Submitted:
21 February 2024
Posted:
23 February 2024
You are already at the latest version
Abstract
Keywords:
Highlights
Graphical Abstract

1. Introduction
2. Materials and Methods
2.1. Explorations and Origin of the Parasitoid Colony
2.2. Identity of the Primary and Secondary Parasitoids
2.3. Host Propagation
2.4. Parasitoid Propagation
2.5. Reproductive Parameters and Immature Measurements
2.6. Host Specificity Testing
2.7. Colonization and Establishment Records on the Islands
2.8. Infestation Rates on Major Infested Sites on Oahu Island
2.9. Rates of Parasitism on Oahu Island
2.10. Trapping
2.11. Statistical Analysis and Vouchers
3. Results
3.1. Exploration

) that were used for the colony rearing. 3.2. Identity of Parasitoids
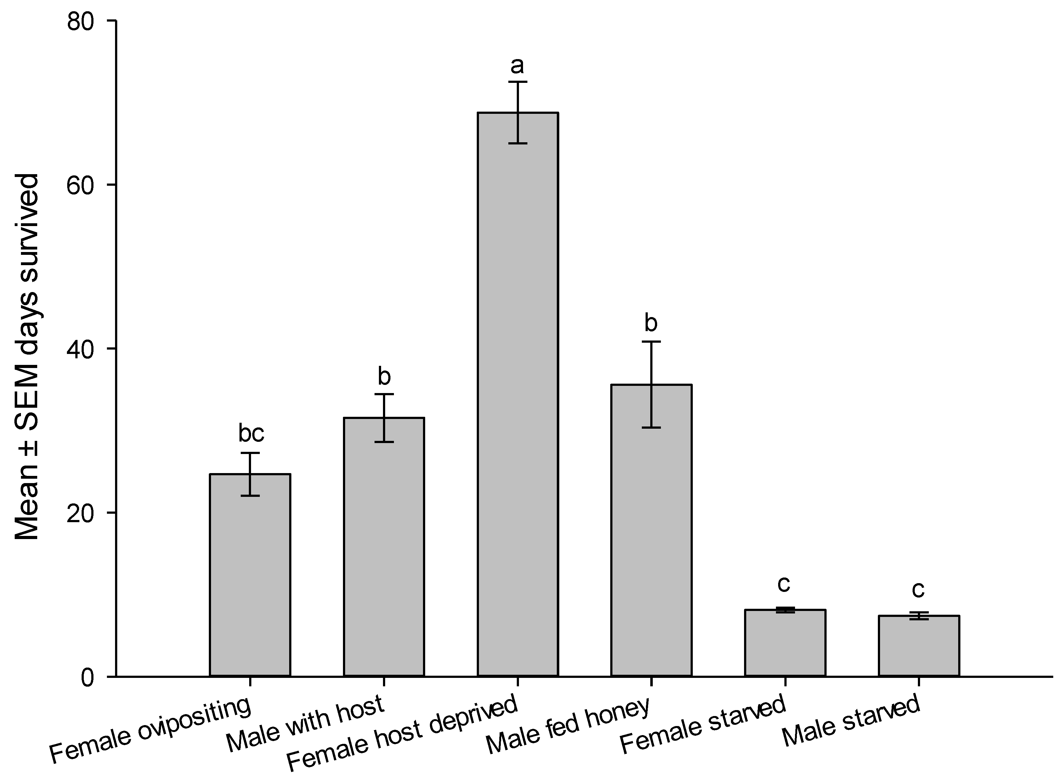
3.3. Life History and Reproductive Performance

, n = 40) was significantly higher than % male offspring (t46 = – 6.1660, P < 0.0001), Table 2.3.4. Host Specificity Tests
3.5. Colonization Records on the Islands
| Island | locality | Release period | Major infestation release sites GPS coordinates and elevation |
Release sets and range wasps/lot | Total wasp released |
|---|---|---|---|---|---|
| Oahu Island | Waimanalo, Winward Oahu 2010 | 17 May 2010 – 18 November 2010 |
Ahiki, (21°20’ 08.42” N, 157° 42’ 58.88” W, 27 m) |
12 (50 – 441) | 1494 |
| “ | Waimanalo 2010 | 9 October 2010 – 3 December 2010 |
Leilani Nursery, (21° 20’ 32.52” N, 157° 43’ 26.16” W, 21m) C & L Nursery, (21° 19’ 38.78” N, 157° 42’ 57.10” W, 89 m) |
5 (50 –110) | 310 |
| “ | Waimanalo 2011 | 13 January 2011 – 8 June 2011 |
Ahiki, (21° 20’ 08.42” N, 157° 42’ 58.88” W, 27 m) |
5 (50 – 100) | 400 |
| “ | Central Oahu 2010 | 8 June 2010 – 1 November 2010 |
Kipapa Gulch, 21° 27’ 32.80” N, 158° 00’ 57.32” W, 215 m) Uka Elem. Sch, Mililani (21° 26’ 14.33” N, 158° 00’ 55.49” W, 179 m) Poloahilani St, Mililani (21° 26’ 51.10” N, 158° 00’ 12.34” W, 212 m) |
12 (20 – 386) | 849 |
| “ | Central Oahu 2011 | 2 February 2011 – 14 June 2011 |
Noholoa Park, Mililani (21° 26’ 29.16” N, 158V 00’ 29.55” W, 184 m) Takenaka’s Nursery, Wahiawa (21° 25’ 44.31” N, 158° 00’55.56” W, 151 m) |
5 (50 –200) | 610 |
| “ | Windward Oahu 2021 | 3 October 2021 – 16 December 2021 |
Olomana (21° 21’55.00” N, 157° 44’ 22.61” W, 56 m) Lanikai (21° 23’ 30.78” N, 157° 42’ 56.97” W, 5 m) Enchanted lake, (21° 23’ 05.17” N, 157° 44’ 04.84” W, 5 m) |
9 (40 – 70) | 526 |
| “ | Winward and North Oahu 2022 | 15 February 2022 – 20 December 2022 |
Haleiwa (21° 35’ 33.15” N, 158° 06’ 12.88” W, 1 m) Pauahilani st. kaillua (21° 23’29.96” N, 157° 43’ 27.53” W, 21 m) |
22 (50 – 100) | 1465 |
| “ | Winward and Central Oahu 2023 | 6 February 2023 – 23 August 2023 |
Maunawili (21° 22’50.57” N, 157° 45’ 22.49” W, 37 m) Kaululena St. Mililani (21° 27’ 17.52” N, 158° 00’ 13.31” W, 222 m) |
8 (40 – 220) | 880 |
| Hawaii Island | North Kona 2010 | 5 August 2010 – 30 October 2010 |
3-Ring ranch, Kailua, Kona (19° 38’ 37.21´ N, 155° 57’ 55.67” W, 252 m) Loloa Way (19° 43’ 29.75” N, 155° 59’ 27.00” W, 325 m) Hawaiian Sunshine (21° 20’ 26.44” N, 157° 43’ 0324” W, 13 m) |
7(40–100) | 420 |
| “ | North Hilo and Puna 2010 | 16 June 2010 – 12 November 2010 |
Umauma, (19° 54’ 18.50” N, 155° 08’ 28.8” W, 115 m) Kurtistown, (19° 35’34.87” N, 155° 03’ 27.95” W, 200 m) Stainback (UH Exptl. Sta.) (19° 39’ 11.48” N, 155° 02’ 58.20´W, 77 m) |
7 (50 – 250) | 800 |
| “ | Kona, North Kohala, North, South Hilo 2011 | 16 January 2011 – 21 March 2011 |
Puna Orchids, Kapoho (19° 29’ 50.97” N, 154 ° 57’ 03.03” W, 190 m) Kohala (20° 14’ 15.25” N, 155° 49’ 07.74” W, 158 m) Onomea (19° 48’ 31.67” N, 155° 05’ 45.24” W, 87 m) Akaka Falls (19° 51’ 14.25” N, 155° 09’ 07.47” W, 366 m) Panaewa, Umauma (19° 39’ 34.28” N, 155° 02’ 50.93” W, 57 m) |
31 (50 – 100) | 2725 |
| “ | Hilo, Puna, districts 2011 | 27 January 2011 – 8 February 2011 |
Pahua (19” 27’ 41.80” N, 154” 56’ 25.71 W, 294 m) Panaewa, (19° 39’ 34.28” N, 155° 02’ 50.93” W, 57 m) Kurtistown, (19° 35’34.87” N, 155° 03’ 27.95” W, 200 m) |
4 (50) | 200 |
| Maui Island | North shore and East Maui 2010 |
3 August 2010 – 23 November 2010 |
Haiku (20° 55’ 02.87” N, 156° 19’ 32.93” W, 144 m) Hana, Maliko Gulch (20° 55’ 54.48” N, 156° 20’ 19.66” W, 11 m) |
9 (50 – 200) | 910 |
| “ | North Shore 2011 | 25 February 2011 – 26 August 2011 |
Twin Falls off, Hana. (20° 54’ 43.80” N, 156° 14’ 34.31” W, 148 m) |
6 (50 – 150) | 640 |
| Kauai Island | East and North districts 2010 | 19 October 2010 | Kuamoo Rd, Kapaa (22° 03’ 27.94” N, 159° 22’ 52.16” W, 98 m) Kiluea, Kauai Orchids (22° 11’ 51.05” N, 159° 22’ 34.09” W, 109 m) |
5 (15 – 100) | 200 |
| “ | East district 2011 | 5 May 2011 – 30 August 2011 |
Kapaa, Transfer Station (22° 05’ 00.14 “N, 159° 19’ 26.43” W, 21 m) |
15 (25 – 100) | 950 |
| Total releases and mean/locality | 162 (release sites) |
13,379 836.2 ± 158.8 |
|||
3.6. Field Parasitism and Establishment
| date | locality | No. of samples | Total Darna larvae collected |
Darna larvae/sample Mean ± SEM |
Total larvae Parasitized by Aroplectrus | % parasitism by Aroplectrus | Total larvae with hyper parasitoid |
% parasitism by Pediobius |
|---|---|---|---|---|---|---|---|---|
| 10 September 2019 | Enchanted lake, Kailua | 1 | 52 | 52 | 0 | 0 | - | - |
| 24 September 2009 – 23 December 2019 |
Lanikai | 12 | 812 | 67.7 ± 8.9 | 52 | 6.4 | 5 | 9.6 |
| 23 October 2019 – 10 December 2019 |
Waimanalo | 3 | 125 | 41.7 ± 7.9 | 10 | 8.0 | 1 | 10.0 |
| 27 November 2019 | Kipapa Gulch | 1 | 1 | 1 | 0 | - | - | - |
| 27 January 2020 – 18 October 2020 |
Lanikai | 4 | 77 | 19.3 ± 4.1 | 16 | 20.8 | 4 | 25.0 |
| 28 July 2020 | Kailua | 1 | 20 | 20 | 0 | - | - | - |
| 16 October 2020 – 16 December 2020 |
Maunawili Loop, Kailua | 3 | 261 | 87.0 ± 27.2 | 2 | 0.8 | 2 | 100 |
| 23 January 2020 | Waimanalo | 3 | 54 | 18.0 ± 7.2 | 5 | 9.2 | 5 | 100 |
| 4 January 2021 – 26 July 2021 |
Haleiwa | 4 | 47 | 11.7 ± 6.7 | 3 | 6.4 | 1 | 33.3 |
| 10 March 2021 | Waimanalo | 7 | 58 | 8.3 ± 3.8 | 38 | 65.5 | 5 | 13.1 |
| 7 April 2021 – 11 August 2021 |
Maunawili, Kailua | 6 | 51 | 8.5 ± 3.0 | 0 | 0 | 0 | - |
| 7 April 2021 – 20 October 2021 |
Lanikai | 11 | 314 | 28.5 ± 5.9 | 23 | 7.3 | 0 | 0 |
| 5 August 2021 – 11 November 2021 |
Olomana | 6 | 466 | 77.7 ± 17.9 | 36 | 7.7 | 0 | 0 |
| 14 June 2021 – 16 December 2021 |
Enchanted Lake, Kailua | 6 | 417 | 69.5 ± 25.3 | 26 | 6.2 | 0 | 0 |
| 19 January 2022 – 15 October, 2022 |
Enchanted lake, Kailua | 6 | 41 | 6.8 ± 1.8 | 18 | 43.9 | 2 | 11.1 |
| 23 February 2022 – 6 December 2022 |
Maunawili | 2 | 24 | 12.0 ± 8.0 | 0 | 0 | 0 | - |
| 11 January 2022 – 20 December 2022 |
Lanikai | 8 | 239 | 29.9 ± 7.0 | 26 | 10.9 | 1 | 3.8 |
| 19 January 2022 – 26 September 2022 |
Olomana | 8 | 262 | 32.7 ± 7.7 | 121 | 46.2 | 65 | 53.7 |
| 9 March 2022 – 12 July 2022 |
Waimanalo | 2 | 2 | 2 | 2 | 100 | 0 | 0 |
| 10 November 2022 | kaillua | 1 | 13 | 13 | 0 | |||
| 10 January 2023 – 23 October 2023 |
Lanikai | 8 | 248 | 31.0 ± 9.1 | 12 | 4.8 | 1 | 8.3 |
| 18 January 2023 – 31 October 2023 |
Olomana | 5 | 125 | 25.0 ± 7.0 | 70 | 56.0 | 27 | 38.6 |
| 18 January 2023 – 28 July 2023 |
Enchanted lake, Kailua | 2 | 5 | 2.5 ± 0.5 | 0 | 0 | 0 | |
| 28 April 2023 – 23 August 2022 |
Mililani | 4 | 59 | 14.7 ± 6.4 | 5 | 8.5 | 3 | 60.0 |
| 6 February 2023 – 21 August 2023 |
Waimanalo | 2 | 50 | 25.0 ± 13.0 | 4 | 8.0 | 1 | 25.0 |
| Mean ± SEM /site |
28.22 ± 4.9 |
18.76 ± 5.6 | 18.93 ± 5.6 | 5.86 ± 3.2 | 27.30 ± 7.6 | |||
| All samples |
117 samples (25 sites) | 3923 larvae | 469 larvae | 123 larvae |
3.7. Male Trap Catches and Pupal Infestation
4. Discussions
5. Conclusion
Author Contributions
Funding
Data Availability Statement
Acknowledgments
Conflicts of Interest
References
- Conant, P. , Hara, A.H., Nakahara, L.M., and Heu, R.A. Nettle caterpillar Darna pallipitta Moore (Lepidoptera: Limacodidae). New Pest Advisory, State of Hawaii Department of Agriculture. 2002, No. 01– 03.
- Kishimoto, C.M. The stinging nettle caterpillar, Darna pallivitta (Moore) (Lepidoptera: Limacodidae) in Hawaii: its current host range, biology, and population dynamics. Master of Science Thesis, University of Hawaii at Manoa. 2006, 91 pp.
- Hara, A.H. , Kishimoto, C.M., Niino-DuPonte, R.Y. Host range of the nettle caterpillar Darna pallivitta (Moore) (Lepidoptera: Limacodidae) in Hawai’i. In: Potential Invasive pests of agricultural crops, [ed. by Peňa, J.E.]. Wallingford, UK: CAB International. 2013, 183 – 191.
- Chun, S. , Hara, A., Niino-DuPonte, R., Nagamine, W., Conant, P., Hirayama, C. In: Stinging nettle caterpillar, Darna pallivitta, pest alert. Honolulu, Hawaii: University of Hawaii. 2011, 2 pp. https://scholarspace.manoa.hawaii.edu/server/api/core/bitstreams/9fa2bd14-6088-4d29-a9cce40a0b56a6e5/content. 6088. [Google Scholar]
- Jang, E.B. , Siderhurst, M.S., Conant, P., and Siderhurst, L.A. Phenology and population radiation of the nettle caterpillar, Darna pallivitta (Moore) (Lepidoptera: Limacodidae) in Hawai’i. Chemoecology. 2009, 19: 7-12.
- Anonymous. Nettle Caterpillar, Darna Pallivitta (Lepidoptera: Limacodidae). Maui Nature, Invasive Species. Nettle Caterpillar https://www.mauiinformationguide.com/nettle-caterpillar.php. (accessed on 8 January 2024).
- Nagamine Walter, T. and Epstein Marc E. Chronicles of Darna pallivitta (Moore 1877) (Lepidoptera: Limacodidae): biology and larval morphology of a new pest in Hawaii. The Pan-Pacific Entomologist. 2007, 83(2):120 –135.
- Ramadan, Mohsen M., Kaufman, Leyla V., Wright, Mark G. Insect and weed biological control in Hawaii: Recent case studies and trends. Biological Control, 2023.Volume 179, 105170. ISSN 1049-9644. [CrossRef]
- Areces-Berazain Fabiola. Darna pallivitta (nettle caterpillar), CABI Compendium. 2022. [CrossRef]
- Cock, M.J.W. , Godfray, H.C.J., and Holloway, J.D. editors. Slug and nettle caterpillars: the biology, taxonomy and control of the Limacodidae of economic importance on palms in South-East Asia. 1987, 270 pages. Wallingford: C.A.B. International.
- Holloway, J.D. The moths of Borneo. Part I. Key to families; Families Cossidae, Metarbelidae, Ratardidae, Dudgeoneidae, Epipyropidae and Limacodidae. Malayan Nature Journal (Malaysia). 1986, 40 (1/2).
- Holloway, J.D. The Moths of Borneo. 2006, Accessed on January 8, 2024, http://www.mothsofborneo.com/part-1/limacodidae/limacodidae-42-7.php.
- Lin, K.S. Revision of the tribe Euplectrini from Taiwan. Part 1. (Hymenoptera: Eulophidae.) Quarterly Journal of Taiwan Museum. 1963, 16: 113 16(1&2), 101-124. [CrossRef]
- Khan, M.Y. , Shafee, Shaikh Adam. Species of the genus Pediobius Eulophidae Entedontinae from India, The journal of the Bombay Natural History Society. 1982, 79, Vol. 73; No 2; PP. 370-374. https://www.biodiversitylibrary.org/part/156894.
- Nishida, G. Hawaiian terrestrial arthropod checklist, fourth edition. G.M. Nishida, ed. Honolulu. 2002, 262 pp. http://www2.bishopmuseum.org/HBS/checklist/query.asp?grp=Arthropod.
- Siderhurst, Matthew S., Jang, Eric B., Hara, Arnold H., Conant, Patrick. n-Butyl (E)-7,9-decadienoate: sex pheromone component of the nettle caterpillar, Darna pallivitta Entomologia Experimentalis et Applicata. 2007, 125: 63–69, 2007. [CrossRef]
- JMP®, Version <11>. SAS Institute Inc., Cary, NC, 1989–2023.
- Narendran, T.C.; Fousi, K.; Rajmohana, K.; Mohan, C. A new species of Eulophidae (Hymenoptera: Chalcidoidea) parasitoid on the slug caterpillar pest, Contheyla rotunda Hampson (Lepidoptera: Cochliidae) of coconut in Kerala. Journal of Applied Zoological Researches. 2002, 13(1) pp. 31-34.
- Noyes, J. UCD: Universal Chalcidoidea Database (version Sep 2007). In: Roskov Y., Ower G., Orrell T., Nicolson D., Bailly N., Kirk P.M., Bourgoin T., DeWalt R.E., Decock W., Nieukerken E. van, Zarucchi J., Penev L., eds. (2019). Species 2000 & ITIS Catalogue of Life. 2019, Annual Checklist. Digital resource at www.catalogueoflife.org/annual-checklist/2019. Species 2000: Naturalis, Leiden, the Netherlands. ISSN 2405-884X.
- Narendran, T.C. Fauna of India, Eulophinae (Hymenoptera: Eulophidae) pp. iii+442pp, Zoological Survey of India, Eulophidae. 2011, pages 1 – 342.
- Hansson, C. Eulophidae of Costa Rica (Hymenoptera: Chalcidoidea), 1. Memoirs of the American Entomological Institute. 2002, 67: 1-290.
- Hansson C, Smith M.A., Janzen D.H., Hallwachs W. Integrative taxonomy of New World Euplectrus Westwood (Hymenoptera, Eulophidae), with focus on 55 new species from Area de Conservación Guanacaste, northwestern Costa Rica. ZooKeys. 2015, 485:1-236. https://doi. org/10.3897/zookeys.458. 9124.
- Walker, F. Characters of some undescribed species of Chalcidites. (Continued). Annals and Magazine of Natural History. 1846, 17, 177–185.
- Kerrich, G.J. A revision of the tropical and subtropical species of the eulophid genus Pediobius Walker (Hymenoptera: Chalcidoidea). Bulletin of the British Museum (Natural History), Entomology. 1973; 29, 115–200. [Google Scholar]
- Schauff, M.E. The Holarctic genera of Entedoninae (Hymenoptera: Eulophidae). Contributions of the American Entomological Institute. 1991, 26. [Google Scholar]
- Ghosh, S.M. and Abdurahiman, U.C. On the biology of Pediobius imbreus (Hymenoptera: Eulophidae), a hyperparasite of Opisina arenosella, the black-headed caterpillar of coconut. COCOS. 1988, 6: 27-30.
- Ghosh, S.M. , Chandrasekharan, K. and Abdurahiman, U.C. The bionomics of Pediobius imbreus (Hymenoptera) and its impact on the biological control of the coconut caterpillar. Journal of Ecobiology. 1993, 5(3): 161-166.
- Siderhurst, Matthew S.; Jang, Eric B.; Carvalho, Lori A. F. N.; Nagata, Janice T.; and Derstine, Nathan T. Disruption of Darna pallivitta (Lepidoptera: Limacodidae) by Conventional and Mobile Pheromone Deployment. J. Insect Sci. 2015, 15(1): 67. [CrossRef]
- Conant, P., Hirayama, C. K.; Kishimoto, C. M.; and Hara, A. H. Trichogramma papilionis (Nagarkatti), the first recorded Trichogramma species to parasitize eggs in the family Limacodidae. Proceedings of the Hawaiian Entomological Society. 2006, 38: 133–135.
- Singh, B.P.; Singh, R.P.; and Verma, V.D. New record of Aroplectrus dimerus Linn. [sic] and Platyplectrus sp. as a larval parasite of slug caterpillar (Parasa bicolor Walk) [sic] from U.P. Farm Science Journal. 1988, 3(2): 199-200. http://trophort.com/002/169/002169592.html.
- Philippine Coconut Authority. The small limacodid Pethocrates sp. a pest on coconut. CPD Technoguide. 1999, No. 5. http://www.pca.da.gov.ph/pdf/techno/limacodid.pdf.
- Zhu, C.D.; and Huang, D.W. A taxonomic study on Eulophidae from Guangxi, China (Hymenoptera: Chalcidoidea). Acta Zootaxonomica Sinica. 2002, 27(3):583-607.
- Fry, J. M. Natural enemy databank, 1987. A catalogue of natural enemies of arthropods derived from records in the CIBC Natural Enemy Databank, p. 94. CAB International, Wallingford, Oxford, UK. 1989, 185 pp.
- Yoshimoto, H. Darna pallivitta (Moore) from Okinawa I., a limacodid moth new to Japan. Japan Heterocerists’ Journal. 1997, 192273-274. http://publ.moth.jp/tsushin/151-200/jhj192.pdf.
- Wijesekara, G.A.W. and Gunawardena, Thelma. A Synopsis of the Tribe Euplectrini of Hymenoptera Eulophidac) of Sri Lanka. Tropical Agricultural Research. 1989, Vol. 1, 114 – 1120.
- Bouček, Z. Australian chalcidoidea (Hy.); A. Biosystematic Revision of genera of fourteen families, with reunification of species. Commonwealth Institution of Entomology. CAB International, Wallingford, Oxon, UK. 1988, 832 pp.
- Peck, O. The taxonomy of the Nearctic species of Pediobius (Hymenoptera: Eulophidae), especially Canadian and Alaskan forms. Canadian Entomologist. 1985, 117: 647–704. [CrossRef]
- Gates, Michael W.; Lill, John T.; Kula, Robert R.; O’Hara, James E.; Wahl, David B.; Smith, David R.; Whitfield, James B.; Murphy, Shannon M.; and Stoepler, Teresa M. Review of Parasitoid Wasps and Flies (Hymenoptera, Diptera) Associated with Limacodidae (Lepidoptera) in North America, with a Key to Genera. Proceedings of the Entomological Society of Washington. 2012, 114(1), 24 –110,. [CrossRef]
- Budhachandra Thangjam, Khan; M. A., Pandey, Sunita; and Manhanvi, Kalmesh. A new species of genus Pediobius Walker (Hymenoptera: Eulophidae) with new records of eulophid parasitoids from Uttarakhand, India. Pantnagar Journal of Research. 2013, 11(1): 29. [Google Scholar]
- Chalapathi Rao, N.B.V.; Padma, E.; and Ramanandam, G. Pediobius imbrues (Hymenoptera: Eulophidae), a promising parasitoid of coconut slug caterpillar, Macroplectra nararia Moore (Lepidoptera: Limacodidae) in Andhra Pradesh J Pest Management in Horticultural Ecosystems. 2017, V 23, P 176-178.
- Yoshimoto, C.M. Title: Synopsis of Hawaiian Eulophidae including Aphelininae (Hym.: Chalcidoidea). Pacific Insects. 1965, 7(4):665 – 699.
- HDOA. Natural enemy of stinging caterpillar to be released on O’ahu. News Release. 2010, 10 – 07. Available from: http://hawaii.gov/hdoa/news/2010-news-releases/natural-enemyof-stinging-caterpillar-to-be-released-on-o-ahu. [accessed May 15, 2011].
- HDOA. Kaua’i residents asked to report sightings of stinging caterpillar. News Release. 2011,11-11. Available from: http://hawaii.gov/hdoa/news/news-releases-2011/kaua-i-residentsasked-to-report-sightings-of-stinging-caterpillar. [accessed 8 June, 2011].
- California Department of Food and Agriculture (CDFA). Darna pallivitta, p. 21. California Plant Pest andDisease Report. 2005, 22: 1–76.
- California Department of Food and Agriculture (CDFA). Darna pallivitta, p. 12. California. Plant Pest and Disease Report. 2006, 23: 1–117.
- Bautista, R.C.; Yalemar, J.A.; Conant, P.; Arakaki, D.K.; and Reimer, N. Taming a stinging caterpillar in Hawaii with a parasitic wasp. Biocontrol News and Information. 2014, 35(2) 9N – 17N. https://www.cabi.org/BNI.
- Matsunaga, Janis N.; Howarth, Francis G.; and Kumashiro, Bernarr R. New State Records and Additions to the Alien Terrestrial Arthropod Fauna in the Hawaiian Islands. Proceedings of the Hawaiian Entomological Society. 2019, 51(1) 1–71.
- Koop, A.L. New Pest Advisory Group Report. Darna pallivitta Moore: Nettle Caterpillar. 2006, https://download.ceris.purdue.edu/file/3058www.aphis.usda.gov/plant_health/cphst/npag/downloads/Darna_pallivitta_NPAG_et_Report_060505.pdf [accessed on 8 February 2024].








| Family of Lepidoptera | Scientific and common name | Status and source | host plant common and scientific name |
|---|---|---|---|
| Erebidae |
Podomachla apicalis (Walker) a leaf-feeder |
Beneficial, Lab-reared |
fireweed leaves, Senecio madagascariensis |
| Erebidae |
Secusio extensa (Butler) a leaf-feeder |
Beneficial Lab-reared |
fireweed leaves, Senecio madagascariensis |
| Choreutidae |
Choreutis sp. a leaf-tier |
Pest Field-collected |
weeping fig leaves, Ficus benjamina |
| Crambidae |
Diaphania nitidalis Cramer pickleworm |
Pest Lab-reared |
cucumber flowers/fruit, Cucumis sativa, Pipturis albidus |
| Crambidae |
Omiodes blackburni (Butler) coconut leaf roller |
Endemic Lab-reared |
coconut leaves, Cocos nucifera |
| Crambidae |
Udea stellata (Butler) a leaf-feeder |
Endemic Lab-reared, |
mamaki leaves, |
| Ethmiidae |
Ethmia nigroapicella (Sallmuller) kou leafworm |
Pest Field-collected |
kou leaves, Cordia subcordata |
| Geometridae |
Anacamptodes fragilaria (Grossbeck), koa haole looper |
Pest Field-collected |
koa-haole leaves, Leucaena leucocephala |
| Geometridae |
Macaria abydata Guenee koa haole moth |
Pest Field-collected, |
koa-haole leaves, Leucaena leucocephala |
| Lycaenidae |
Lampides boeticus (Linnaeus) bean butterfly |
Pest Field-collected |
rattlepod beans, Crotalaria sp. |
| Noctuidae |
Achaea janata (Linnaeus) croton caterpillar |
Pest Field-collected |
castor bean leaves, Ricinus communis |
| Noctuidae |
Agrotis sp. a cutworm |
Pest Lab-reared |
cotton leaves, Gossypium hirsutum |
| Noctuidae |
Anomis flava (Fabricius) hibiscus caterpillar |
Pest Lab-reared |
cotton leaves, Gossypium hirsutum |
| Noctuidae |
Heliothis virescens (Fabricius) tobacco budworm |
Pest Field-collected |
love-in-a-mist flowers, Passiflora foetida |
| Noctuidae |
Pandesma anysa Guenee a leaf-feeder |
Pest Field-collected |
opiuma leaves, Pithecellobium dulce |
| Noctuidae |
Spodoptera mauritia (Boisduval), lawn armyworm |
Pest Lab-reared |
undetermined grass species |
| Nymphalidae |
Agraulis vanillae (Linnaeus) passion vine butterfly |
Pest Field-collected |
passion vine leaves, Passiflora edulis |
| Nymphalidae |
Vanessa cardui (Linnaeus) painted lady |
Pest Field-collected |
cheeseweed leaves, Malva parviflora |
| Pieridae |
Pieris rapae (Linnaeus) imported cabbageworm |
Pest Field-collected |
broccoli leaves, Brassica oleracea |
| Plutellidae | Plutella xylostella (Linnaeus), diamondback moth | Pest Field-collected |
broccoli leaves, Brassica oleracea |
| Pyralidae |
Hellula undalis (Fabricius) imported cabbage webworm |
Pest Field-collected |
mustard cabbage leaves, Brassica juncea |
| Sphingidae |
Daphnis nerii (Linnaeus) oleander hawk moth |
Pest Field-collected |
oleander leaves, Nerium oleander |
| Tortricidae |
Croesia zimmermani Clarke a biocontrol agent |
Beneficial Field-collected |
blackberry leaves, Rubus argutus |
| Tortricidae |
Cryptophlebia ombrodelta (Lower), litchi fruit moth |
Pest Field-collected |
undetermined legume species |
| Tortricidae |
Episimus utilis Zimmerman a biocontrol agent |
Beneficial Field-collected |
x-mas berry leaves, Schinus terebinthifolius |
| Reproductive parameter | n | Mean ± SEM | Range | unit |
|---|---|---|---|---|
| Preoviposition period | 40 | 1.60 ± 0.15 | 0 – 5 | days |
| Oviposition period | 40 | 7.77 ± 0.65 | 2 – 21 | days |
| Post-oviposition period | 36 | 10.86 ± 2.42 | 0 – 60 | days |
| Age at peak oviposition | 40 | 7.50 ± 0.79 | 2 – 24 | days |
| Peak oviposition eggs /day | 40 | 9.45 ± 0.55 | 4 – 19 | number eggs |
| Egg laying /day/ lava | 280 | 4.39 ± 0.26 | 0 – 19 | number eggs |
| Fecundity total eggs deposited/female | 40 | 41.67 ± 4.09 | 10 – 130 | total eggs |
| Adult offspring emergence rate | 15 | 58.20 ± 3.00 | 25 – 79 | percentage |
| Female longevity | 40 | 24.67 ± 2.61 | 8 – 76 | days |
| Male longevity * | 40 | 31.55 ± 2.93 | 8 – 90 | days |
| Sex ratio (% females’ offspring) ** | 24 | 63.23 ± 3.00 | 8.9 – 85.7 | % female |
| Sex ratio (% males’ offspring) | 24 | 36.76 ± 3.03 | 14.2 – 91.04 | % male |
| Life span | 54 | 10.57 ± 0.19 | 9 – 13 | days |
| Egg incubation period | 14 | 2.0 ± 0.0 | 2 | days |
| Larval developmental period | 14 | 4.5 ± 0.14 | 4 – 5 | days |
| Pupal developmental period | 14 | 5.64 ± 0.20 | 5 – 7 | days |
| Measurements of immatures | ||||
| Egg length | 15 | 0.348 ± 0.005 | 0.32 – 0.40 | mm |
| Egg width | 15 | 0.139 ± 0.003 | 0.12 – 0.16 | mm |
| Mature larval length | 15 | 2.28 ± 0.137 | 1.25 – 3.0 | mm |
| Mature larval width | 15 | 0.88 ± 0.054 | 0.57 – 1.25 | mm |
| Pupal length | 15 | 2.78 ± 0.063 | 2.44 – 3.12 | mm |
| Pupal width | 15 | 0.95 ± 0.035 | 0.76 – 1.16 | mm |
offspring was significantly higher than %
offspring (t 46 = – 6.1660, P <0.0001). n = number of replicates.| Species name | Parasitoid eggs deposited on larvae (Mean ± SEM) |
No. larvae parasitized | No. parasitoids emerging | No. and % moths of test species emerging |
|---|---|---|---|---|
| Podomachla apicalis | 0 b | 0 | 0 | 20 (100%) |
| D. pallivitta (control) | 3.0 ± 0.9 a | 10 (50%) | 49 (42♀, 7♂) | - |
| Secusio extensa | 0 b | 0 | 0 | 15 (75%) |
| D. pallivitta (control) | 5.1 ± 1.1 a | 13 (65%) | 94 (61♀, 33♂) | - |
| Choreutis sp. | 0 b | 0 | 0 | 15 (75%) |
| D. pallivitta (control) | 4.1 ± 0.9 a | 12 (60%) | 73 (52♀, 21♂) | - |
| Diaphania nitidalis | 0 b | 0 | 0 | 20 (100%) |
| D. pallivitta (control) | 3.4 ± 0.7 a | 14 (70%) | 67 (52♀, 23♂) | - |
| Omiodes blackburni | 0 b | 0 | 0 | 14 (70%) |
| D. pallivitta (control) | 4.5 ± 1.2 a | 11 (55%) | 87 (62♀, 25♂) | - |
| Udea stellata | 0 b | 0 | 0 | 20 (100%) |
| D. pallivitta (control) | 5.1 ± 1.1 a | 12 (60%) | 38 (26♀, 12♂) | - |
| Ethmia nigroapicella | 0 b | 0 | 0 | 15 (75%) |
| D. pallivitta (control) | 3.5 ± 0.8 a | 13 (65%) | 16 (10♀, 6♂) | - |
| Anacamptodes fragilaria | 0 b | 0 | 0 | 0 (0%)1 |
| D. pallivitta (control) | 4.9 ± 0.9 a | 17 (85%) | 36 (18♀, 18♂) | - |
| Macaria abydata | 0 b | 0 | 0 | 4 (20%) |
| D. pallivitta (control) | 3.6 ± 0.9 a | 12 (60%) | 27 (20♀, 7♂) | - |
| Lampides boeticus | 0 b | 0 | 0 | 20 (100%) |
| D. pallivitta (control) | 5.5 ± 1.0 a | 16 (80%) | 45 (28♀, 17♂) | - |
| Achaea janata | 0 b | 0 | 0 | 19 (95%) |
| D. pallivitta (control) | 4.7 ± 1.0 a | 14 (70%) | 88 (54♀, 34♂) | - |
| Agrotis sp. | 0 b | 0 | 0 | 1 (5%)1 |
| D. pallivitta (control) | 3.7 ± 1.2 a | 11 (55%) | 49 (22♀, 29♂) | - |
| Anomis flava | 0 b | 0 | 0 | 20 (100%) |
| D. pallivitta (control) | 4.8 ± 0.9 a | 13 (65%) | 91 (61♀, 30♂) | - |
| Heliothis virescens | 0 b | 0 | 0 | 13 (65%) |
| D. pallivitta (control) | 5.1 ± 1.4 a | 9 (45%) | 60 (38♀, 22♂) | - |
| Pandesma anysa | 0 b | 0 | 0 | 18 (90%) |
| D. pallivitta (control) | 5.3 ± 1.1 a | 14 (70%) | 101 (70♀, 31♂) | - |
| Spodoptera mauritia | 0 b | 0 | 0 | 19 (95%) |
| D. pallivitta (control) | 4.2 ± 0.9 a | 14 (70%) | 80 (67♀, 13♂) | - |
| Agraulis vanillae | 0 b | 0 | 0 | 1 (5%)1 |
| D. pallivitta (control) | 4.5 ± 0.9 a | 14 (70%) | 76 (46♀, 30♂) | - |
| Vanessa cardui | 0 b | 0 | 0 | 19 (95%) |
| D. pallivitta (control) | 4.4 ± 1.0 a | 12 (60%) | 68 (45♀, 23♂) | - |
| Pieris rapae | 0 b | 0 | 0 | 19 (95%) |
| D. pallivitta (control) | 4.4 ± 1.0 a | 13 (65%) | 68 (39♀, 29♂) | - |
| Plutella xylostella | 0 b | 0 | 0 | 20 (100%) |
| D. pallivitta (control) | 3.5 ± 1.3 a | 8 (40%) | 44 (28♀, 16♂) | - |
| Hellula undalis | 0 b | 0 | 0 | 10 (50%) |
| D. pallivitta (control) | 4.8 ± 1.0 a | 12 (60%) | 56 (33♀, 23♂) | - |
| Daphnis nerii | 0 b | 0 | 0 | 18 (90%) |
| D. pallivitta (control) | 4.6 ± 0.9 a | 15 (75%) | 67 (6♀, 61♂) | - |
| Croesia zimmermani | 0 b | 0 | 0 | 19 (95%) |
| D. pallivitta (control) | 2.6 ± 0.8 a | 8 (40%) | 13 (9♀, 4♂) | - |
| Cryptophlebia ombrodelta | 0 b | 0 | 0 | 20 (100%) |
| D. pallivitta (control) | 3.0 ± 0.9 a | 11 (55%) | 33 (24♀, 9♂) | - |
| Episimus utilis | 0 b | 0 | 0 | 20 (100%) |
| D. pallivitta (control) | 3.9 ± 0.5 a | 17 (85%) | 42 (23♀, 19♂) | - |
Disclaimer/Publisher’s Note: The statements, opinions and data contained in all publications are solely those of the individual author(s) and contributor(s) and not of MDPI and/or the editor(s). MDPI and/or the editor(s) disclaim responsibility for any injury to people or property resulting from any ideas, methods, instructions or products referred to in the content. |
© 2024 by the authors. Licensee MDPI, Basel, Switzerland. This article is an open access article distributed under the terms and conditions of the Creative Commons Attribution (CC BY) license (http://creativecommons.org/licenses/by/4.0/).