Submitted:
19 February 2024
Posted:
19 February 2024
You are already at the latest version
Abstract
Keywords:
1. Introduction
2. Age Dating Galaxy Groups
3. Blackhole Activity and Formation History
4. Radio Emissions of BGGs
5. Stellar Population of BGGs
6. The Kinematics of BGG
7. Gas Misalignment in AGN Dominated Galaxies

8. Discussion
Data Availability Statement
Acknowledgments
References
- Silk, J.; Rees, M.J. Quasars and galaxy formation. arXiv preprint astro-ph/9801013 1998. [CrossRef]
- Binney, J.; Tabor, G. Evolving cooling flows. Monthly Notices of the Royal Astronomical Society 1995, 276, 663–678. [Google Scholar] [CrossRef]
- Kondapally, R.; Best, P.N.; Raouf, M.; Thomas, N.L.; Davé, R.; Shabala, S.S.; Röttgering, H.J.A.; Hardcastle, M.J.; Bonato, M.; Cochrane, R.K.; et al. Cosmic evolution of radio-AGN feedback: confronting models with data. 2023, 523, 5292–5305, [arXiv:astro-ph.GA/2306.11795]. [CrossRef]
- Silk, J. Ultraluminous starbursts from supermassive black hole-induced outflows. Monthly Notices of the Royal Astronomical Society 2005, 364, 1337–1342. [Google Scholar] [CrossRef]
- Silk, J.; Begelman, M.C.; Norman, C.; Nusser, A.; Wyse, R.F.G. Which Came First: Supermassive Black Holes or Galaxies? Insights from JWST. 2024, 961, L39, [arXiv:astro-ph.GA/2401.02482]. [CrossRef]
- Gaibler, V.; Khochfar, S.; Krause, M.; Silk, J. Jet-induced star formation in gas-rich galaxies. Monthly Notices of the Royal Astronomical Society 2012, 425, 438–449. [Google Scholar] [CrossRef]
- Santini, P.; Rosario, D.; Shao, L.; Lutz, D.; Maiolino, R.; Alexander, D.; Altieri, B.; Andreani, P.; Aussel, H.; Bauer, F.; et al. Enhanced star formation rates in AGN hosts with respect to inactive galaxies from PEP-Herschel observations. Astronomy & Astrophysics 2012, 540, A109. [Google Scholar]
- Bieri, R.; Dubois, Y.; Silk, J.; Mamon, G.A. Playing with positive feedback: external pressure-triggering of a star-forming disk galaxy. The Astrophysical Journal Letters 2015, 812, L36. [Google Scholar] [CrossRef]
- Benson, A.; Hoyle, F.; Torres, F.; Vogeley, M.S. Galaxy voids in cold dark matter universes. Monthly Notices of the Royal Astronomical Society 2003, 340, 160–174. [Google Scholar] [CrossRef]
- Di Matteo, T.; Springel, V.; Hernquist, L. Energy input from quasars regulates the growth and activity of black holes and their host galaxies. nature 2005, 433, 604–607. [Google Scholar] [CrossRef]
- Bower, R.G.; Benson, A.; Malbon, R.; Helly, J.; Frenk, C.; Baugh, C.; Cole, S.; Lacey, C.G. Breaking the hierarchy of galaxy formation. Monthly Notices of the Royal Astronomical Society 2006, 370, 645–655. [Google Scholar] [CrossRef]
- Croton, D.J.; Springel, V.; White, S.D.; De Lucia, G.; Frenk, C.S.; Gao, L.; Jenkins, A.; Kauffmann, G.; Navarro, J.; Yoshida, N. The many lives of active galactic nuclei: cooling flows, black holes and the luminosities and colours of galaxies. Monthly Notices of the Royal Astronomical Society 2006, 365, 11–28. [Google Scholar] [CrossRef]
- Sijacki, D.; Springel, V.; Di Matteo, T.; Hernquist, L. A unified model for AGN feedback in cosmological simulations of structure formation. Monthly Notices of the Royal Astronomical Society 2007, 380, 877–900. [Google Scholar] [CrossRef]
- Cattaneo, A.; Faber, S.; Binney, J.; Dekel, A.; Kormendy, J.; Mushotzky, R.; Babul, A.; Best, P.; Brüggen, M.; Fabian, A.; et al. The role of black holes in galaxy formation and evolution. Nature 2009, 460, 213–219. [Google Scholar] [CrossRef]
- Fabian, A.C. Observational evidence of active galactic nuclei feedback. Annual Review of Astronomy and Astrophysics 2012, 50, 455–489. [Google Scholar] [CrossRef]
- Einasto, M.; Einasto, J.; Tenjes, P.; Korhonen, S.; Kipper, R.; Tempel, E.; Liivamägi, L.J.; Heinämäki, P. Galaxy groups and clusters and their brightest galaxies within the cosmic web. Astronomy & Astrophysics 2024, 681, A91. [Google Scholar]
- Raouf, M.; Smith, R.; Khosroshahi, H.G.; Sande, J.v.d.; Bryant, J.J.; Cortese, L.; Brough, S.; Croom, S.M.; Hwang, H.S.; Driver, S.; et al. The SAMI Galaxy Survey: Kinematics of Stars and Gas in Brightest Group Galaxies—The Role of Group Dynamics. 2021, 908, 123, [arXiv:astro-ph.GA/2012.08634]. [CrossRef]
- Haynes, M.P.; Giovanelli, R.; Chincarini, G.L. The influence of environment on the HI content of galaxies. Annual review of astronomy and astrophysics 1984, 22, 445–470. [Google Scholar] [CrossRef]
- Bertola, F. Gaseous Disks in Elliptical Galaxies. In Proceedings of the Morphological and Physical Classification of Galaxies: Proceedings of the Fifth International Workshop of the Osservatorio Astronomico di Capodimonte, Sant’Agata Sui Due Golfi, Italy, September 3–7, 1990; Springer, 1992; pp. 115–126. [Google Scholar]
- Sancisi, R.; Fraternali, F.; Oosterloo, T.; Van Der Hulst, T. Cold gas accretion in galaxies. The Astronomy and Astrophysics Review 2008, 15, 189–223. [Google Scholar] [CrossRef]
- Kannappan, S.; Fabricant, D. A broad search for counterrotating gas and stars: evidence for mergers and accretion. The Astronomical Journal 2001, 121, 140. [Google Scholar] [CrossRef]
- Bertola, F.; Bettoni, D.; Rusconi, L.; Sedmak, G. Stellar versus gaseous kinematics in E and SO galaxies. Astronomical Journal (ISSN 0004-6256), vol. 89, March 1984, p. 356-364. 1984, 89, 356–364. [Google Scholar] [CrossRef]
- Davis, T.A.; Bureau, M. On the depletion and accretion time-scales of cold gas in local early-type galaxies. Monthly Notices of the Royal Astronomical Society 2016, 457, 272–280. [Google Scholar] [CrossRef]
- Raimundo, S.I.; Malkan, M.; Vestergaard, M. An increase in black hole activity in galaxies with kinematically misaligned gas. Nature Astronomy 2023, 1–10. [Google Scholar] [CrossRef]
- Ponman, T.; Allan, D.; Jones, L.; Merrifield, M.; McHardy, I.; Lehto, H.; Luppino, G. A possible fossil galaxy group. Nature 1994, 369, 462–464. [Google Scholar] [CrossRef]
- Jones, L.; Ponman, T.; Horton, A.; Babul, A.; Ebeling, H.; Burke, D. The nature and space density of fossil groups of galaxies. Monthly Notices of the Royal Astronomical Society 2003, 343, 627–638. [Google Scholar] [CrossRef]
- Raouf, M.; Khosroshahi, H.G.; Ponman, T.J.; Dariush, A.A.; Molaeinezhad, A.; Tavasoli, S. Ultimate age-dating method for galaxy groups; clues from the Millennium Simulations. 2014, 442, 1578–1585, [arXiv:astro-ph.CO/1405.3962]. [CrossRef]
- Khosroshahi, H.G.; Raouf, M.; Miraghaei, H.; Brough, S.; Croton, D.J.; Driver, S.; Graham, A.; Baldry, I.; Brown, M.; Prescott, M.; et al. Galaxy And Mass Assembly (GAMA): A “No Smoking” Zone for Giant Elliptical Galaxies? 2017, 842, 81, [arXiv:astro-ph.GA/1704.09029]. 842. [CrossRef]
- Shlosman, I.; Begelman, M.C.; Frank, J. The fuelling of active galactic nuclei. Nature 1990, 345, 679–686. [Google Scholar] [CrossRef]
- Davis, T.A.; Alatalo, K.; Sarzi, M.; Bureau, M.; Young, L.M.; Blitz, L.; Serra, P.; Crocker, A.F.; Krajnović, D.; McDermid, R.M.; et al. The ATLAS3D project–X. On the origin of the molecular and ionized gas in early-type galaxies. Monthly Notices of the Royal Astronomical Society 2011, 417, 882–899. [Google Scholar] [CrossRef]
- Thakar, A.R.; Ryden, B.S. Smoothed particle hydrodynamics simulations of counterrotating disk formation in spiral galaxies. The Astrophysical Journal 1998, 506, 93. [Google Scholar] [CrossRef]
- van de Voort, F.; Davis, T.A.; Kereš, D.; Quataert, E.; Faucher-Giguère, C.A.; Hopkins, P.F. The creation and persistence of a misaligned gas disc in a simulated early-type galaxy. Monthly Notices of the Royal Astronomical Society 2015, 451, 3269–3277. [Google Scholar] [CrossRef]
- Negri, A. Hydrodynamical simulations of early-type galaxies: effects of galaxy shape and stellar dynamics on hot coronae 2014. [CrossRef]
- Capelo, P.R.; Dotti, M.; Volonteri, M.; Mayer, L.; Bellovary, J.M.; Shen, S. A survey of dual active galactic nuclei in simulations of galaxy mergers: frequency and properties. Monthly Notices of the Royal Astronomical Society 2017, 469, 4437–4454. [Google Scholar] [CrossRef]
- Taylor, P.; Federrath, C.; Kobayashi, C. The origin of kinematically distinct cores and misaligned gas discs in galaxies from cosmological simulations. Monthly Notices of the Royal Astronomical Society 2018, 479, 141–152. [Google Scholar] [CrossRef]
- Raouf, M.; Viti, S.; García-Burillo, S.; Richings, A.J.; Schaye, J.; Bemis, A.; Nobels, F.S.J.; Guainazzi, M.; Huang, K.Y.; Schaller, M.; et al. Hydrodynamic simulations of the disc of gas around supermassive black holes (HDGAS) - I. Molecular gas dynamics. 2023, 524, 786–800, [arXiv:astro-ph.GA/2306.14573]. [CrossRef]
- Khosroshahi, H.G.; Maughan, B.J.; Ponman, T.J.; Jones, L.R. A fossil galaxy cluster: an X-ray and optical study of RX J1416.4+2315. 2006, 369, 1211–1220, [arXiv:astro-ph/astro-ph/0603606]. [CrossRef]
- Khosroshahi, H.G.; Jones, L.R.; Ponman, T.J. An old galaxy group: Chandra X-ray observations of the nearby fossil group NGC 6482. 2004, 349, 1240–1250, [arXiv:astro-ph/astro-ph/0401023]. [CrossRef]
- Aguerri, J.A.L.; Zarattini, S. Properties of Fossil Groups of Galaxies. Universe 2021, 7. [Google Scholar] [CrossRef]
- Raouf, M.; Smith, R.; Khosroshahi, H.G.; Dariush, A.A.; Driver, S.; Ko, J.; Hwang, H.S. The Impact of the Dynamical State of Galaxy Groups on the Stellar Populations of Central Galaxies. 2019, 887, 264, [arXiv:astro-ph.GA/1911.02976]. [CrossRef]
- Raouf, M.; Khosroshahi, H.G.; Mamon, G.A.; Croton, D.J.; Hashemizadeh, A.; Dariush, A.A. Merger History of Central Galaxies in Semi-analytic Models of Galaxy Formation. 2018, 863, 40, [arXiv:astro-ph.GA/1803.02363]. 40. [CrossRef]
- Zhoolideh Haghighi, M.H.; Raouf, M.; Khosroshahi, H.G.; Farhang, A.; Gozaliasl, G. On the Reliability of Photometric and Spectroscopic Tracers of Halo Relaxation. 2020, 904, 36, [arXiv:astro-ph.GA/2009.14217]. 36. [CrossRef]
- Jones, L.; Ponman, T.; Horton, A.; Babul, A.; Ebeling, H.; Burke, D. The nature and space density of fossil groups of galaxies. Monthly Notices of the Royal Astronomical Society 2003, 343, 627–638. [Google Scholar] [CrossRef]
- Khosroshahi, H.G.; Miraghaei, H.; Raouf, M. Fossil Systems; a Multi-wavelength Approach towards Understanding Galaxy Formation. Galaxies 2016, 4. [Google Scholar] [CrossRef]
- Farhang, A.; Khosroshahi, H.G.; Mamon, G.A.; Dariush, A.A.; Raouf, M. Evolution of Compact and Fossil Groups of Galaxies from Semi-analytical Models of Galaxy Formation. The Astrophysical Journal 2017, 840, 58. [Google Scholar] [CrossRef]
- Raouf, M.; Khosroshahi, H.G.; Dariush, A. Evolution of Galaxy Groups in the Illustris Simulation. 2016, 824, 140, [arXiv:astro-ph.GA/1604.05315]. [CrossRef]
- Alonso, M.S.; Lambas, D.G.; Tissera, P.; Coldwell, G. Active galactic nuclei and galaxy interactions. 2007, 375, 1017–1024, [arXiv:astro-ph/astro-ph/0701192]. [CrossRef]
- Weston, M.E.; McIntosh, D.H.; Brodwin, M.; Mann, J.; Cooper, A.; McConnell, A.; Nielsen, J.L. Incidence of WISE -selected obscured AGNs in major mergers and interactions from the SDSS. 2017, 464, 3882–3906, [arXiv:astro-ph.GA/1609.04832]. [CrossRef]
- Raouf, M.; Shabala, S.S.; Croton, D.J.; Khosroshahi, H.G.; Bernyk, M. The many lives of active galactic nuclei-II: The formation and evolution of radio jets and their impact on galaxy evolution. 2017, 471, 658–670, [arXiv:astro-ph.GA/1706.06595]. [CrossRef]
- Pasini, T.; Finoguenov, A.; Brüggen, M.; Gaspari, M.; de Gasperin, F.; Gozaliasl, G. Radio galaxies in galaxy groups: kinematics, scaling relations, and AGN feedback 2021. [CrossRef]
- Miraghaei, H.; Khosroshahi, H.G.; Klöckner, H.R.; Ponman, T.J.; Jetha, N.N.; Raychaudhury, S. IGM Heating and AGN activity in Fossil Galaxy Groups. In Proceedings of the Multiwavelength AGN Surveys and Studies; Mickaelian, A.M.; Sanders, D.B., Eds., 2014, Vol. 304, pp. 349–350. [CrossRef]
- Aalto, S.; Garcia-Burillo, S.; Muller, S.; Winters, J.M.; van der Werf, P.; Henkel, C.; Costagliola, F.; Neri, R. Detection of HCN, HCO+, and HNC in the Mrk 231 molecular outflow. Dense molecular gas in the AGN wind. 2012, 537, A44, [arXiv:astro-ph.CO/1111.6762]. [CrossRef]
- Martin, C.L.; HIGGS Team. HIGGS: The Herschel Inner Galaxy Gas Survey, First Results. In Proceedings of the American Astronomical Society Meeting Abstracts #217; American Astronomical Society Meeting Abstracts. 2011; Vol. 217, p. 255.06. [Google Scholar]
- Aladro, R.; Viti, S.; Bayet, E.; Riquelme, D.; Martín, S.; Mauersberger, R.; Martín-Pintado, J.; Requena-Torres, M.A.; Kramer, C.; Weiß, A. A λ = 3 mm molecular line survey of NGC 1068. Chemical signatures of an AGN environment. 2013, 549, A39, [arXiv:astro-ph.CO/1210.4571]. [CrossRef]
- Watanabe, Y.; Sakai, N.; Sorai, K.; Yamamoto, S. Spectral Line Survey toward the Spiral Arm of M51 in the 3 and 2 mm Bands. 2014, 788, 4, [arXiv:astro-ph.GA/1404.1202]. [CrossRef]
- Knapen, J.H.; Comerón, S.; Seidel, M.K. MUSE-AO view of the starburst-AGN connection: NGC 7130. 2019, 621, L5, [arXiv:astro-ph.GA/1812.00809]. [CrossRef]
- Winkel, N.; Husemann, B.; Davis, T.A.; Smirnova-Pinchukova, I.; Bennert, V.N.; Combes, F.; Gaspari, M.; Jahnke, K.; Neumann, J.; O’Dea, C.P.; et al. The Close AGN Reference Survey (CARS). Tracing the circumnuclear star formation in the super-Eddington NLS1 Mrk 1044. 2022, 663, A104, [arXiv:astro-ph.GA/2205.06271]. [CrossRef]
- Imanishi, M.; Nakanishi, K.; Izumi, T.; Wada, K. ALMA Reveals an Inhomogeneous Compact Rotating Dense Molecular Torus at the NGC 1068 Nucleus. 2018, 853, L25, [arXiv:astro-ph.GA/1801.06564]. [CrossRef]
- Hopkins, P.F. A new class of accurate, mesh-free hydrodynamic simulation methods. 2015, 450, 53–110, [arXiv:astro-ph.CO/1409.7395]. [CrossRef]
| 1 | |
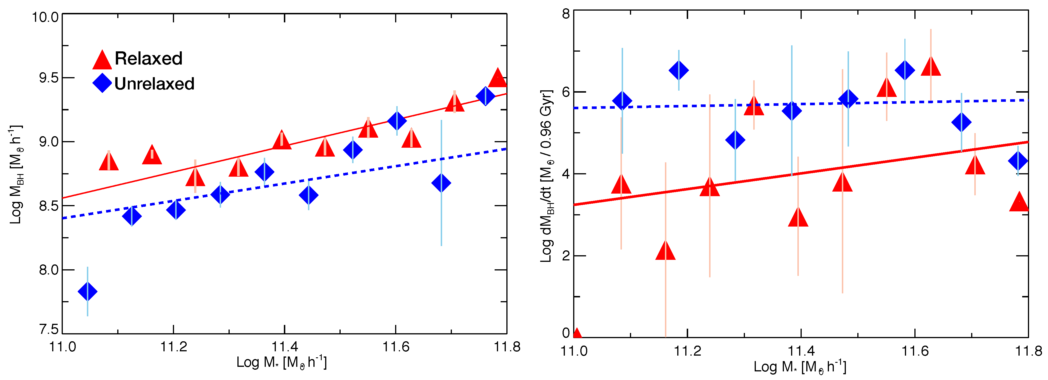
| 2 | The stable gravitational potential within relaxed groups reduces the accretion rate onto the central supermassive blackhole compared to more dynamically unrelaxed environments. |
| 3 |





Disclaimer/Publisher’s Note: The statements, opinions and data contained in all publications are solely those of the individual author(s) and contributor(s) and not of MDPI and/or the editor(s). MDPI and/or the editor(s) disclaim responsibility for any injury to people or property resulting from any ideas, methods, instructions or products referred to in the content. |
© 2024 by the authors. Licensee MDPI, Basel, Switzerland. This article is an open access article distributed under the terms and conditions of the Creative Commons Attribution (CC BY) license (http://creativecommons.org/licenses/by/4.0/).
