Submitted:
25 February 2025
Posted:
26 February 2025
You are already at the latest version
Abstract
Keywords:
1. Introduction
2. Materials and Methods
2.1. Lignin Fractions and Nanocellulose: Production and Tested Concentrations
2.1. Cell Culture
2.2. Phototoxicity Evaluation
2.3. Determination of Photoprotection Effect by Measuring Intracellular Reactive Oxygen Species (ROS)
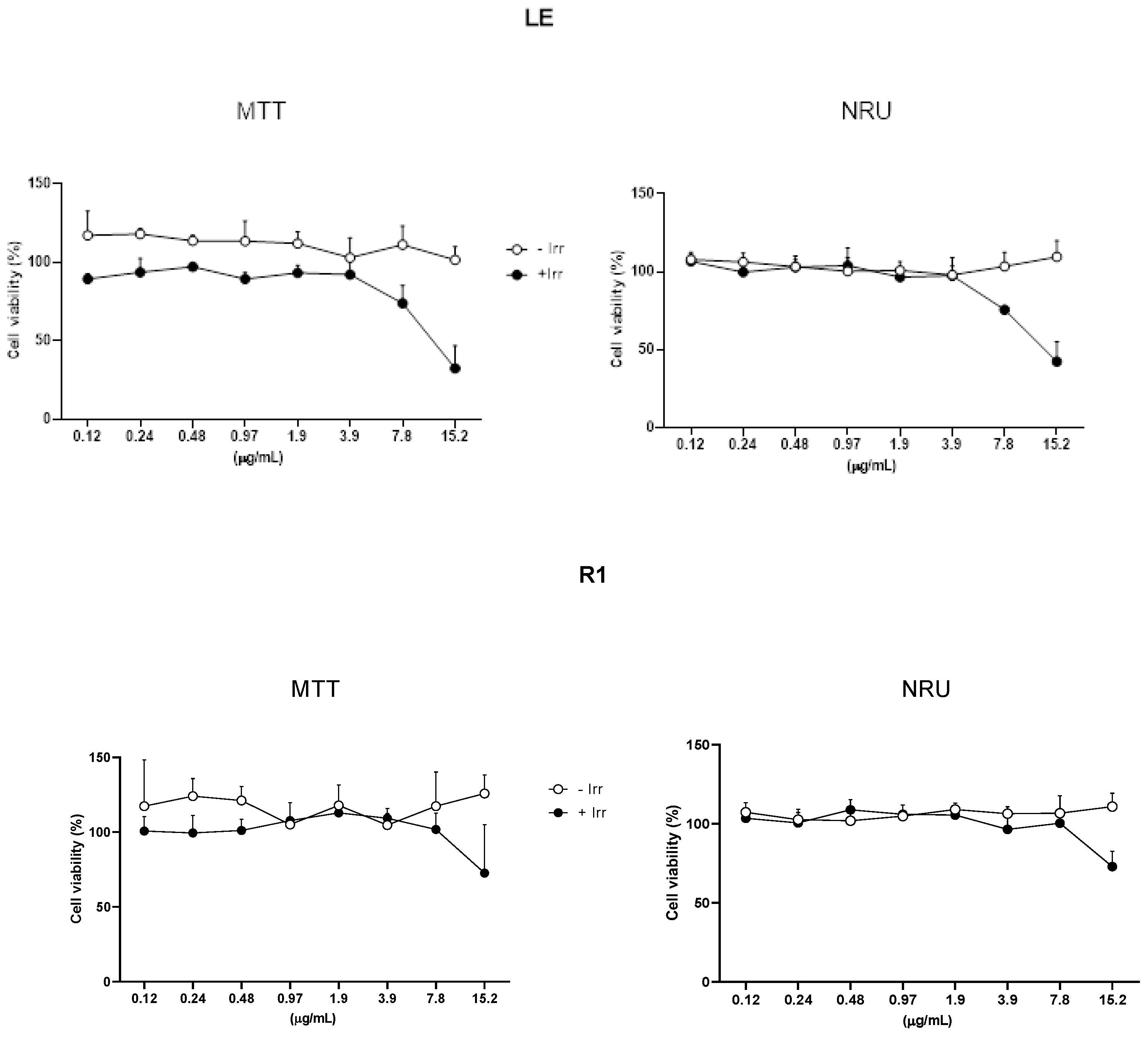
3. Results
3.1. Phototoxicity Evaluation
3.2. Evaluation of the Photoprotection Effect Measured by ROS Production
4. Discussion
5. Conclusions
Supplementary Materials
Funding
Acknowledgments
Conflicts of Interest
Abbreviations
| UV | Ultraviolet irradiation |
| CNF | Cellulose nanofibers |
| LE | Lignin fraction LE |
| R1 | Lignin fraction R1 |
| DCF-DA | 2’,7’-dichlorofluorescein diacetate probe |
| SPF | Sun protection factor |
| ROS | Reactive oxygen species |
| TiO₂ | Titanium dioxide |
| PIF | Photoirritation factor |
| HaCaT | Immortalized keratinocytes cell line |
| FBS | Fetal bovine serum |
| Glu | L-glutamine |
| MTT | 3-(4,5-dimethylthiazol-2-yl)-2,5-diphenyltetrazolium bromide |
| NRU | Neutral red uptake |
| PBS | Phosphate buffered saline |
| DMSO | Dimethyl sulfoxide |
References
- Courtat, M., Joyce, P. J., Sim, S., Sadhukhan, J., Murphy, R. Towards credible, evidence-based environmental rating ecolabels for consumer products: A proposed framework. J. Environ. Manage 2023,336, 117684 .https://doi.org/10.1016/j.jenvman.2023.117684. [CrossRef]
- Rosa, R., Pini, M., Cappucci, G. M., Ferrari, A. M. Principles and indicators for assessing the environmental dimension of sustainability within green and sustainable chemistry. Cur Op Green Suit Chem 2022, 37, 100654. https://doi.org/10.1016/j.cogsc.2022.100654. [CrossRef]
- Ugartondo, V.; Mitjans, M.; Vinardell, M.P. Comparative Antioxidant and Cytotoxic Effects of Lignins from Different Sources. Bioresour Technol 2008, 99, 6683–6687, doi:10.1016/j.biortech.2007.11.038. [CrossRef]
- Vinardell, M. P., Mitjans, M. Lignins and their derivatives with beneficial effects on human health. Int J Mol Sci 2017, 18, 12-19. https://doi.org/10.3390/ijms18061219. [CrossRef]
- Kaur, R., Bhardwaj, S. K., Chandna, S., Kim, K. H., Bhaumik, J. Lignin-based metal oxide nanocomposites for UV protection applications: A review. J Clean Prod 2021, 317, 128300. https://doi.org/10.1016/j.jclepro.2021.128300. [CrossRef]
- Qian, Y.; Qiu, X.; Zhu, S. Lignin: A Nature-Inspired Sun Blocker for Broadspectrum Sunscreens. Green Chemistry 2015, 17, 320–324, doi:10.1039/c4gc01333f. [CrossRef]
- Antunes, F.; Mota, I.F.; Fangueiro, J.F.; Lopes, G.; Pintado, M.; Costa, P.S. From Sugarcane to Skin: Lignin as a Multifunctional Ingredient for Cosmetic Application. Int J Biol Macromol 2023, 234, doi:10.1016/j.ijbiomac.2023.123592. [CrossRef]
- Gagosian, V.S.C.; Claro, F.C.; Schwarzer, A.C. de A.P.; Cruz, J.V.; Thá, E.L.; Trindade, E. da S.; Magalhães, W.L.E.; Pestana, C.B.; Leme, D.M. The Potential Use of Kraft Lignins as Natural Ingredients for Cosmetics: Evaluating Their Photoprotective Activity and Skin Irritation Potential. Int J Biol Macromol 2022, 222, 2535–2544, doi:10.1016/j.ijbiomac.2022.10.037. [CrossRef]
- Ratanasumarn, N.; Chitprasert, P. Cosmetic Potential of Lignin Extracts from Alkaline-Treated Sugarcane Bagasse: Optimization of Extraction Conditions Using Response Surface Methodology. Int J Biol Macromol 2020, 153, 138–145, doi:10.1016/j.ijbiomac.2020.02.328. [CrossRef]
- Li, S.X.; Li, M.F.; Bian, J.; Wu, X.F.; Peng, F.; Ma, M.G. Preparation of Organic Acid Lignin Submicrometer Particle as a Natural Broad-Spectrum Photo-Protection Agent. Int J Biol Macromol 2019, 132, 836–843, doi:10.1016/j.ijbiomac.2019.03.177. [CrossRef]
- Qian, Y.; Qiu, X.; Zhu, S. Sunscreen Performance of Lignin from Different Technical Resources and Their General Synergistic Effect with Synthetic Sunscreens. ACS Sustain Chem Eng 2016, 4, 4029–4035, doi:10.1021/acssuschemeng.6b00934. [CrossRef]
- Ibrahim, M.N.M.; Iqbal, A.; Shen, C.C.; Bhawani, S.A.; Adam, F. Synthesis of Lignin Based Composites of TiO2 for Potential Application as Radical Scavengers in Sunscreen Formulation. BMC Chem 2019, 13, doi:10.1186/s13065-019-0537-3. [CrossRef]
- De France, K.J.; Hoare, T.; Cranston, E.D. Review of Hydrogels and Aerogels Containing Nanocellulose. Chemistry of Materials 2017, 29, 4609–4631, doi:10.1021/acs.chemmater.7b00531. [CrossRef]
- Lavoine, N.; Tabary, N.; Desloges, I.; Martel, B.; Bras, J. Controlled Release of Chlorhexidine Digluconate Using β-Cyclodextrin and Microfibrillated Cellulose. Colloids Surf B Biointerfaces 2014, 121, 196–205, doi:10.1016/j.colsurfb.2014.06.021. [CrossRef]
- Rai, R., Dhar, P. Biomedical engineering aspects of nanocellulose: A review. Nanotechnol 2022, 33. https://doi.org/10.1088/1361-6528/ac6fef. [CrossRef]
- Hinton, A. N., Goldminz, A. M. Feeling the Burn: Phototoxicity and Photoallergy. Dermatol Clin 2020, 38, 165–175. https://doi.org/10.1016/j.det.2019.08.010. [CrossRef]
- Ohtake, H.; Tokuyoshi, Y.; Iyama, Y.; Nukaga, T.; Nishida, H.; Ohtake, T.; Hirota, M.; Yamada, K.; Seto, Y.; Sato, H.; et al. Reactive Oxygen Species (ROS) Assay-Based Photosafety Screening for Complex Ingredients: Modification of the ROS Assay Protocol. J Toxicol Sci 2022, 47(11):483-492. doi: 10.2131/jts.47.483. [CrossRef]
- Stoudmann, N.; Nowack, B.; Som, C. Prospective Environmental Risk Assessment of Nanocellulose for Europe. Environ Sci Nano 2019, 6, 2520–2531, doi:10.1039/c9en00472f. [CrossRef]
- OECD (2019), Test No. 432: In Vitro 3T3 NRU Phototoxicity Test, OECD Guidelines for the Testing of Chemicals, Section 4, OECD Publishing, Paris, https://doi.org/10.1787/9789264071162-en. [CrossRef]
- He, H, Li, A, Li, S, Tang, J, Li, L, Xiong, L. Natural components in sunscreens: Topical formulations with sun protection factor (SPF). Biomed Pharmacother 2021, 134, 111161. https://doi.org/10.1016/j.biopha.2020.111161. [CrossRef]
- D’Orazio, J., Jarrett, S., Amaro-Ortiz, A., Scott, T. UV radiation and the skin. In International Journal of Molecular Sciences 2013, 14, 6, 12222–12248. https://doi.org/10.3390/ijms140612222. [CrossRef]
- Aliabadi, M.; Chee, B.S.; Matos, M.; Cortese, Y.J.; Nugent, M.J.D.; de Lima, T.A.M.; Magalhães, W.L.E.; de Lima, G.G. Yerba Mate Extract in Microfibrillated Cellulose and Corn Starch Films as a Potential Wound Healing Bandage. Polymers (Basel) 2020, 12, 1–18, doi:10.3390/polym12122807. [CrossRef]
- Claro, F.C.; Matos, M.; Jordão, C.; Avelino, F.; Lomonaco, D.; Magalhães, W.L.E. Enhanced Microfibrillated Cellulose-Based Film by Controlling the Hemicellulose Content and MFC Rheology. Carbohydr Polym 2019, 218, 307–314, doi:10.1016/j.carbpol.2019.04.089. [CrossRef]
- de Lima, G.G.; Ferreira, B.D.; Matos, M.; Pereira, B.L.; Nugent, M.J.D.; Hansel, F.A.; Magalhães, W.L.E. Effect of Cellulose Size-Concentration on the Structure of Polyvinyl Alcohol Hydrogels. Carbohydr Polym 2020, 245, doi:10.1016/j.carbpol.2020.116612. [CrossRef]
- de Oliveira, K.M.G.; de Sousa Carvalho, E.H.; da Silva Pereira, B.; Petersohn, E.; Magalhães, W.L.E.; Moura, R.B.P.; Taveira, S.F.; de Cademartori, P.H.G.; Jacumazo, J.; de Freitas, R.A.; et al. Testing the Ecotoxicity of Nanofibrillated Kraft-Bleached Pulp for Use in Nanotechnology Products. Cellulose 2024, doi:10.1007/s10570-024-06258-0. [CrossRef]
- Martínez, V.; Galbiati, V.; Corsini, E.; Martín-Venegas, R.; Vinardell, M.P.; Mitjans, M. Establishment of an in Vitro Photoassay Using THP-1 Cells and IL-8 to Discriminate Photoirritants from Photoallergens. Toxicology in Vitro 2013, 27, 1920–1927, doi:10.1016/j.tiv.2013.06.013. [CrossRef]
- Baccarin, T.; Mitjans, M.; Ramos, D.; Lemos-Senna, E.; Vinardell, M.P. Photoprotection by Punica Granatum Seed Oil Nanoemulsion Entrapping Polyphenol-Rich Ethyl Acetate Fraction against UVB-Induced DNA Damage in Human Keratinocyte (HaCaT) Cell Line. J Photochem Photobiol B 2015, 153, 127–136, doi:10.1016/j.jphotobiol.2015.09.005. [CrossRef]
- Mattos, B.D.; da Silva, L.R.; de Souza, I.R.; Magalhães, W.L.E.; Leme, D.M. Slow Delivery of Biocide from Nanostructured, Microscaled, Particles Reduces Its Phytoxicity: A Model Investigation. J Hazard Mater 2019, 367, 513–519, doi:10.1016/j.jhazmat.2018.12.117. [CrossRef]
- Gordobil, O.; Oberemko, A.; Saulis, G.; Baublys, V.; Labidi, J. In Vitro Cytotoxicity Studies of Industrial Eucalyptus Kraft Lignins on Mouse Hepatoma, Melanoma and Chinese Hamster Ovary Cells. Int J Biol Macromol 2019, 135, 353–361, doi:10.1016/j.ijbiomac.2019.05.111. [CrossRef]
- Gil-Chávez, G. J., Padhi, S. S. P., Pereira, C. V., Guerreiro, J. N., Matias, A. A., Smirnova, I. Cytotoxicity and biological capacity of sulfur-free lignins obtained in novel biorefining process. International Journal of Biological Macromolecules, 2019, 136, 697–703. https://doi.org/10.1016/j.ijbiomac.2019.06.021. [CrossRef]
- Ventura, C., Pinto, F., Lourenço, A. F., Ferreira, P. J. T., Louro, H., Silva, M. J. On the toxicity of cellulose nanocrystals and nanofibrils in animal and cellular models. Cellulose 2020, 27, 5509–5544. https://doi.org/10.1007/s10570-020-03176-9. [CrossRef]
- Ventura, C.; Lourenço, A.F.; Sousa-Uva, A.; Ferreira, P.J.T.; Silva, M.J. Evaluating the Genotoxicity of Cellulose Nanofibrils in a Co-Culture of Human Lung Epithelial Cells and Monocyte-Derived Macrophages. Toxicol Lett 2018, 291, 173–183, doi:10.1016/j.toxlet.2018.04.013. [CrossRef]
- Lopes, V.R.; Sanchez-Martinez, C.; Strømme, M.; Ferraz, N. In Vitro Biological Responses to Nanofibrillated Cellulose by Human Dermal, Lung and Immune Cells: Surface Chemistry Aspect. Part Fibre Toxicol 2017, 14, doi:10.1186/s12989-016-0182-0. [CrossRef]
- Wu, X., Lian, H., Xia, C., Deng, J., Li, X., Zhang, C. Mechanistic insights and applications of lignin-based ultraviolet shielding composites: A comprehensive review. Int J Biol Macromol 2024, 280, 135477. https://doi.org/10.1016/j.ijbiomac.2024.135477. [CrossRef]
- Zhang, Y., Naebe, M. Lignin: A Review on Structure, Properties, and Applications as a Light-Colored UV Absorber. ACS Sust ChemiEngin 2021, 9, 1427–1442. https://doi.org/10.1021/acssuschemeng.0c06998. [CrossRef]
- Zhao, L.; Ouyang, X.; Ma, G.; Qian, Y.; Qiu, X.; Ruan, T. Improving Antioxidant Activity of Lignin by Hydrogenolysis. Ind Crops Prod 2018, 125, 228–235, doi:10.1016/j.indcrop.2018.09.002. [CrossRef]
- Rumpf, J.; Burger, R.; Schulze, M. Statistical Evaluation of DPPH, ABTS, FRAP, and Folin-Ciocalteu Assays to Assess the Antioxidant Capacity of Lignins. Int J Biol Macromol 2023, 233, doi:10.1016/j.ijbiomac.2023.123470. [CrossRef]
- Thá, E.L.; Matos, M.; Avelino, F.; Lomonaco, D.; Rodrigues-Souza, I.; Gagosian, V.S.C.; Cestari, M.M.; Magalhães, W.L.E.; Leme, D.M. Safety Aspects of Kraft Lignin Fractions: Discussions on the in Chemico Antioxidant Activity and the Induction of Oxidative Stress on a Cell-Based in Vitro Model. Int J Biol Macromol 2021, 182, 977–986, doi:10.1016/j.ijbiomac.2021.04.103. [CrossRef]
- Morsella, M.; D’Alessandro, N.; Lanterna, A.E.; Scaiano, J.C. Improving the Sunscreen Properties of TiO2 through an Understanding of Its Catalytic Properties. ACS Omega 2016, 1, 464–469, doi:10.1021/acsomega.6b00177. [CrossRef]
- Ishibashi, K.-I., Fujishima, A., Watanabe, T., Hashimoto, K. Detection of active oxidative species in Ti02 photocatalysis using the fluorescence technique. Electrochem Commun 2000, 2, 207-210. https://doi.org/10.1016/S1388-2481(00)00006-0. [CrossRef]




| MTT | NRU | |
|---|---|---|
| LE | 10.0 | 8.8 |
| R1 | 6.4 | 5.6 |
Disclaimer/Publisher’s Note: The statements, opinions and data contained in all publications are solely those of the individual author(s) and contributor(s) and not of MDPI and/or the editor(s). MDPI and/or the editor(s) disclaim responsibility for any injury to people or property resulting from any ideas, methods, instructions or products referred to in the content. |
© 2025 by the authors. Licensee MDPI, Basel, Switzerland. This article is an open access article distributed under the terms and conditions of the Creative Commons Attribution (CC BY) license (http://creativecommons.org/licenses/by/4.0/).
