Submitted:
15 February 2024
Posted:
15 February 2024
You are already at the latest version
Abstract
Keywords:
1. Introduction
2. Materials and Methods
2.1. Plant preparation and extraction
2.2. Animals, housing, diet, and recording
2.3. Apparent digestibility and digestive tract histology
2.4. Phagocytosis assay and serum biochemistry
2.5. Meat quality and lipid peroxidation
2.6. Statistical analysis
3. Results and Discussion
3.1. Apparent digestibility and digestive tract histology
3.2. Phagocytic function and serum biochemistry
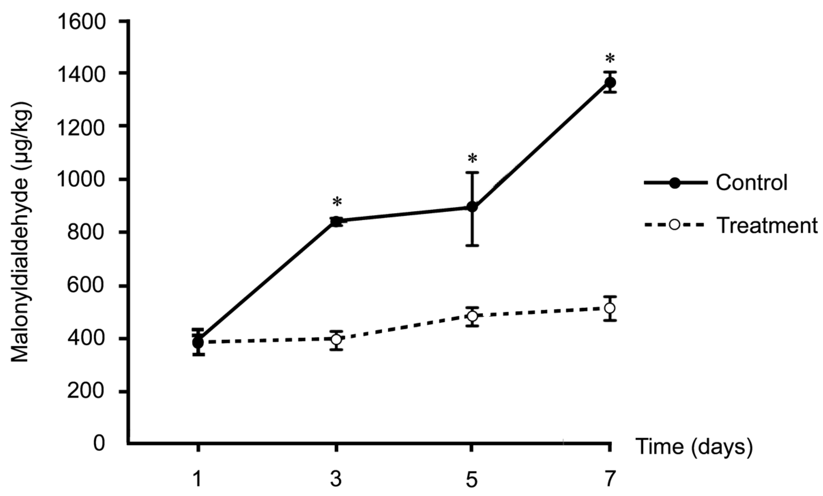
3.3. Meat quality and lipid peroxidation

4. Conclusion
Author Contributions
Funding
Institutional Review Board Statement
Data Availability Statement
Acknowledgments
Conflicts of Interest
References
- Devasagayam TPA, Tilak JC, Boloor KK, Sane KS, Ghaskadbi SS, Lele RD. Free radicals and antioxidants in human health: current status and future prospects. J Assoc Phys India 2004;52:794-804.
- Liu Z, Ren Z, Zhang J, Chuang CC, Kan-daswamy E, Zhou T, et al. Review article. Role of ROS and nutritional antioxidants in human diseases. Front Physiol 2018;9:477. [CrossRef]
- Tian T, Wang Z, Zhang J. Phatomechanisms of oxidative stress in inflammatory bowel disease and potential antioxidant therapies. Oxid Med Cell Longev 2017;4535194. [CrossRef]
- Oglesbee BL, Lord B. Gastrointestinal diseases of rabbits. In: Ferrets, rabbits, and rodents: Clinical medicine and Surgery (4th ed.). 2020;174-187p. [CrossRef]
- Skowron M, Zalejska-Fiolka J, Blaszczyk U, Chwalinska E, Owczarek A, Brikner E. Antioxidant enzyme activities in rabbits under oxidative stress induced by hight fat diet. J Vet Res 2018;62:199-205. [CrossRef]
- Abdel-Khalek, AM. Supplemental antioxidants in rabbit nutrition: A review. Livest Sci 2013;158:95-105. [CrossRef]
- Krishnaiah D, Sarbatly R, Nithyanandam R. A review of the antioxidant potential of medicinal plant species. Food Bioprod Process 2011;89:217-33. [CrossRef]
- Brewer, MS. Natural antioxidants: sources, compounds, mechanisms of action, and potential applications. Compr Rev Food Sci Food Saf 2011;10:221-47. [CrossRef]
- Christaki E, Bonos E, Giannenas I, Florou-Paneri P. Aromatic plants as a source of bioactive compounds. Agriculture 2012;2:228-43. [CrossRef]
- Gerencsér ZS, Szendrő ZS, Matics ZS, Radnai I, Kovacs M, Nagy I, et al. Effect of Dietary supplementation of Spirulina (Arthrospira platensis) and Thyme (Thymus vulgaris) on apparent digestibility and productive performance of growing rabbits. World Rabbit Sci 2014;22: 1-9. [CrossRef]
- Kovitvadhi A, Gasco L, Ferrocino I, Rotolo L, Dabbou S, Malfatto V, et al. Effect of purple loosestrife (Lythrum salicaria) diet supplementation in rabbit nutrition on performance, digestibility, health and meat quality. Animal 2016;10:10-8. [CrossRef]
- Mukherjee PK, Kumar V, Kumar NS, Heinrich M. The ayurvedic medicine Clitoria ternatea- from traditional use to scientific assessment. J Ethnopharmacol 2008;20:291-301. [CrossRef]
- Devi BP, Boominathan R, Mandal SC. Anti-inflammatory, analgesic and antipyretic properties of Clitoria ternatea root. Fitoterapia 2003;74:345-9. [CrossRef]
- Ponnusamy S, Gnanaraj WE, Antonisamy JM, Selvakumar V, Nelson J. The effect of leaves extracts of Clitoria ternatea Linn against the fish pathogens. Asian Pac J Trop Med 2010;3:723-6. [CrossRef]
- Mukhopadhyay R, Bhattacharya S, Biswas M. In vitro free radical scavenging activity of Clitorea ternatea leaf extracts. J Adv Pharm Educ Res 2012;2:206-9.
- Rabeta MS, An Nabil Z. Total phenolic compounds and scavenging activity in Clitoria ternatea and Vitex negundo linn. Int Food Res J 2013;20:495-500.
- Verma PR, Itankar RP, Arora SK. Evaluation of antidiabetic antihyperlipidemic and pancreatic regeneration, potential of aerial parts of Clitoria ternatea. Rev Bras Farmacogn 2013;23:819-29. [CrossRef]
- Lowry JB, Schlink AC, Hoffmann D. Evaluation of three tropical legumes in diets for growing rabbits. Asian Austral J Anim Sci 1992;5:257-9. [CrossRef]
- Elamin KM, Elkhairey MA, Ahmed HB, Musa AM, Bakhiet AO. Effect of different feeds on performance and some blood constituents of local rabbits. Res J Vet Sci 2011;4:37-42. [CrossRef]
- Kovitvadhi, A. , Chandang, P., Tirawattanawanich, C., Kasemsuwan, S., Rukkwamsuk, T. The study on cluster and obstacles of meat rabbit production in Thailand. J Mahanakorn Vet Med 2019;4:115-27.
- Suwannamanee J, 2014. The utilization of extracted butterfly pea concentrate as a supplement for broiler chickens. (unpublished M.S. thesis, Chiang Mai Rahabhat University).
- A.O.A.C. 2000. Official Method of Analysis, 17th edition, Association of Official Analytical Chemists. Gaithersburg, MD, USA.
- Van Soest PJ, Robertson JB, Lewis BA. Methods for dietary fibre, neutral detergent fibre, and nonstarch polysaccharides in relation to animal nutrition. J Dairy Sci 1991;74: 3583-97. [CrossRef]
- European Economic Community. Analytical determination of starch. OJEC 1972;123:7.
- Gidenne T, Combes S, Feugier A, Jehl N, Arveux P, Boisot P, et al. Feed restriction strategy in the growing rabbit. 2. Impact on digestive health, growth and carcass characteristics. Animal 2009;3:509-15. [CrossRef]
- Perez JM, Lebas F, Gidenne T, Maertens L, Xiccato G, Parigi-Bini R, Dalle Zotte A, et al. European reference method for in vivo determination of diet digestibility in rabbits. World Rabbit Sci 1995;3:41-3. [CrossRef]
- Witte VC, Krause GF, Bailey ME. A new extraction method for determining 2- thiobarbituric acid values of pork and beef during storage. J Food Sci 1970;35:582-5. [CrossRef]
- Amad AA, Männer K, Wendler KR, Neumann K, Zentek J. Effects of a phytogenic feed additive on growth performance and ileal nutrient digestibility in broiler chickens. Poult Sci 2011;90:2811-6. [CrossRef]
- Hernández F, Madrid J, García V, Orengo J, Megías MD. Influence of two plant extracts on broilers performance, digestibility, and digestive organ size. Poult Sci 2004;83:169-74. [CrossRef]
- Chwen LT, Foo HL, Than NT, Choe DW. Growth performance, plasma fatty acids, villous height and crypt depth of preweaning piglets fed with medium chain triacylglycerol. Asian Australs J Anim Sci 2013;26: 700-4. [CrossRef]
- Tizard, I. 2013. Veterinary Immunology, 9th edition, Elsevier Saunders, St. Louis, MO, USA.
- Nithianantham K, Ping KY, Latha LY, Jothy SL, Darah I, Chen Y, et al. Evaluation of hepatoprotective effect of methanolic extract of Clitoria ternatea (Linn.) flower against acetaminophen-induced liver damage. Asian Pac J Trop Dis 2013;3:314-9. [CrossRef]
- Kumar CH, Ramesh A, Kumar JNS, Mohammed ishaq B. A review on hepatoprotective activity of medicinal plants. Int J Pharm Sci Res 2011;2:501-515. [CrossRef]
- Daisy P, Santosh K, Rajathi M. Antihyperglycemic and antihyperlipidemic effects of Clitoria ternatea Linn. in alloxan-induced diabetic rats. Afr J Microbiol Res 2009;3: 287-91.
- Lo Fiego DP, Santoro P, Macchioni P, Mazzoni D, Piattoni F, Tassone F, et al. The effect of dietary supplementation of vitamins C and E on the a-tocopherol content of muscles, liver and kidney, on the stability of lipids, and on certain meat quality parameters of the longissimus dorsi of rabbits. Meat Sci 2004;67: 319-327. [CrossRef]
- Dalle Zotte, A. Perception of rabbit meat quality and major factors influencing the rabbit carcass and meat quality. Livest Prod Sci 2002;75:11-32. [CrossRef]
| Chemical compositions | Control | CTE |
|---|---|---|
| Dry matter | 90.1 | 91.6 |
| Crude protein | 16.5 | 43.7 |
| Ether extract | 2.38 | 10.2 |
| Ash | 7.17 | 11.4 |
| Crude fiber | 13.0 | 2.90 |
| Neutral detergent fiber (NDF) | 27.7 | - |
| Acid detergent fiber (ADF) | 17.7 | - |
| Acid detergent lignin (ADL) | 4.53 | - |
| Starch | 29.7 | 23.4 |
| Parameters | Groups | SEM1 | P-value | |
|---|---|---|---|---|
| Control (n=8) | CTE (n=8) | |||
| Growth performances | ||||
| Initial body weight | 484 | 486 | 9.04 | 0.92 |
| Slaughter weight (SW) at 90 d | 2279 | 2275 | 94.4 | 0.98 |
| Daily weight gain (g/d) | 32.8 | 32.6 | 1.66 | 0.95 |
| Daily feed intake (g/d) | 94.7 | 106 | 4.96 | 0.29 |
| Feed conversion ratio | 2.91 | 3.28 | 0.12 | 0.13 |
| Apparent digestibility (%) | ||||
| Dry matter | 66.0 | 68.5 | 0.71 | 0.09 |
| Organic matter | 57.9 | 67.9 | 2.62 | 0.04 |
| Ether extract | 55.4 | 61.7 | 2.15 | 0.003 |
| Crude protein | 93.4 | 94.8 | 0.39 | 0.07 |
| Leukocyte phagocytic activity2 | ||||
| 75 days | 0.87 | 1.06 | 0.07 | 0.17 |
| 90 days | 1.26 | 1.42 | 0.06 | 0.50 |
| Alveolar macrophage activity2 | 0.97 | 0.86 | 0.06 | 0.43 |
| Serum biochemistry | ||||
| Total protein (g%) | 5.78 | 5.55 | 0.13 | 0.42 |
| Albumin (g%) | 3.35 | 3.28 | 0.05 | 0.59 |
| Globulin (g%) | 2.43 | 2.27 | 0.11 | 0.51 |
| Aspartate aminotransferase (AST, (U/L) | 60.2 | 50.3 | 7.05 | 0.52 |
| Alanine aminotransferase (ALT, U/L) | 53.2 | 35.7 | 6.67 | 0.20 |
| Blood urea nitrogen (g%) | 14.8 | 12.0 | 0.69 | 0.05 |
| Creatinine (g%) | 1.08 | 0.86 | 0.06 | 0.12 |
| Cholesterol (g%) | 96.5 | 88.5 | 11.2 | 0.74 |
| Villus height and crypt depth (µm) | ||||
| Jejunal height | 474 | 476 | 20.0 | 0.97 |
| Ilial height | 623 | 658 | 35.3 | 0.64 |
| Jejunal crypt | 108 | 114 | 4.27 | 0.49 |
| Ilial crypt | 122 | 124 | 3.30 | 0.74 |
| Carcass characteristics | ||||
| Skin, paws and feet (%SW) | 18.0 | 18.4 | 0.31 | 0.49 |
| Full gastrointestinal tract (%SW) | 22.3 | 23.7 | 1.40 | 0.63 |
| Cold carcass weight (CCW, g) | 1397 | 1367 | 60.0 | 0.82 |
| Dressing percentage (%) | 61.2 | 59.3 | 0.73 | 0.23 |
| Liver (%CCW) | 5.41 | 6.78 | 0.33 | 0.03 |
| Kidneys (%CCW) | 1.14 | 1.18 | 0.05 | 0.76 |
| Perirenal fat (%CCW) | 2.35 | 2.02 | 0.22 | 0.51 |
| Thoracic organs (%CCW) | 1.49 | 1.40 | 0.05 | 0.69 |
| Caecal trials | ||||
| Full caecum (%SW) | 6.84 | 7.45 | 0.55 | 0.60 |
| Empty caecum (%SW) | 1.52 | 1.61 | 0.09 | 0.65 |
| Caecal content (%SW) | 5.31 | 5.84 | 0.47 | 0.60 |
| Caecal pH | 6.57 | 6.45 | 0.07 | 0.46 |
| Meat quality | ||||
| pH24 | 5.89 | 5.79 | 0.01 | 0.005 |
| Lightness (L*) | 52.1 | 56.2 | 0.60 | 0.001 |
| Redness (a*) | 1.54 | 1.60 | 0.04 | 0.49 |
| Yellowness (b*) | 3.50 | 1.71 | 0.36 | 0.01 |
| Hue (H*) | 60.7 | 33.7 | 5.09 | 0.006 |
| Chroma (C*) | 3.93 | 2.81 | 0.27 | 0.03 |
| Moisture (%fresh meat) | 76.4 | 77.1 | 0.23 | 0.13 |
| Protein (%dry matter) | 92.8 | 92.4 | 0.23 | 0.39 |
| Ether extract (%dry matter) | 1.86 | 1.82 | 0.24 | 0.95 |
| Ash (%dry matter) | 4.93 | 5.04 | 0.06 | 0.45 |
Disclaimer/Publisher’s Note: The statements, opinions and data contained in all publications are solely those of the individual author(s) and contributor(s) and not of MDPI and/or the editor(s). MDPI and/or the editor(s) disclaim responsibility for any injury to people or property resulting from any ideas, methods, instructions or products referred to in the content. |
© 2024 by the authors. Licensee MDPI, Basel, Switzerland. This article is an open access article distributed under the terms and conditions of the Creative Commons Attribution (CC BY) license (http://creativecommons.org/licenses/by/4.0/).