![]() |
#Correlation coefficient: 0.993947 #Rel.precision: 0.001000 #t-critical(0.95;139): 1.968 #Durbin-Watson Value: 0.032 |
0.210 |
Disclaimer/Publisher’s Note: The statements, opinions and data contained in all publications are solely those of the individual author(s) and contributor(s) and not of MDPI and/or the editor(s). MDPI and/or the editor(s) disclaim responsibility for any injury to people or property resulting from any ideas, methods, instructions or products referred to in the content. |
© 2024 by the authors. Licensee MDPI, Basel, Switzerland. This article is an open access article distributed under the terms and conditions of the Creative Commons Attribution (CC BY) license (http://creativecommons.org/licenses/by/4.0/).




