Submitted:
02 August 2023
Posted:
03 August 2023
You are already at the latest version
Abstract
Keywords:
1. Introduction
2. Materials and Methods
2.1. Rearing of Tenebrio molitor and production of insect meals
2.2. Fish Diets

| Ingredients (g/kg) | Control | TM-10 | MAP-TM-10 |
| Fish feed | 900 | 900 | 900 |
| Wheat (extruded) | 60 | 0 | 0 |
| Fish meal (71% CP) | 40 | 0 | 0 |
| “Conventional” insect meal (35% CP) | 0 | 100 | 0 |
| “Enriched” insect meal (35% CP) | 0 | 0 | 100 |
| Calculated analysis (as fed) | |||
| Digestible energy (Mj/kg) | 15.79 | 15.80 | 15.80 |
| Total phenolic content (TPC) of Fish feeds (mg GAE/L extract phenol) | 12.42 | 44.13 | 56.08 |
| Crude protein (g/kg) | 439.9 | 440.0 | 440.0 |
| Nitrogen Free Extract (g/kg) | 163.8 | 126.0 | 126.0 |
2.3. Dietary experiments, rearing facilities, and experimental conditions
2.4. Sampling procedures
2.5. Manual haematological analysis
2.6. Determination of HSPs, MAPKs and apoptosis
2.7. Statistical analysis and formulae
2.8. Experimental - ethics aspects
3. Results
3.1. Growth performance and relevant growth indices
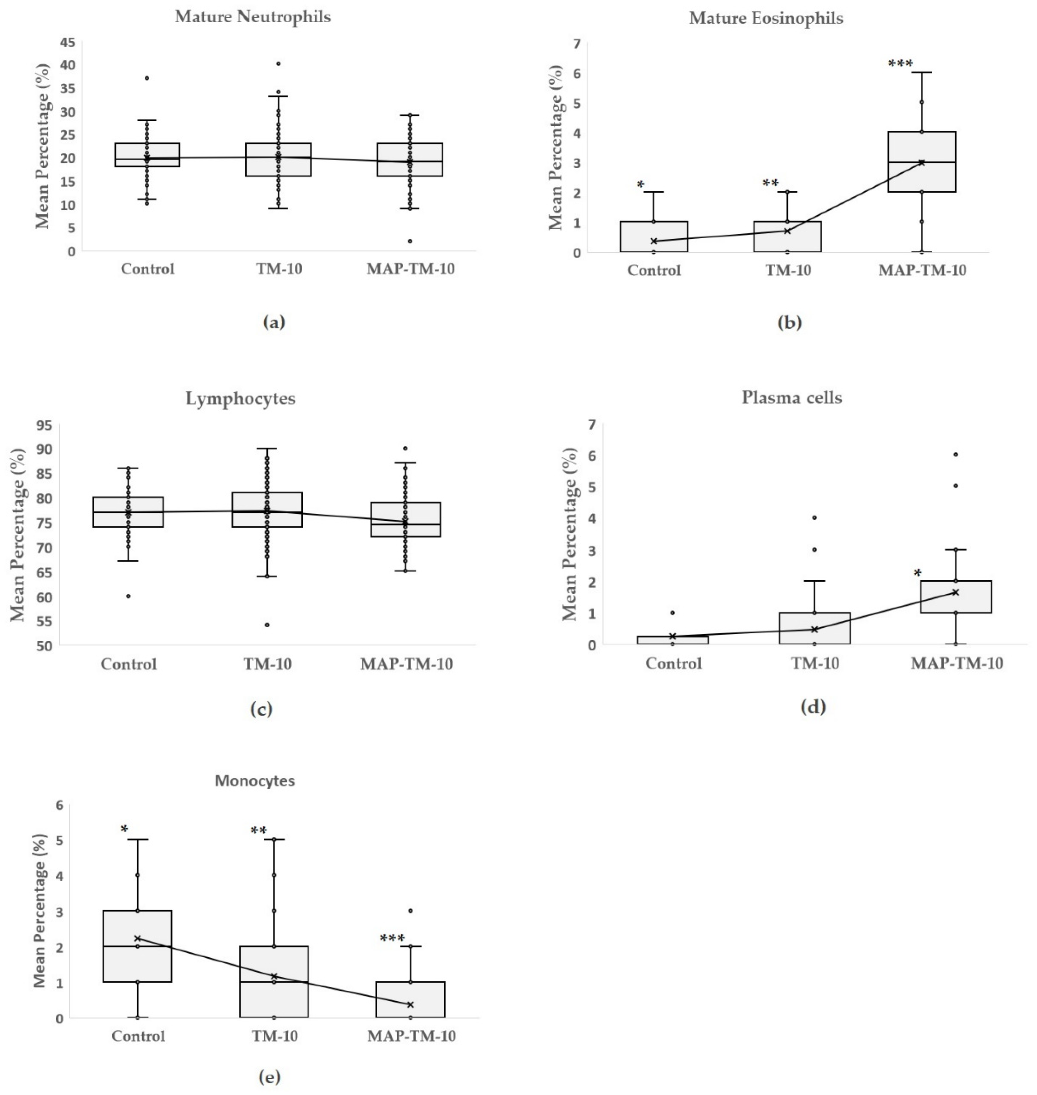
3.2. Differential Leukocyte Count (DLC)

3.3. Heat Shock Induction
3.4. MAPK signaling
3.5. Apoptosis
4. Discussion
4.1. Gilthead sea bream growth performance
4.2. White blood cells modultation
4.3. Apoptosis, Heat Shock Proteins & MAPK signaling
5. Conclusions
Author Contributions
Funding
Institutional Review Board Statement
Informed Consent Statement
Data Availability Statement
Acknowledgments
Conflicts of Interest
References
- Fabrikov, D.; Vargas-García, M.D.C.; Barroso, F.G.; Sánchez-Muros, M.J.; Cacua Ortíz, S.M.; Morales, A.E.; Cardenete, G.; Tomás-Almenar, C.; Melenchón, F. Effect on Intermediary Metabolism and Digestive Parameters of the High Substitution of Fishmeal with Insect Meal in Sparus aurata Feed. Insects 2021, 12, 965. [Google Scholar] [CrossRef]
- Shafique, L.; Abdel-Latif, H.M.R.; Hassan, F.; Alagawany, M.; Naiel, M.A.E.; Dawood, M.A.O.; Yilmaz, S.; Liu, Q. The Feasibility of Using Yellow Mealworms (Tenebrio molitor): Towards a Sustainable Aquafeed Industry. Animals 2021, 11, 811. [Google Scholar] [CrossRef]
- Gasco, L.; Henry, M.; Piccolo, G.; Marono, S.; Gai, F.; Renna, M.; Lussiana, C.; Antonopoulou, E.; Mola, P.; Chatzifotis, S. Tenebrio molitor Meal in Diets for European Sea Bass ( Dicentrarchus labrax L.) Juveniles: Growth Performance, Whole Body Composition and in Vivo Apparent Digestibility. Animal Feed Science and Technology 2016, 220, 34–45. [Google Scholar] [CrossRef]
- Ghosh, S.; Lee, S.-M.; Jung, C.; Meyer-Rochow, V.B. Nutritional Composition of Five Commercial Edible Insects in South Korea. Journal of Asia-Pacific Entomology 2017, 20, 686–694. [Google Scholar] [CrossRef]
- Gkinali, A.-A.; Matsakidou, A.; Vasileiou, E.; Paraskevopoulou, A. Potentiality of Tenebrio molitor Larva-Based Ingredients for the Food Industry: A Review. Trends in Food Science & Technology 2022, 119, 495–507. [Google Scholar] [CrossRef]
- Gasco, L.; Biasato, I.; Dabbou, S.; Schiavone, A.; Gai, F. Animals Fed Insect-Based Diets: State-of-the-Art on Digestibility, Performance and Product Quality. Animals 2019, 9, 170. [Google Scholar] [CrossRef]
- Tippayadara, N.; Dawood, M.A.O.; Krutmuang, P.; Hoseinifar, S.H.; Doan, H.V.; Paolucci, M. Replacement of Fish Meal by Black Soldier Fly (HermetiaiIllucens) Larvae Meal: Effects on Growth, Haematology, and Skin Mucus Immunity of Nile Tilapia, Oreochromis Niloticus. Animals 2021, 11, 193. [Google Scholar] [CrossRef]
- Sánchez-Muros, M.; De Haro, C.; Sanz, A.; Trenzado, C.E.; Villareces, S.; Barroso, F.G. Nutritional Evaluation of Tenebrio molitor Meal as Fishmeal Substitute for Tilapia ( Oreochromis niloticus ) Diet. Aquacult Nutr 2016, 22, 943–955. [Google Scholar] [CrossRef]
- Tubin, J.S.B.; Paiano, D.; Hashimoto, G.S.D.O.; Furtado, W.E.; Martins, M.L.; Durigon, E.; Emerenciano, M.G.C. Tenebrio Molitor Meal in Diets for Nile Tilapia Juveniles Reared in Biofloc System. Aquaculture 2020, 519, 734763. [Google Scholar] [CrossRef]
- Fabrikov, D.; Sánchez-Muros, M.J.; Barroso, F.G.; Tomás-Almenar, C.; Melenchón, F.; Hidalgo, M.C.; Morales, A.E.; Rodriguez-Rodriguez, M.; Montes-Lopez, J. Comparative Study of Growth Performance and Amino Acid Catabolism in Oncorhynchus mykiss, Tinca tinca and Sparus aurata and the Catabolic Changes in Response to Insect Meal Inclusion in the Diet. Aquaculture 2020, 529, 735731. [Google Scholar] [CrossRef]
- Antonopoulou, E.; Nikouli, E.; Piccolo, G.; Gasco, L.; Gai, F.; Chatzifotis, S.; Mente, E.; Kormas, K.A. Reshaping Gut Bacterial Communities after Dietary Tenebrio molitor Larvae Meal Supplementation in Three Fish Species. Aquaculture 2019, 503, 628–635. [Google Scholar] [CrossRef]
- Iaconisi, V.; Secci, G.; Sabatino, G.; Piccolo, G.; Gasco, L.; Papini, A.M.; Parisi, G. Effect of Mealworm (Tenebrio Molitor L.) Larvae Meal on Amino Acid Composition of Gilthead Sea Bream (Sparus aurata L.) and Rainbow Trout (Oncorhynchus mykiss W.) Fillets. Aquaculture 2019, 513, 734403. [Google Scholar] [CrossRef]
- Mente, E.; Bousdras, T.; Feidantsis, K.; Panteli, N.; Mastoraki, M.; Kormas, K.A.; Chatzifotis, S.; Piccolo, G.; Gasco, L.; Gai, F.; et al. Tenebrio molitor Larvae Meal Inclusion Affects Hepatic Proteome and Apoptosis and/or Autophagy of Three Farmed Fish Species. Sci Rep 2022, 12, 121. [Google Scholar] [CrossRef] [PubMed]
- Terova, G.; Gini, E.; Gasco, L.; Moroni, F.; Antonini, M.; Rimoldi, S. Effects of Full Replacement of Dietary Fishmeal with Insect Meal from Tenebrio molitor on Rainbow Trout Gut and Skin Microbiota. J Anim Sci Biotechnol 2021, 12, 30. [Google Scholar] [CrossRef] [PubMed]
- Rema, P.; Saravanan, S.; Armenjon, B.; Motte, C.; Dias, J. Graded Incorporation of Defatted Yellow Mealworm (Tenebrio molitor) in Rainbow Trout (Oncorhynchus mykiss) Diet Improves Growth Performance and Nutrient Retention. Animals 2019, 9, 187. [Google Scholar] [CrossRef]
- Jeong, S.-M.; Khosravi, S.; Mauliasari, I.R.; Lee, S.-M. Dietary Inclusion of Mealworm (Tenebrio molitor) Meal as an Alternative Protein Source in Practical Diets for Rainbow Trout (Oncorhynchus mykiss) Fry. Fish Aquatic Sci 2020, 23, 12. [Google Scholar] [CrossRef]
- Melenchón, F.; Larrán, A.M.; De Mercado, E.; Hidalgo, M.C.; Cardenete, G.; Barroso, F.G.; Fabrikov, D.; Lourenço, H.M.; Pessoa, M.F.; Tomás-Almenar, C. Potential Use of Black Soldier Fly ( Hermetia illucens ) and Mealworm (Tenebrio molitor) Insectmeals in Diets for Rainbow Trout ( Oncorhynchus mykiss ). Aquacult. Nutr. 2021, 27, 491–505. [Google Scholar] [CrossRef]
- Chemello, G.; Renna, M.; Caimi, C.; Guerreiro, I.; Oliva-Teles, A.; Enes, P.; Biasato, I.; Schiavone, A.; Gai, F.; Gasco, L. Partially Defatted Tenebrio molitor Larva Meal in Diets for Grow-Out Rainbow Trout, Oncorhynchus mykiss (Walbaum): Effects on Growth Performance, Diet Digestibility and Metabolic Responses. Animals 2020, 10, 229. [Google Scholar] [CrossRef]
- Belforti, M.; Gai, F.; Lussiana, C.; Renna, M.; Malfatto, V.; Rotolo, L.; De Marco, M.; Dabbou, S.; Schiavone, A.; Zoccarato, I.; et al. Tenebrio molitor Meal in Rainbow Trout ( Oncorhynchus mykiss ) Diets: Effects on Animal Performance, Nutrient Digestibility and Chemical Composition of Fillets. Italian Journal of Animal Science 2015, 14, 4170. [Google Scholar] [CrossRef]
- Su, J.; Gong, Y.; Cao, S.; Lu, F.; Han, D.; Liu, H.; Jin, J.; Yang, Y.; Zhu, X.; Xie, S. Effects of Dietary Tenebrio Molitor Meal on the Growth Performance, Immune Response and Disease Resistance of Yellow Catfish (Pelteobagrus fulvidraco). Fish Shellfish Immunol 2017, 69, 59–66. [Google Scholar] [CrossRef]
- Roncarati, A.; Gasco, L.; Parisi, G.; Terova, G. Growth Performance of Common Catfish ( Ameiurus Melas Raf.) Fingerlings Fed Mealworm ( Tenebrio molitor ) Diet. Journal of Insects as Food and Feed 2015, 1, 233–240. [Google Scholar] [CrossRef]
- Tran, H.Q.; Kiljunen, M.; Van Doan, H.; Stejskal, V. European Perch (Perca fluviatilis) Fed Dietary Insect Meal (Tenebrio Molitor): From a Stable Isotope Perspective. Aquaculture 2021, 545, 737265. [Google Scholar] [CrossRef]
- Tran, H.Q.; Van Doan, H.; Stejskal, V. Does Dietary Tenebrio molitor Affect Swimming Capacity, Energy Use, and Physiological Responses of European Perch Perca fluviatilis? Aquaculture 2021, 539, 736610. [Google Scholar] [CrossRef]
- Tran, H.Q.; Prokešová, M.; Zare, M.; Matoušek, J.; Ferrocino, I.; Gasco, L.; Stejskal, V. Production Performance, Nutrient Digestibility, Serum Biochemistry, Fillet Composition, Intestinal Microbiota and Environmental Impacts of European Perch (Perca fluviatilis) Fed Defatted Mealworm (Tenebrio molitor). Aquaculture 2022, 547, 737499. [Google Scholar] [CrossRef]
- Ng, W.-K.; Liew, F.-L.; Ang, L.-P.; Wong, K.-W. Potential of Mealworm ( Tenebrio Molitor ) as an Alternative Protein Source in Practical Diets for African Catfish, Clarias Gariepinus: Mealworm as a Protein Source for Catfish. Aquaculture Research 2001, 32, 273–280. [Google Scholar] [CrossRef]
- Bousdras, T.; Feidantsis, K.; Panteli, N.; Chatzifotis, S.; Piccolo, G.; Gasco, L.; Gai, F.; Antonopoulou, E. Dietary Tenebrio molitor Larvae Meal Inclusion Exerts Tissue-Specific Effects on Cellular, Metabolic, and Antioxidant Status in European Sea Bass (Dicentrarchus labrax) and Gilthead Seabream (Sparus aurata). Aquaculture Nutrition 2022, 2022, 1–20. [Google Scholar] [CrossRef]
- Henry, M.A.; Golomazou, E.; Asimaki, A.; Psofakis, P.; Fountoulaki, E.; Mente, E.; Rumbos, C.I.; Athanassiou, C.G.; Karapanagiotidis, I.T. Partial Dietary Fishmeal Replacement with Full-Fat or Defatted Superworm (Zophobas morio) Larvae Meals Modulates the Innate Immune System of Gilthead Seabream, Sparus aurata. Aquaculture Reports 2022, 27, 101347. [Google Scholar] [CrossRef]
- Piccolo, G.; Iaconisi, V.; Marono, S.; Gasco, L.; Loponte, R.; Nizza, S.; Bovera, F.; Parisi, G. Effect of Tenebrio molitor Larvae Meal on Growth Performance, in Vivo Nutrients Digestibility, Somatic and Marketable Indexes of Gilthead Sea Bream (Sparus aurata). Animal Feed Science and Technology 2017, 226, 12–20. [Google Scholar] [CrossRef]
- Mastoraki, M.; Katsika, L.; Enes, P.; Guerreiro, I.; Kotzamanis, Y.P.; Gasco, L.; Chatzifotis, S.; Antonopoulou, E. Insect Meals in Feeds for Juvenile Gilthead Seabream (Sparus aurata): Effects on Growth, Blood Chemistry, Hepatic Metabolic Enzymes, Body Composition and Nutrient Utilization. Aquaculture 2022, 561, 738674. [Google Scholar] [CrossRef]
- Iaconisi, V.; Marono, S.; Parisi, G.; Gasco, L.; Genovese, L.; Maricchiolo, G.; Bovera, F.; Piccolo, G. Dietary Inclusion of Tenebrio molitor Larvae Meal: Effects on Growth Performance and Final Quality Treats of Blackspot Sea Bream ( Pagellus bogaraveo ). Aquaculture 2017, 476, 49–58. [Google Scholar] [CrossRef]
- Jeong, S.-M.; Khosravi, S.; Yoon, K.-Y.; Kim, K.-W.; Lee, B.-J.; Hur, S.-W.; Lee, S.-M. Mealworm, Tenebrio molitor, as a Feed Ingredient for Juvenile Olive Flounder, Paralichthys olivaceus. Aquaculture Reports 2021, 20, 100747. [Google Scholar] [CrossRef]
- Ido, A.; Hashizume, A.; Ohta, T.; Takahashi, T.; Miura, C.; Miura, T. Replacement of Fish Meal by Defatted Yellow Mealworm (Tenebrio molitor) Larvae in Diet Improves Growth Performance and Disease Resistance in Red Seabream (Pargus major). Animals 2019, 9, 100. [Google Scholar] [CrossRef] [PubMed]
- Motte, C.; Rios, A.; Lefebvre, T.; Do, H.; Henry, M.; Jintasataporn, O. Replacing Fish Meal with Defatted Insect Meal (Yellow Mealworm Tenebrio molitor) Improves the Growth and Immunity of Pacific White Shrimp (Litopenaeus vannamei). Animals 2019, 9, 258. [Google Scholar] [CrossRef]
- Song, S.-G.; Chi, S.-Y.; Tan, B.-P.; Liang, G.-L.; Lu, B.-Q.; Dong, X.-H.; Yang, Q.-H.; Liu, H.-Y.; Zhang, S. Effects of Fishmeal Replacement by Tenebrio molitor Meal on Growth Performance, Antioxidant Enzyme Activities and Disease Resistance of the Juvenile Pearl Gentian Grouper ( Epinephelus lanceolatus ♂ × Epinephelus fuscoguttatus ♀ ). Aquac Res 2018, 49, 2210–2217. [Google Scholar] [CrossRef]
- Khosravi, S.; Kim, E.; Lee, Y.-S.; Lee, S.-M. Dietary Inclusion of Mealworm (Tenebrio Molitor) Meal as an Alternative Protein Source in Practical Diets for Juvenile Rockfish (Sebastes schlegeli). Entomological Research 2018, 48, 214–221. [Google Scholar] [CrossRef]
- So, O.; O, A.; Ka, J. Medicinal Plants and Sustainable Human Health: A Review. HIJ 2018, 2. [Google Scholar] [CrossRef]
- Kant, R.; Kumar, A. Review on Essential Oil Extraction from Aromatic and Medicinal Plants: Techniques, Performance and Economic Analysis. Sustainable Chemistry and Pharmacy 2022, 30, 100829. [Google Scholar] [CrossRef]
- Aqeel, U.; Aftab, T.; Khan, M.M.A.; Naeem, M. Regulation of Essential Oil in Aromatic Plants under Changing Environment. Journal of Applied Research on Medicinal and Aromatic Plants 2022, 100441. [Google Scholar] [CrossRef]
- Taghouti, I.; Cristobal, R.; Brenko, A.; Stara, K.; Markos, N.; Chapelet, B.; Hamrouni, L.; Buršić, D.; Bonet, J.-A. The Market Evolution of Medicinal and Aromatic Plants: A Global Supply Chain Analysis and an Application of the Delphi Method in the Mediterranean Area. Forests 2022, 13, 808. [Google Scholar] [CrossRef]
- Zuazo, V.H.D.; García-Tejero, I.F.; Gálvez Ruiz, B.; Cermeño Sacristán, P.; Cuadros Tavira, S. Response of Essential-Oil Yield of Aromatic and Medicinal Plants to Different Harvesting Strategies. Com. Sci. 2019, 10, 429–437. [Google Scholar] [CrossRef]
- Andreadis, S.S.; Panteli, N.; Mastoraki, M.; Rizou, E.; Stefanou, V.; Tzentilasvili, S.; Sarrou, E.; Chatzifotis, S.; Krigas, N.; Antonopoulou, E. Towards Functional Insect Feeds: Agri-Food By-Products Enriched with Post-Distillation Residues of Medicinal Aromatic Plants in Tenebrio molitor (Coleoptera: Tenebrionidae) Breeding. Antioxidants 2021, 11, 68. [Google Scholar] [CrossRef]
- de Elguea-Culebras, G.O.; Bravo, E.M.; Sánchez-Vioque, R. Potential Sources and Methodologies for the Recovery of Phenolic Compounds from Distillation Residues of Mediterranean Aromatic Plants. An Approach to the Valuation of by-Products of the Essential Oil Market–A Review. Industrial Crops and Products 2022, 175, 114261. [Google Scholar] [CrossRef]
- Mandalakis, M.; Anastasiou, T.I.; Martou, N.; Keisaris, S.; Greveniotis, V.; Katharios, P.; Lazari, D.; Krigas, N.; Antonopoulou, E. Antibacterial Effects of Essential Oils of Seven Medicinal-Aromatic Plants Against the Fish Pathogen Aeromonas Veronii Bv. Sobria: To Blend or Not to Blend? Molecules 2021, 26, 2731. [Google Scholar] [CrossRef]
- Anastasiou, T.I.; Mandalakis, M.; Krigas, N.; Vézignol, T.; Lazari, D.; Katharios, P.; Dailianis, T.; Antonopoulou, E. Comparative Evaluation of Essential Oils from Medicinal-Aromatic Plants of Greece: Chemical Composition, Antioxidant Capacity and Antimicrobial Activity against Bacterial Fish Pathogens. Molecules 2019, 25, 148. [Google Scholar] [CrossRef]
- Miguel, M.G. Antioxidant Activity of Medicinal and Aromatic Plants. A Review. Flavour Fragr. J. 2010, 25, 291–312. [Google Scholar] [CrossRef]
- Oliva-Teles, A. Nutrition and Health of Aquaculture Fish. Journal of fish diseases 2012, 35, 83–108. [Google Scholar] [CrossRef] [PubMed]
- Feidantsis, K.; Soumalevris, A.; Panteli, N.; Chatzifotis, S.; Antonopoulou, E. Synergistic Effect of Long-Term Feed Deprivation and Temperature on the Cellular Physiology of Meagre (Argyrosomus regius). Journal of Thermal Biology 2022, 105, 103207. [Google Scholar] [CrossRef]
- Craig, E.A. Chaperones: Helpers along the Pathways to Protein Folding. Science 1993, 260, 1902–1903. [Google Scholar] [CrossRef]
- Jäättelä, M. Heat Shock Proteins as Cellular Lifeguards. Ann Med 1999, 31, 261–271. [Google Scholar] [CrossRef]
- Iwama, G.K.; Vijayan, M.M.; Forsyth, R.B.; Ackerman, P.A. Heat Shock Proteins and Physiological Stress in Fish. American Zoologist 1999, 39, 901–909. [Google Scholar] [CrossRef]
- Antonopoulou, E.; Chouri, E.; Feidantsis, K.; Lazou, A.; Chatzifotis, S. Effects of Partial Dietary Supplementation of Fish Meal with Soymeal on the Stress and Apoptosis Response in the Digestive System of Common Dentex (Dentex dentex). Journal of Biological Research-Thessaloniki 2017, 24, 1–10. [Google Scholar] [CrossRef] [PubMed]
- Wada, T.; Penninger, J.M. Mitogen-Activated Protein Kinases in Apoptosis Regulation. Oncogene 2004, 23, 2838–2849. [Google Scholar] [CrossRef] [PubMed]
- Panteli, N.; Demertzioglou, M.; Feidantsis, K.; Karapanagiotis, S.; Tsele, N.; Tsakoniti, K.; Gkagkavouzis, K.; Mylonas, C.C.; Kormas, K.A.; Mente, E.; et al. Advances in Understanding the Mitogenic, Metabolic, and Cell Death Signaling in Teleost Development: The Case of Greater Amberjack (Seriola dumerili, Risso 1810). Fish Physiol Biochem 2022, 48, 1665–1684. [Google Scholar] [CrossRef]
- Watson, A.J.; Pritchard, D.M. Lessons from Genetically Engineered Animal Models. VII. Apoptosis in Intestinal Epithelium: Lessons from Transgenic and Knockout Mice. Am J Physiol Gastrointest Liver Physiol 2000, 278, G1-5. [Google Scholar] [CrossRef]
- Rumbos, C.I.; Adamaki-Sotiraki, C.; Gourgouta, M.; Karapanagiotidis, I.T.; Asimaki, A.; Mente, E.; Athanassiou, C.G. Strain Matters: Strain Effect on the Larval Growth and Performance of the Yellow Mealworm, Tenebrio molitor L. Journal of Insects as Food and Feed 2021, 7, 1195–1205. [Google Scholar] [CrossRef]
- Horowitz, W.; Latimer, G.W. Official Methods of Analysis of AOAC International. Gaithersburg, Md. AOAC International 2006, 18. [Google Scholar]
- Vasilopoulos, S.; Giannenas, I.; Savvidou, S.; Bonos, E.; Rumbos, C.I.; Papadopoulos, E.; Fortomaris, P.; Athanassiou, C.G. Growth Performance, Welfare Traits and Meat Characteristics of Broilers Fed Diets Partly Replaced with Whole Tenebrio molitor Larvae. Animal Nutrition 2023, 13, 90–100. [Google Scholar] [CrossRef]
- Witeska, M.; Kondera, E.; Ługowska, K.; Bojarski, B. Hematological Methods in Fish – Not Only for Beginners. Aquaculture 2022, 547, 737498. [Google Scholar] [CrossRef]
- López-Ruiz, A.; Esteban, M.A.; Meseguer, J. Blood Cells of the Gilthead Seabream (Sparus aurata L.): Light and Electron Microscopic Studies: Blood Cells of Gilthead Seabream. Rec. 1992, 234, 161–171. [Google Scholar] [CrossRef]
- Clauss, T.M.; Dove, A.D.M.; Arnold, J.E. Hematologic Disorders of Fish. Veterinary Clinics of North America: Exotic Animal Practice 2008, 11, 445–462. [Google Scholar] [CrossRef]
- Ainsworth, A.J. Fish Granulocytes: Morphology, Distribution, and Function. Annual Review of Fish Diseases 1992, 2, 123–148. [Google Scholar] [CrossRef]
- Khandekar, G.; Kim, S.; Jagadeeswaran, P. Zebrafish Thrombocytes: Functions and Origins. Advances in Hematology 2012, 2012, 1–9. [Google Scholar] [CrossRef]
- Mastoraki, M., Katsika, L., Enes, P., Guerreiro, I., Kotzamanis, Y. P., Gasco, L., ... & Antonopoulou, E. (2022). Insect meals in feeds for juvenile gilthead seabream (Sparus aurata): Effects on growth, blood chemistry, hepatic metabolic enzymes, body composition and nutrient utilization. Aquaculture 561, 738674.
- Barton, B. A. (2002). Stress in Fishes: A Diversity of Responses with Particular Reference to Changes in Circulating Corticosteroids. Integrative and Comparative Biology, Volume 42, Issue 3, July 2002, Pages 517–525. [CrossRef]
- Cooke, S.J.; Lawrence, M.J.; Raby, G.D.; Teffer, A.K.; Jeffries, K.M.; Danylchuk, A.J.; Clark, T.D. Comment: Practices for Drawing Blood Samples from Teleost Fish. North American Journal of Aquaculture 2019, 81, 424–426. [Google Scholar] [CrossRef]
- Wendelaar Bonga, S.E. The Stress Response in Fish. Physiological reviews 1997, 77, 591–625. [Google Scholar] [CrossRef] [PubMed]
- Chrousos, G.P. Stress and Disorders of the Stress System. Nature reviews endocrinology 2009, 5, 374–381. [Google Scholar] [CrossRef]
- Barton, B.A.; Iwama, G.K. Physiological Changes in Fish from Stress in Aquaculture with Emphasis on the Response and Effects of Corticosteroids. Annual Review of fish diseases 1991, 1, 3–26. [Google Scholar] [CrossRef]
- Anastasiou, C.; Buchbauer, G. Essential Oils as Immunomodulators: Some Examples. Open Chemistry 2017, 15, 352–370. [Google Scholar] [CrossRef]
- Sandner, G.; Heckmann, M.; Weghuber, J. Immunomodulatory Activities of Selected Essential Oils. Biomolecules 2020, 10, 1139. [Google Scholar] [CrossRef]
- Zuo, X.; Gu, Y.; Wang, C.; Zhang, J.; Zhang, J.; Wang, G.; Wang, F. A Systematic Review of the Anti-Inflammatory and Immunomodulatory Properties of 16 Essential Oils of Herbs. Evidence-Based Complementary and Alternative Medicine 2020, 2020, 1–14. [Google Scholar] [CrossRef]
- Lang, M.; Ferron, P.-J.; Bursztyka, J.; Montjarret, A.; Duteil, E.; Bazire, A.; Bedoux, G. Evaluation of Immunomodulatory Activities of Essential Oils by High Content Analysis. Journal of Biotechnology 2019, 303, 65–71. [Google Scholar] [CrossRef] [PubMed]
- Shourbela, R.M.; El-Hawarry, W.N.; Elfadadny, M.R.; Dawood, M.A.O. Oregano Essential Oil Enhanced the Growth Performance, Immunity, and Antioxidative Status of Nile Tilapia (Oreochromis niloticus) Reared under Intensive Systems. Aquaculture 2021, 542, 736868. [Google Scholar] [CrossRef]
- Mssillou, I., Bakour, M., Slighoua, M., Laaroussi, H., Saghrouchni, H., Amrati, F. E. Z., ... & Derwich, E. (2022). Investigation on wound healing effect of Mediterranean medicinal plants and some related phenolic compounds: A review. Journal of Ethnopharmacology 298, 115663. [CrossRef]
- Silva, M.B. da; Fraga, R.E.; Nishiyama, P.B.; Silva, I.S.S. da; Costa, N.L.B.; de Oliveira, L.A.A.; Rocha, M.A.; Juncá, F.A. Leukocyte Profiles in Odontophrynus carvalhoi (Amphibia: Odontophrynidae) Tadpoles Exposed to Organophosphate Chlorpyrifos Pesticides. Water, Air, & Soil Pollution 2020, 231, 372. [Google Scholar] [CrossRef]
- Weyts, F.A.A.; Verburg-van Kemenade, B.M.L.; Flik, G. Characterisation of Glucocorticoid Receptors in Peripheral Blood Leukocytes of Carp, Cyprinus carpio L. General and comparative endocrinology 1998, 111, 1–8. [Google Scholar] [CrossRef]
- Ortuno, J.; Esteban, M.A.; Meseguer, J. Effects of Short-Term Crowding Stress on the Gilthead Seabream (Sparus aurata L.) Innate Immune Response. Fish & shellfish immunology 2001, 11, 187–197. [Google Scholar] [CrossRef]
- Pickering, A.D. Cortisol-Induced Lymphocytopenia in Brown Trout, Salmo trutta L. General and comparative endocrinology 1984, 53, 252–259. [Google Scholar] [CrossRef]
- Hua, K. A Meta-Analysis of the Effects of Replacing Fish Meals with Insect Meals on Growth Performance of Fish. Aquaculture 2021, 530, 735732. [Google Scholar] [CrossRef]
- Reyes, M.; Rodríguez, M.; Montes, J.; Barroso, F.G.; Fabrikov, D.; Morote, E.; Sánchez-Muros, M.J. Nutritional and Growth Effect of Insect Meal Inclusion on Seabass (Dicentrarchuss labrax) Feeds. Fishes 2020, 5, 16. [Google Scholar] [CrossRef]
- Su, J.; Liu, Y.; Xi, L.; Lu, Q.; Liu, H.; Jin, J.; Yang, Y.; Zhu, X.; Han, D.; Xie, S. The Effect of Dietary Tenebrio Molitor Meal Inclusion on Growth Performance and Liver Health of Largemouth Bass (Micropterus salmoides). Journal of Insects as Food and Feed 2022, 8, 1297–1309. [Google Scholar] [CrossRef]
- Ma, H.; Lin, H.; Feng, H.; Putheti, R. Effects of Angelica Polysaccharide on Hepatocytes Apoptosis Induced by Exhaustive Exercise. Afr. J. Microbiol. Res 3(11), 774–777.
- Zhou, B.; Wu, L.-J.; Li, L.-H.; Tashiro, S.; Onodera, S.; Uchiumi, F.; Ikejima, T. Silibinin Protects against Isoproterenol-Induced Rat Cardiac Myocyte Injury through Mitochondrial Pathway after up-Regulation of SIRT1. Journal of pharmacological sciences 2006, 102, 387–395. [Google Scholar] [CrossRef]
- Dokou, S.; Mellidou, I.; Savvidou, S.; Stylianaki, I.; Panteli, N.; Antonopoulou, E.; Wang, J.; Grigoriadou, K.; Tzora, A.; Jin, L. A Phytobiotic Extract, in an Aqueous or in a Cyclodextrin Encapsulated Form, Added in Diet Affects Meat Oxidation, Cellular Responses and Intestinal Morphometry and Microbiota of Broilers. Frontiers in Animal Science 2023, 4, 1050170. [Google Scholar] [CrossRef]
- Cardinaletti, G.; Randazzo, B.; Messina, M.; Zarantoniello, M.; Giorgini, E.; Zimbelli, A.; Bruni, L.; Parisi, G.; Olivotto, I.; Tulli, F. Effects of Graded Dietary Inclusion Level of Full-Fat Hermetia illucens Prepupae Meal in Practical Diets for Rainbow Trout (Oncorhynchus mykiss). Animals 2019, 9, 251. [Google Scholar] [CrossRef] [PubMed]
- Li, S.; Ji, H.; Zhang, B.; Zhou, J.; Yu, H. Defatted Black Soldier Fly (Hermetia Illucens) Larvae Meal in Diets for Juvenile Jian Carp (Cyprinus carpio Var. Jian): Growth Performance, Antioxidant Enzyme Activities, Digestive Enzyme Activities, Intestine and Hepatopancreas Histological Structure. Aquaculture 2017, 477, 62–70. [Google Scholar] [CrossRef]
- Roques, S.; Deborde, C.; Guimas, L.; Marchand, Y.; Richard, N.; Jacob, D.; Skiba-Cassy, S.; Moing, A.; Fauconneau, B. Integrative Metabolomics for Assessing the Effect of Insect (Hermetia illucens) Protein Extract on Rainbow Trout Metabolism. Metabolites 2020, 10, 83. [Google Scholar] [CrossRef]
- Radhakrishnan, S.; Saravana Bhavan, P.; Seenivasan, C.; Muralisankar, T.; Shanthi, R. Effects of Native Medicinal Herbs (Alternanthera sessilis,Eclipta alba and Cissus quadrangularis) on Growth Performance, Digestive Enzymes and Biochemical Constituents of the Monsoon River Prawn M Acrobrachium Malcolmsonii. Aquaculture nutrition 2015, 21, 496–506. [Google Scholar] [CrossRef]
- Xu, Z.; Li, X.Q.; Yang, H.; Poolsawat, L.; Wang, P.; Leng, X.J. Dietary Rutin Promoted the Growth, Serum Antioxidant Response and Flesh Collagen, Free Amino Acids Contents of Grass Carp (Ctenopharyngodon idella). Aquaculture Nutrition 2021, 27, 544–555. [Google Scholar] [CrossRef]
- Lee, D.-H.; Ra, C.-S.; Song, Y.-H.; Sung, K.-I.; Kim, J.-D. Effects of Dietary Garlic Extract on Growth, Feed Utilization and Whole Body Composition of Juvenile Sterlet Sturgeon (Acipenser ruthenus). Asian-Australasian Journal of Animal Sciences 2012, 25, 577. [Google Scholar] [CrossRef]
- Feidantsis, K.; Poertner, H.O.; Markou, T.; Lazou, A.; Michaelidis, B. Involvement of P38 MAPK in the Induction of H Sp70 During Acute Thermal Stress in Red Blood Cells of the Gilthead Sea Bream, Sparus aurata. Journal of Experimental Zoology Part A: Ecological Genetics and Physiology 2012, 317, 303–310. [Google Scholar] [CrossRef] [PubMed]
- Stenberg, O.K.; Holen, E.; Piemontese, L.; Liland, N.S.; Lock, E.-J.; Espe, M.; Belghit, I. Effect of Dietary Replacement of Fish Meal with Insect Meal on in Vitro Bacterial and Viral Induced Gene Response in Atlantic Salmon (Salmo salar) Head Kidney Leukocytes. Fish & shellfish immunology 2019, 91, 223–232. [Google Scholar] [CrossRef]
- Seo, M.; Goo, T.-W.; Chung, M.Y.; Baek, M.; Hwang, J.-S.; Kim, M.-A.; Yun, E.-Y. Tenebrio molitor Larvae Inhibit Adipogenesis through AMPK and MAPKs Signaling in 3T3-L1 Adipocytes and Obesity in High-Fat Diet-Induced Obese Mice. International Journal of Molecular Sciences 2017, 18, 518. [Google Scholar] [CrossRef]
- Antonopoulou, E.; Chatzigiannidou, I.; Feidantsis, K.; Kounna, C.; Chatzifotis, S. Effect of Water Temperature on Cellular Stress Responses in Meagre (Argyrosomus regius). Fish physiology and biochemistry 2020, 46, 1075–1091. [Google Scholar] [CrossRef]
- Feidantsis, K.; Antonopoulou, E.; Lazou, A.; Pörtner, H.O.; Michaelidis, B. Seasonal Variations of Cellular Stress Response of the Gilthead Sea Bream (Sparus aurata). Journal of Comparative Physiology B 2013, 183, 625–639. [Google Scholar] [CrossRef]
- Somayeh, S.M.; Jiun, Z.; Loh, Y.; Mousavi, S.; Loh, J.-Y.; Zahedinezhad, S. A review on insect meals in aquaculture: The immunomodulatory and physiological effects. International Aquatic Research 2020, 12, 100–115. [Google Scholar] [CrossRef]
- Reverter, M.; Tapissier-Bontemps, N.; Sarter, S.; Sasal, P.; Caruso, D. Moving towards More Sustainable Aquaculture Practices: A Meta-Analysis on the Potential of Plant-Enriched Diets to Improve Fish Growth, Immunity and Disease Resistance. Reviews in Aquaculture 2021, 13, 537–555. [Google Scholar] [CrossRef]




| Parameters | Control (A) | TM-10 (B) | MAP-TM-10 (C) | Significance |
| Initial weight (g) | 208.84 ± 2.88 | 208.19 ± 7.04 | 205.88 ± 8.81 | ns1 |
| Final weight (g) | 334.92 ± 7.77 | 340.02 ± 3.72 | 343.90 ± 5.68 | Ns |
| Weight gain (g) | 129.08 ± 7.50 | 131.83 ± 4.09 | 138.02 ± 3.16 | Ns |
| 2 FR(%) | 1.5 | 1.5 | 1.5 | Ns |
| 3 SGR (%/ day) | 0.58 ± 0.03 | 0.61 ± 0.03 | 0.63 ± 0.03 | Ns |
| 4FCR (%) | 1.19 ± 0.01 | 1.14 ± 0.03 | 1.08 ± 0.02 | Ns |
| 5PER | 2.04± 0.11 | 1.99± 0.06 | 2.10± 0.05 | Ns |
| Survival rate (%) | 98.08 | 99.23 | 98.46 | Ns |
Disclaimer/Publisher’s Note: The statements, opinions and data contained in all publications are solely those of the individual author(s) and contributor(s) and not of MDPI and/or the editor(s). MDPI and/or the editor(s) disclaim responsibility for any injury to people or property resulting from any ideas, methods, instructions or products referred to in the content. |
© 2023 by the authors. Licensee MDPI, Basel, Switzerland. This article is an open access article distributed under the terms and conditions of the Creative Commons Attribution (CC BY) license (http://creativecommons.org/licenses/by/4.0/).