Submitted:
21 January 2024
Posted:
22 January 2024
You are already at the latest version
Abstract
Keywords:
1. Introduction
2. Assumptions and basic relations
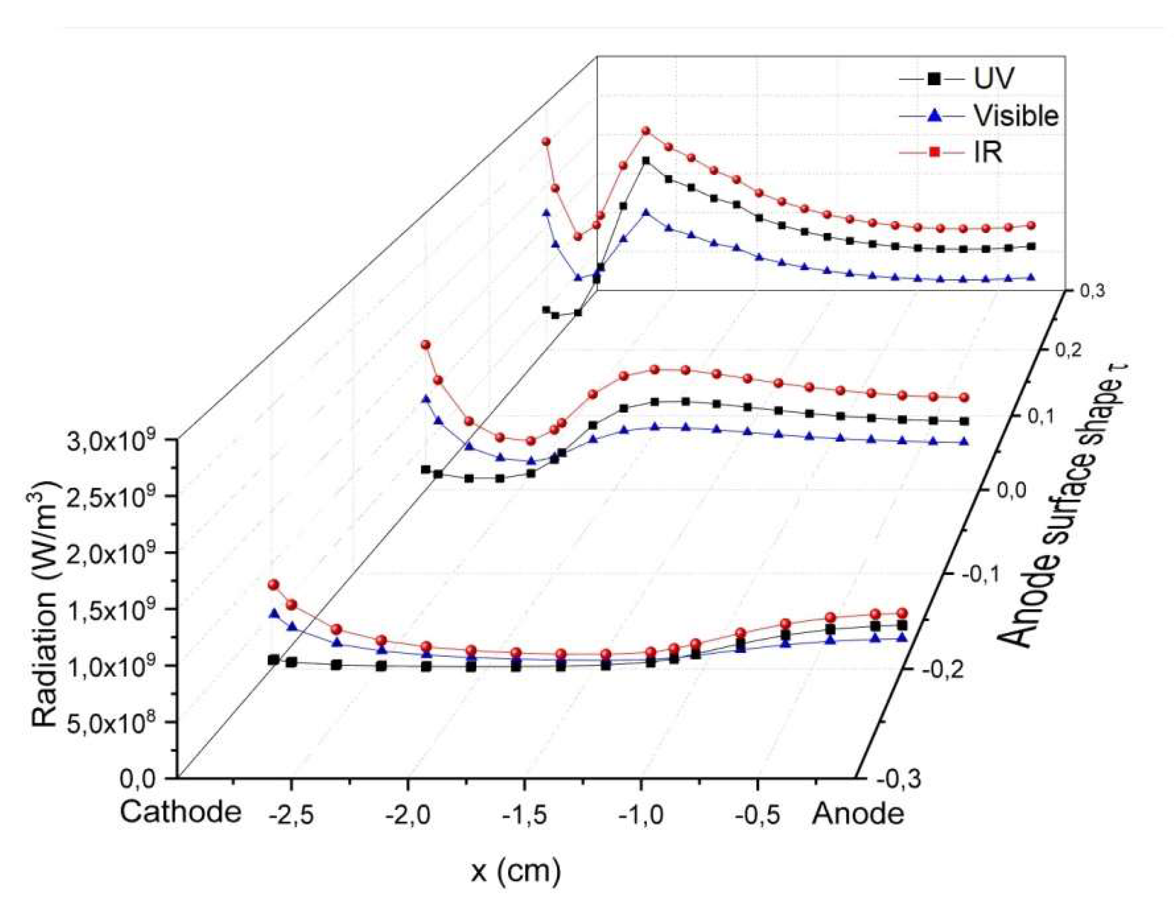
3. Results of modeling and discussion
4. Conclusions and further prospects
6. Patents
Author Contributions
Funding
Data Availability Statement
Conflicts of Interest
References
- Rokhlin, G.N. Discharge light sources, 2nd ed.; Energoatomizdat”: Moscow, Russia, 1991; pp. 674–697. [Google Scholar]
- Benilov, M. Plasma-physics aspects of high-intensity discharge lamps. Summer school on Plasma Physics PlasmaSurf 2016, Portugal, Oeiras, Jul. 15, 2016. http://plasmasurf.tecnico.ulisboa.pt.
- Neiger, M.; Hoppstock, R.; Kleiner, B. A Xenon short arc discharge lamp. US Patent 4 937 496, Jun. 26, 1990.
- Bergner, A.; Scharf, F.H.; Kuhn, G.; Ruhrmann, C.; Hoebing, T.; Awakowicz, P.; Mentel, J. Simulations of the hot core mode of arc attachment at a thoriated tungsten cathode by an emitter spot model. Plasma Sources Sci. Technol. 2014, 23, 054005–054017. [Google Scholar] [CrossRef]
- Chittka, U.; Postma, P.; Schlager, W. Electrodes for gas discharge lamps. App. Surf. Sci. I 1997, 11, pp. 302-310. [CrossRef]
- Bouwknegt, A.; Nienhuis, H.; Schipper, D.J.; Tielemans, P.A.W. Electrodes in discharge lamps. Philips technical Review 1975, 35, pp. 356-359.
- Sillero, J.L.; Ortega, D.; Munoz-Serrano, E.; Casado, E. An experimental study of thoriated tungsten cathodes operating at different current intensities in an atmospheric plasma torch. J. Phys. D: Appl. Phys. 2010, 43, p. 185204. [CrossRef]
- Reinelt, J.; Westermeier, M.; Ruhrmann, C.; Bergner, A.; Awakowicz, P.; Mentel, J. Investigating the dependence of the temperature of high-intensity discharge (HID) lamp electrodes on the operating frequency by pyrometric measurements. J. Phys. D: Appl. Phys. 2011, 44, p. 95204. [CrossRef]
- Zhu, P.; Lowke, J.J.; Morrow, R. A unified theory of free burning arcs, cathode sheaths and cathodes. J. Phys. D: Appl. Phys. 1992, 25, pp. 1221-1230. [CrossRef]
- Wendehtorr, J.; Wohlfahrt, H; Simon, G. Two-temperature, two-dimensional modeling of cathode hot spot formation including sheath effects: In Proceedings of ICOPS’99 [IEEE], 2002. [CrossRef]
- Baeva, M.; Uhrlandt, D.; Benilov, M.S.; Cunha, M.D. Comparing two non-equilibrium approaches to modeling of a free-burning arc. Plasma Sources Sci. Technol. 2013, 22, pp. 065017-065025. [CrossRef]
- Baeva, M. Non-equilibrium modeling of tungsten-inert gas arcs. Plasma Chem. Plasma Process. 2017, 37, pp. 341-370. [CrossRef]
- Minayeva, O.B.; Doughty, D.A. Influence of the Cathode Composition on the Performance of High Pressure Short Arc Xenon Lamps: In Proceedings of 59th GEC Conference, 2006, Columbus, OH.
- Stull, D. In American Institute of Physics Handbook, 3rd ed.; D. E. Gray, Ed.; McGraw Hill: New York, 1972. ISBN 07-001485-X.
- Waymouth, J.F. LTE and Near-LTE Lighting Plasmas. IEEE Trans. Plasma Sci. 1991, 19, p. 1003. [CrossRef]
- Hoebing, T. The anodic emitter effect and its inversion demonstrated by temperature measurements at doped and undoped tungsten electrodes. J. Phys. D: Appl. Phys. 2016, 49, p. 155504. [CrossRef]
- Polk, J.; Mikellides, I.; Katz, I.; Capece, A. Tungsten and barium transport in the internal plasma of hollow cathodes. J. App. Phys. 2009, 105, p. 113301. [CrossRef]
- Polk, J.; Mikellides, I.; Capece, A.; Katz, I. The effect of cathode geometry on barium transport in hollow cathode plasmas. J. Appl. Phys. 2014, 115, p. 183301. [CrossRef]
- Patent DE102010024240 A1, IPC: H01J-009/02 H01J-061/00 H01J-061/04 H01J-061/073 H01J-061/84 H01L-021/027, 2009-06-30.
- Patent DE102010044259 B4, IPC: H01J-061/06 H01J-061/073 H01J-061/84 H01J-061/86 H01J-061/88, 2009-09-15.
- Patent JP2011065756 A, Short arc discharge lamp, H01J-061/073*, 2009-09-15.
- Patent JP4337968 B2, Short arc type discharge lamp, H01J-061/073* H01J-061/86 H01J-061/88.
- Flesch, P.; Neiger, M. Time-dependent simulation of plasma and electrodes in high-intensity discharge lamps with different electrode shapes. J. Phys. D: Appl. Phys. 2003, 36, pp. 849–860. [CrossRef]
- Timofeev, N.A.; Sukhomlinov, V.S.; Zissis, G.; Mukharaeva, I.Yu.; Dupuis, P. Investigation of short-arc high-pressure xenon discharge: effect of electrode material evaporation on discharge properties and pulse operation. IEEE Trans. Plasma Sci. 2019, 47, pp. 3266-3271. [CrossRef]
- Timofeev, N.A.; Sukhomlinov, V.S.; Zissis, G.; Mukharaeva, I.Yu.; Dupuis, P. Simulation of an Ultra-High Pressure Short-Arc Xenon Discharge Plasma. Technical Physics 2019, 64, pp. 1473-1479. [CrossRef]
- Timofeev, N.A.; Sukhomlinov, V.S.; Zissis, G.; Mukharaeva, I.Yu.; Mikhaylov, D.V.; Mustafaev, A.S.; Dupuis, P.; Solikhov, D.Q.; Borodina, V.S. Modeling of high pressure short-arc xenon discharge with a thoriated cathode. IEEE Trans. Plasma Sci. 2021, 49, pp. 2387-96. [CrossRef]
- Korn, G.A.; Korn, T.M. Mathematical Handbook for Scientists and Engineers: Definitions, Theorems, and Formulas for Reference and Review. Courier Corporation: 2013, 1152p. ISBN 0486320235, 9780486320236.
- Raizer, Yu.P. Gas Discharge Physics. 3rd ed.; Publ. House “Intellect”: Moscow, 2009; 734 p. ISBN: 978-5-91559-019-8.
- Granovsky, V.L. Electric current in gases. Steady state current. Nauka Publ.: Moscow, 1971; 543 p.
- Aymar, M.; Coulombe, M. Theoretical transition probabilities and lifetimes in Kr I and Xe I spectra. In Atomic Data and Nuclear Data Tables 1978; 21, no. 6, 537-566. Online ISSN: 1090-2090 Print ISSN: 0092-640X. [CrossRef]
- https://physics.nist.gov/asd National Institute of Standards and Technology (NIST). [CrossRef]
- Milenin, V.M.; Timofeev, N.A. Plasma of low-pressure gas discharge light sources; Leningrad University Publ.: St-Petersburg, Russia, 1991; pp. 144-180.
- Haidar, J.; Farmer, A.J.D. Surface temperature measurements for tungsten-based cathodes of high-current free-burning arcs. J. Phys. D: Appl. Phys. 1995, 28, pp. 2089-2094. [CrossRef]
- Gu, Z.; Xi, X.; Yang, J.; Xu, J. Properties of RE-W cathode and its application in electrostatic precipitation for high temperature gas clean-up. Fuel 2012, 95, pp. 648-654. [CrossRef]










Disclaimer/Publisher’s Note: The statements, opinions and data contained in all publications are solely those of the individual author(s) and contributor(s) and not of MDPI and/or the editor(s). MDPI and/or the editor(s) disclaim responsibility for any injury to people or property resulting from any ideas, methods, instructions or products referred to in the content. |
© 2024 by the authors. Licensee MDPI, Basel, Switzerland. This article is an open access article distributed under the terms and conditions of the Creative Commons Attribution (CC BY) license (http://creativecommons.org/licenses/by/4.0/).