Submitted:
15 February 2024
Posted:
15 February 2024
You are already at the latest version
Abstract
Keywords:
1. Introduction
2. Elastic Local Buckling of Oblique Plates under Uniform Uniaxial Normal Stress
2.1. Outline of Theoretical Analysis Modeling
2.2. Outline of Theoretical Analysis Modeling
2.3. Finite Element Model for Validation of Energy Methods
2.4. Comparison with Buckling Coefficients of Previous Studies
3. Elastic Local Buckling of Oblique Plate under Uniaxial Normal Stress
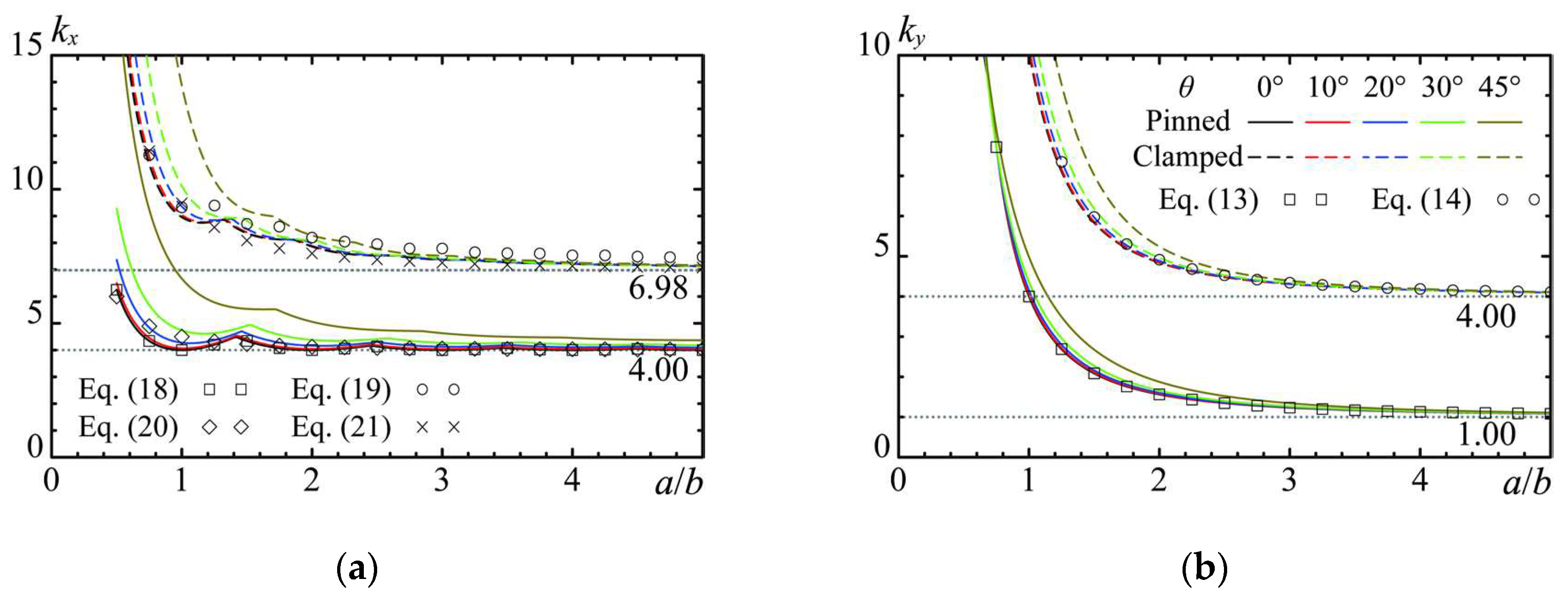
3.1. Influence of Geometries and Boundary Conditions on Elastic Local Buckling
3.2. Deviation of Design Equations for Oblique Plates under Uniaxial Normal Stress
3.3. Validation of Proposed Design Equations
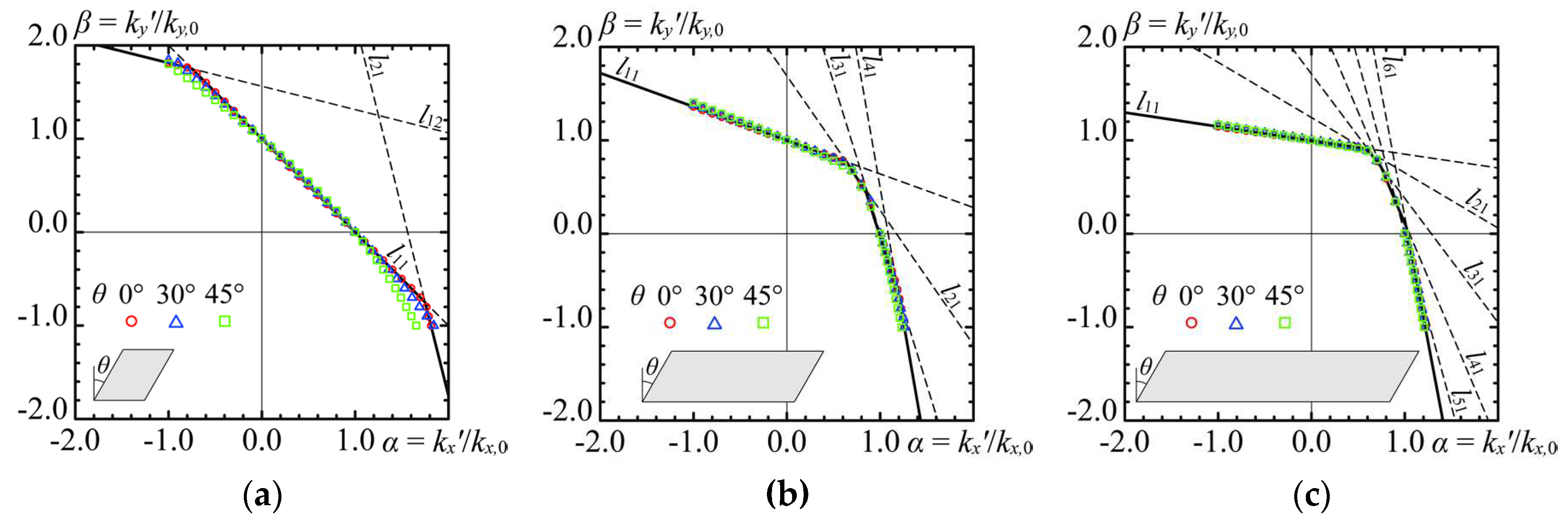
4. Elastic Local Buckling of Oblique Plate under Biaxial Normal Stresses
5. Conclusions
- The critical buckling stress for oblique plates under uniaxial stress was calculated through an energy method that employs the Cartesian coordinate system for displacement function derivation, contrasting with previous studies that used the coordinate system aligned with oblique edges. The accuracy of the proposed method is corroborated by comparison with buckling eigenvalue results from FEA, demonstrating superior precision over prior literature.
- We derived design equations to facilitate the simplification of buckling load calculations for stresses acting parallel or perpendicular to the longitudinal direction. Comparisons with FEA results validate the adequacy of these equations, enabling engineers to efficiently compute buckling loads for panel zones.
- The impact of the oblique angle on the buckling stress for oblique plates under biaxial stress was determined to be insignificant. Based on this insight, the buckling stress correlation function for rectangular plates under biaxial stress, as proposed by Timoshenko, is applicable for estimating the buckling stress of oblique plates.
Author Contributions
Funding
Data Availability Statement
Conflicts of Interest
References
- Architectural Institute of Japan (AIJ). AIJ Recommendations for Design of Connections in Steel Structures; Architectural Institute of Japan: Tokyo, Japan, 2021; pp. 225–258.
- American Institute of Steel Construction (AISC). Seismic Provisions for Structural Steel Buildings; American Institute of Steel Construction: Chicago, Illinois, USA, 2016; pp. 9.1-103– 9.1-105.
- Wittrick, W.H. Buckling of oblique plates with clamped edges under uniform shear. The Aeronautical Quarterly. 1954, 5, 1, 39–51. [CrossRef]
- Cook, I.T.; Rockey, K.C. Shear buckling of clamped and simply-supported infinitely long plates reinforced by transverse stiffeners. The Aeronautical Quarterly. 1962, 13, 1, 41–70. [CrossRef]
- Cook, I.T.; Rockey, K.C. Shear buckling of rectangular plates with mixed boundary conditions. The Aeronautical Quarterly. 1962, 14, 4, 349–356. [CrossRef]
- Ikarashi, K.; Utsuki, Y.; Mitsui, K. Elastic Shear buckling strength of L-shaped beam-to-column joint panels composed with I-shaped members. J Strct Const Eng (Trans of AIJ) 2020, 85, 771, 759–769, https://doi.org/10.3130/aijs.85.759. (In Japanese).
- Mitsui, K.; Ikarashi, K. Elastic shear buckling coefficients for oblique plates. Mathematical Problems in Engineering 2022, 2022, 9532380. [Google Scholar] [CrossRef]
- Timoshenko, S.P.; Gere, J.M. Theory of elastic stability, 2nd ed.; McGraw-Hill Book Co., Inc.: New York, New York, USA, 1959; pp. 319–439. [Google Scholar]
- Araghi, S.N.; Shanmugam, N.E. Strength of biaxially loaded orthotropic plates. Thin-Walled Structures 2012, 53, 40–47. [Google Scholar] [CrossRef]
- Wang, X.; Wang, Y. Buckling analysis of thin rectangular plates under uniaxial or biaxial compressive point loads by the differential quadrature method. Int J Mech Sci 2015, 101, 38–48. [Google Scholar] [CrossRef]
- Wittrick, W.H. Buckling of oblique plates with clamped edges under uniform compression. The Aeronautical Quarterly. 1953, 4, 2, 151–163. [CrossRef]
- Durvasula, S. Buckling of Simply Supported Skew Plates. J Eng Mech. 1971, 97, 3, 967–979. [CrossRef]
- Kennedy, J.B.; Prabhakara, M.K. Buckling of simply supported orthotropic skew plates. The Aeronautical Quarterly. 1978, 29, 3, 161–174. [CrossRef]
- Mizusawa, T.; Kajita, T.; Naruoka, M. Analysis of skew plate problems with various constraints. J sound and vibration. 1980, 73, 4, 575–584. [CrossRef]
- Mizusawa, T.; Leonard, J.W. Vibration and buckling of plates with mixed boundary conditions. Eng Strct. 1990, 12, 4, 285–290. [CrossRef]
- Wittrick, W.H. On the buckling of oblique plates in shear: An examination of the critical shear stresses in 45-degree parallelogram plates. Aircraft Engineering and Aerospace Technology 1956, 28, 25–27. [Google Scholar] [CrossRef]
- Iguchi, S. Iguchi, S. Eine Lösung für die Berechnung der biegsamen rechteckigen Platten. Report Julius Springer, Berlin, Germany, 1933. [CrossRef]
- Yoshimura, Y.; Iwata, K. Buckling of simply supported oblique plates. J Appl Mech. 1963, 30, 3, 363–366. [CrossRef]
- Ashton, J.E. Stability of clamped skew plates under combined loads. J Appl Mech. 1969, 36, 1, 139–140. [CrossRef]
- Lotfi, S.; Azhari, M.; Heidarpour, A. Inelastic initial local buckling of skew thin thickness-tapered plates with and without intermediate supports using the isoparametric spline finite strip method. Thin-Walled Structures. 2011, 49, 11, 1475–1482. [CrossRef]
- MSC Software: Marc 2022 Feature Pack 1, Volume A: Theory and User Information, USA, 2023.
- MSC Software: Marc 2022 Feature Pack 1, Volume B: Element Library, USA, 2023.
- Anderson, R.A. Charts giving Critical Compressive Stress of Continuous Flat Sheet Divided into Parallelogram-shaped Panels. National Advisory Committee for Aeronautics (NACA), Washington, D.C, USA, 1951.
- Architectural Institute of Japan (AIJ). Recommendations for Stability Design of Steel Structures; Architectural Institute of Japan: Tokyo, Japan, 2018; pp. 180–228. [Google Scholar]









| Stress directions | Boundary conditions | Aspect ratio a/b | |||||
|---|---|---|---|---|---|---|---|
| 0.5 | 1.0 | 1.5 | 2.0 | 3.0 | |||
| σcr,x | Pinned | Present study | 8.82 | 4.64 | 4.91 | 4.38 | 4.27 |
| FEA | 8.35 | 4.33 | 4.66 | 4.18 | 4.05 | ||
| Durvasula [12] | 7.80 | 4.81 | 4.78 | 4.52 | – | ||
| Kennedy [13] | 7.20 | 4.15 | 4.19 | 3.90 | – | ||
| Anderson [23] | 9.60 | 6.62 | 6.26 | 5.21 | – | ||
| Clamped | Present study | 29.22 | 10.45 | 8.85 | 8.09 | 7.42 | |
| FEA | 25.95 | 10.39 | 8.53 | 7.99 | 7.21 | ||
| Wittrick [11] | – | 10.23 | – | – | – | ||
| σcr,y | Pinned | Present study | 16.82 | 4.36 | 2.28 | 1.66 | 1.27 |
| FEA | 16.87 | 4.13 | 2.16 | 1.59 | 1.24 | ||
| Durvasula [12] | 13.80 | 4.00 | 1.98 | 1.51 | – | ||
| Kennedy [13] | 12.53 | 3.07 | 1.76 | 1.40 | – | ||
| Clamped | Present study | 38.28 | 11.41 | 6.19 | 4.96 | 4.33 | |
| FEA | 35.11 | 10.84 | 6.00 | 4.85 | 4.25 | ||
Disclaimer/Publisher’s Note: The statements, opinions and data contained in all publications are solely those of the individual author(s) and contributor(s) and not of MDPI and/or the editor(s). MDPI and/or the editor(s) disclaim responsibility for any injury to people or property resulting from any ideas, methods, instructions or products referred to in the content. |
© 2024 by the authors. Licensee MDPI, Basel, Switzerland. This article is an open access article distributed under the terms and conditions of the Creative Commons Attribution (CC BY) license (http://creativecommons.org/licenses/by/4.0/).