Preprint
Article

This version is not peer-reviewed.

Transpiration Dynamics of Esparto Grass (Stipa tenacissima L.) in Semi-Arid Mediterranean Climate: Unraveling the Impacts of Soil Water, Pine Competence, and Bush Maturity

A peer-reviewed article of this preprint also exists.

Submitted:

19 January 2024

Posted:

19 January 2024

You are already at the latest version

Abstract
Stipa tenacissima (S. tenacissima), or esparto, is a perennial tussock grass that coexists with Pinus halepensis (P. halepensis) in semi-arid mediterranean woodlands. This research was carried out to explore diurnal transpiration at leaf level in esparto grass under different levels of pine-esparto competition and in contrasting environmental conditions of soil water. The measurements were spanned from the summer 2020 to spring 2021. The relationship between transpiration and competence was conducted in open and closed P. halepensis stands and taken into account the type of leave (green, senescent) and the maturity of the esparto grass. We observed a higher control of transpiration in green leaves, and correlations between transpiration and soil water were noted exclusively in this type of leaf. Our results substantiated a significant impact of pine competitors on transpiration of esparto grass, particularly during seasons characterized by high water-demand scenarios: the summer drought period and the commencement of the growing and flowering period (spring). Furthermore, our findings confirmed a greater response to transpiration in mature bushes compared to young ones under severe water stress, denoting higher adaptation to drought as esparto ages. Our results may have important implications for the dynamics and management of these semi-arid mixed woodlands, as well as the planning of reforestation programs aimed at restoring esparto grass steppes.
Keywords: 
;  ;  ;  ;  

1. Introduction

Water is the principal factor limiting vegetation growth in semi-arid climates, and consequently, drought constitutes the most severe environmental stress for plants in these ecosystems [1]. Understanding how species are adapted to water availability is decisive for forest ecosystem management [2], especially in areas with limited water resources, as Mediterranean semi-arid climates, where low soil-water content during the dry periods are the main limitations to plant growth [3].
Among the adaptations to survive under water deficit conditions, the control of transpiration is the best-known physiological plant response [4]. Transpiration is the process through which water moves from the soil, passes through the plant, and is released into the atmosphere as water vapor from leaves [5,6]. The two main physiological effects of transpiration are cooling and providing water to leaves for photosynthesis, i. e., vegetal growth [7].
The response of plant transpiration to environmental conditions is extremely complex and dependent on multiple factors. For example, leaf temperature, photosynthetically active radiation (PAR), relative humidity, and air velocity affect water exchange from leaves, illustrating the intricate nature of this process [8]. At stand level transpiration varies across species, meteorology, and soil conditions [7,9,10,11]. The link established between water availability and soil parameters has consequently made soil water status an important factor to study in transpiration dynamics, particularly in scenarios of soil drying [12]. Furthermore, studies based on leaf parameters have often proven insufficient in explaining the transpiration responses in Mediterranean sites, which are characterized by strong seasonality [3], particularly during the summer drought [13], because variation in transpiration depends on seasonal soil water conditions [10]. In arid environments, water use efficiency during the growing seasons is primarily controlled by transpiration [14].
Seasonal rainfall limits physiological processes, playing a pivotal role in augmenting soil water content and increasing transpiration [9,15]. Clear evidence now suggests a metabolically mediated response (“hydroactive feedback”) between stomatal responses and soil drought, possibly involving abscisic acid production in leaves [12]. This implies that in arid environments, small rainfall pulses (0-5 mm) would lead to increased plant transpiration [15]. Given all this evidence, there has been an increase in studies focusing on the relationship between soil water content and transpiration recently [2,9,14].
However, the effect of soil moisture conditions on plant transpiration in the Mediterranean basin has often been neglected, and relatively little information is available from typical Mediterranean species on this issue. This is exemplified by Stipa tenacissima L. (“esparto”; Poaceae), a perennial tussock grass widely distributed in semi-arid ecosystems of the southwestern Mediterranean Basin [16]. Esparto grass is a robust, large herbaceous species, with a wide tussock ranging from 45 to 210 cm [17]. The leaves of esparto grass are thin, ribbon-like, smooth, and shining [18], forming a specialized leaf tissue that facilitates leaf rolling. This structure plays a crucial role in controlling water balance of leaves under drought conditions [19].
Another noteworthy characteristic of this bush is the presence of senescent leaves, which also contributes to its survival and the completion of the plant life cycle under drought stress [20]. The tussock exhibits different age-classes of leaves, including green, senescent, and dead leaves [17]. Ramírez et al. [21] demonstrated the necessity of consider leaf senescence to study transpiration in S. tenacissima. The importance of foliar self-shading as a structural photoprotective mechanism in this species has also been observed [22,23], and Ramírez et al. [23] noted diverse physiological responses to water conditions in S. tenacissima individuals based on bush size.
S. tenacissima frequently coexists with Pinus halepensis (P. halepensis) in semi-arid areas of southeast Spain, where the pine has been the most widely used tree in reforestations [16]. In these Mediterranean forests, S. tenacissima is the dominant species present in the herbaceous layer of P. halepensis stands. These mixed formations reflect important plant-environment interactions that permit the evaluation of the adaptabilities of Stipa to environmental change [24].
While S. tenacissima demonstrates various plant-level strategies to adapt to severe drought [22,25], a relevant aspect for investigating this species is its susceptibility to climate change. The Mediterranean region, identified as a hotspot vulnerable to increased droughts [3], is expected to face adverse effects on the survival and growth of esparto bushes under the predicted scenarios [26]. Consequently, the ability of esparto to reverse leaf senescence may be compromised [23]. In this line Krichen et al. [27] observed a negative impact on the plant's total biomass and leaves as rainfall became scarcer. Smaller esparto bushes could be particularly sensitive to drought, potentially reducing the genetic diversity of the species [23]. Pugnaire et al. [28] and Ramírez et al. [21] observed that S. tenacissima halts leaf extension following a decrease in water content. Ghiloufi et al. [29] identified a negative relationship between aridity and the cover of vegetation dominated by esparto. These findings suggest that an increase in drought could contribute to the loss of esparto cover in the Mediterranean basin.
The arrangement of bushes species into “patchy vegetation” in semi-arid regions, characteristic of steppes dominated by esparto grass, represents an additional adaptation for optimizing soil water in response to drought [1,17,30]. However, in forest ecosystems dominated by pine trees with an understory of bushes species, such as esparto grass, the adaptation of plants to environmental conditions is also influenced by intrinsic factors in the forest structure, such as density, competition, maturity, and size [31]. As a result, transpiration in these mixed pine-bush forests depends not only on environmental conditions but also on canopy density and structural features [10].
In this scenario, both facilitation and competition between esparto grass and P. halepensis influence plant physiological responses [16]. Competence becomes a crucial factor, influencing water availability, size, growth, and foliage exposure to incident radiation [10]. Species coexisting in semi-arid environments rely on water utilization strategies for survival [32]. The competition for resources within different strata of a semi-arid ecosystem affects grass transpiration, involving water absorption by the tree stratum and indirectly impacting the bush through reduced irradiance caused by shadows cast by trees [16,28]. The study of ecophysiological variables at the stand level also requires consideration of plant structure, as plant water exchange varies with plant size, leaf surface area, amount of senescent leaves, and distance from competitors [33,34].
Therefore, in planning our experimental layout and considering the importance of soil water availability in physiological processes such as transpiration rate, we hypothesized that interspecific pine competition for water resources (characterized by soil humidity) can affect water fluxes in esparto grass. We can also predict that the type of leaf (green, senescent) and maturity of esparto grass could influence the responses in transpiration rate. The high seasonality inherent in the Mediterranean climate compels us to test these hypotheses throughout the four seasons of the year.
As consequence, the aims of this study were twofold: (1) to investigate the seasonal variation of transpiration rates in S. tenacissima in relation to leaf type (green or senescent), stand inter-specific competence (open sites, without P. halepensis competition, and closed sites with pine competence), and the maturity of esparto bushes (young, mature); and (2) to determine the effects of soil water content on the daily transpiration of S. tenacissima, along with the interactions occurring with leaf type, site or competence, and the maturity of bushes throughout the four growing seasons under a Mediterranean semi-arid climate. The findings from our study have the potential to provide accurate predictions regarding the responses of S. tenacissima to shifts in climate or competition conditions.

2. Results and Discussion

2.1. Environmental Conditions and Seasonal Trends in Transpiration Rates

Globally, Figure 1 and Figure 2 illustrate that our research was carried out in four seasons characterized by varying soil water content (Sw; %) and soil temperature (Ts; ºC), according to the seasonality of Mediterranean climates. Except for summer, the transpiration rate was clearly higher in green leaves than in senescent leaves (Figure 1a). In contrast, senescent leaves do not appear to exhibit a transpiration pattern based on the microclimatic conditions of the soil. The daily transpiration of senescent leaves remained below 0.040 mm h−1 during measurements, without any peaks across all seasons.
In general, the transpiration of green leaves (exhibiting the highest physiological activity) showed a positive, moderate relationship with Sw (Figure 1b) but a negative relationship with Ts (except at the end of the winter). The transpiration behavior in green leaves was also correlated with the biological cycle of S. tenacissima, characterized by two growing seasons (fall and spring) and two latent seasons (winter and summer) [26]. As a consequence, transpiration appears to reflect the physiological activity of esparto grass throughout the seasons, in agreement with [14].
The correlation between T and Sw diminished as water deficit conditions increased (Figure 1a,b). In summer, the process of water release from green leaves significantly slowed down. During this dry season, soil moisture frequently remained below 5%, creating conditions conducive to water stress. As a consequence, the transpiration of green leaves during summer remained below 0.1 mm h-1, with no evident differences in transpiration depending on the type of leaf. In August, when S. tenacissima experiences a significant water deficit, this can lead to the complete suppression of CO2 assimilation [35]. When soil water decreases stomata open only partially and transpiration may occur only through the cuticle or lenticels until the plant is able to absorb soil water [10].
Also, Sw and T in green leaves followed a parallel increase during autumn, following soil water recuperation (Figure 1a,b). This trend continued until the climate became cold enough to hinder plant growth, resulting in another decrease during late winter. After, there was an increase in T coinciding with the buds opening and start leaves expanding (spring). At the end this cold season, we observed a significant activity of water exchange, similar to that obtained in autumn. This suggests that in winter, esparto grass may exhibit certain climatic adaptation in the study area due to the elevated thermal conditions. Consequently, the transpiration rate increased gradually from winter to the beginning of spring.
Contrary, Sw and Ts trends show a negative relation: in general, as soil temperature increases, soil moisture decreases (Figure 1b). Therefore, a single soil variable should be adequate for studying the effects of edaphic parameters on transpiration; Sw appears more suitable due to a faster response in transpiration rate to changes in humidity. On the other hand, Ts had a negative effect on transpiration of green leaves throughout all seasons, with the exception of the end of winter (the dormancy season).
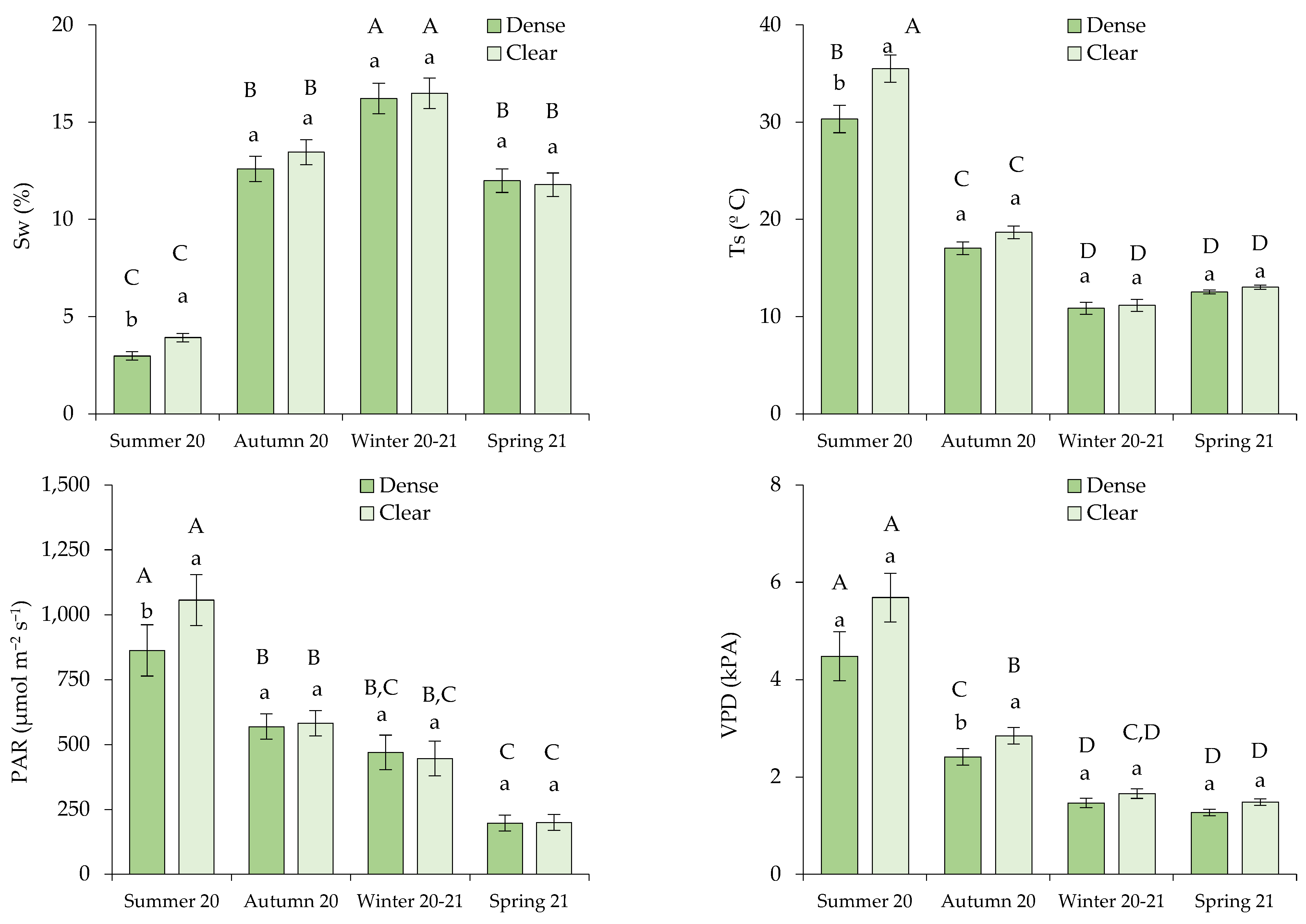
As shown in Figure 2, which summarizes the edaphic and environmental factors by season, the most contrasting microclimatic and environmental conditions occurred during the summer of 2020. It can also be highlighted that during the summer, all microclimatic and environmental parameters were significantly higher in the clear site, except vapor pressure deficit (VPD).
The photosynthetic active radiation (PAR) intercepted by the competition trees increased in the summer, remaining low during the rest of the seasons (Figure 2). This can partly explain the higher Ts measured in the clear site. As Ts and Sw are negatively correlated, the expected negative relationship between PAR and Sw was not observed in the open stand. Consequently, the lower soil humidity measured in the closed stand can be attributed partially to the competitive effects of pines for water capture.

2.2. Biometric Characteristics of Sampling Bushes: Plant Structure

While the heigh (h) of the clumps selected by size class was similar in both sites (Figure 3a), the maximum difference in perimeter at the base (Pb) of the bush was observed between mature esparto grass within the clear stand and young individuals at the dense site.
Regarding the root system of clumps (Figure 3b), significant differences were observed between mature and young esparto grasses in both sites. Notably, root length was higher in mature esparto grasses measured in the clear sites compared to the root development observed in young bushes sampled in the dense stand.
When analyzing the foliar development of sampled bushes (Figure 3c,d), our data revealed that senescent leaves exhibited evidently higher biomass (Dw; g) and leaf area (Af; cm2) compared to green leaves. Furthermore, a significant finding regarding foliar structure in green leaves was the considerably higher Dw and associated Af in mature bushes compared to young esparto grass at both sites. Additionally, the most noticeable difference was observed in Af between mature esparto grass growing in clear sites and young bushes within closed stands.
As a first relevant conclusion, young esparto grasses growing in the dense site exhibited a less developed root system and foliar structure compared to mature ones, particularly when compared to mature individuals growing in the clear site. These findings lead us to infer that transpiration between both types of bushes could differ due to the notable differences found in plant organs integral to the transpiration process, such as the root (responsible for water uptake from the soil) and the leaf area (involved in water exchange with the atmosphere) [4]. These two organs serve as functional indicators that reflect the combination of a plant's production capacity (leaf area) and adaptive strategies (root development) in response to changing precipitation in Stipa grasslands [24].
The biometric changes observed in S. tenacissima as it ages, along with the increased accumulation of senescent leaves biomass with age, are indicative of strategies that enhance water use efficiency and drought tolerance typically found in mature, more drought-adapted plants, thereby increasing transpiration [25].
It is noteworthy that the accumulation of senescent biomass is one of the strategies employed by this species for adaptation and tolerance, as noted in studies by Domingo et al. (1999) [36], and Ramírez et al. (2008a) [23]. This strategy, coupled with its distinctive foliar architecture (rolling leaves), contributes to enhancing the micrometeorological conditions within the plant [34]. This also underscores the significance of quantifying the contribution of senescent leaves to transpiration at the individual level, which is necessary to scale transpiration to bush or ecosystem levels [23].

2.3. Effects of Leave Senescence on Transpiration Rate

Table 1 presents the key statistics (p-value) for the selected linear mixed model with AIC= 190.43 and BIC=225.21, considering the transpiration rate of both green and senescent leaves as the dependent variable. The most notable result was that leaf type significantly affected the transpiration rate (p < 0.001). The average transpiration rate of green leaves (0.102 ± 0.005 mm h-1) was significantly higher (p<0.001) than that of senescent leaves (0.031 ± 0.001 mm h-1) (mean ± standard error). These results are consistent with findings reported by Haase et al. [26] where they observed that the transpiration for senescent leaves were lower than those obtained for green leaves.
Additionally, the leaf × season interaction was significant (Table 1), indicating that the measured transpiration significantly differed based on the type of leaf within spring, autumn, and winter. These findings confirm a strong seasonality in water regulation in esparto grass, dependent on the type of leaves.
As a consequence, the higher transpiration rate was observed in spring, primarily attributed to the activity of green leaves (Figure 4). Except for summer (the most critical drought season), the transpiration rate was consistently higher in green leaves compared to senescent leaves. During this drought season, the process of water release from leaves significantly slowed down. On average, the transpiration rate of green leaves during the summer remained below 0.050 mm h−1, comparable to senescent leaves in all seasons, where transpiration consistently stayed below 0.040 mm h-1. These findings align with those obtained by Ramírez et al. [25].
As noted in Section 2.1, we can also emphasize a significant activity of water exchange during the winter. In this season, the measured transpiration was similar to those obtained in autumn. This suggests that in the winter, esparto grass may exhibit certain climatic adaptation in the study area, linked to the elevated temperatures experienced during the cold period under semi-arid climates.
The results also suggest stomatal control of transpiration by green leaves throughout the four seasons, with a notable emphasis during the summer to prevent water loss, resulting in a subsequent decrease in transpiration [6].
In the summer, the senescent leaves lost an amount of water that could be particularly crucial given the conditions of water stress. However, this response served as a cooling mechanism at the leaf level to counteract high levels of solar radiation, thereby mitigating potential damage from overheating [28,33,37]. Contrary, the water exchange of senescent leaves could be mainly explained by the lack of stomatal regulation [25]. The loss of water of senescent leaves could be attributed to a combination of factors, including water loss through the foliar cuticle [38], and/or the adsorption and subsequent evaporation of dew water by the hygroscopic components of fibers, such as cellulose [39].

3.2. Effects of Site and Maturity on Transpiration in Green Leaves

Table 2 shows that the season also significantly affected the transpiration rate in green leaves (p < 0.001). The sampling time defined significant effects within seasons, particularly noted for stand density (in spring and summer) and the site × maturity interaction (in summer). Thus, over the study period, the transpiration response in green leaves varied with seasonality for each site, especially during the drought season.
As a result of the conducted ANOVA, the highest transpiration values were recorded in the bushes farthest away from pine competitors at the beginning of the growing season, during spring, with no water restrictions (Figure 5). We also observed that during the drought period, transpiration in the open site was significantly higher than in the closed stands, where there is a higher competence of pines for esparto grass. In this combination of factors transpiration was minimum.
Thus, our findings confirmed a significant effect of pine competitors on esparto grass in seasons with high water-demand scenarios, such as the summer drought period and at the onset of the growing and flowering period (spring) following the latent period (winter). Competence influencing water availability specially within species coexisting in semi-arid environments, thus affecting transpiration of dominated individuals [10,16,28,32]. This outcome could also be partially attributed to the interception of radiation by the tree canopy, at least during the spring. In the summer, the potential benefits of shade from nearby pines were minor compared to the effect of competition for water.
In this line Gasque and García-Fayos [16] observed negative effects of Aleppo pine on both the survival of S. tenacissima L. seedlings and the accumulation of biomass in those that successfully developed. As a consequence, our results align with the general rule that individuals with a large amount of foliage in abundant light exhibit higher transpiration compared to suppressed or overtopped individuals with less foliage growing in the shadows of their neighbors [10].
When analyzing site × maturity interactions across seasons (Figure 6), it can be observed that the lowest average daily transpiration was recorded in the young plants, also during the summer in the dense stand, while the remaining average transpiration values were similar within seasons, irrespective of maturity.
Furthermore, during spring, site effects led to significant differences between mature bushes in clear stands when compared to young esparto grass in closed sites (Figure 6). Consistent with the aforementioned observations, these findings indicate that transpiration in S. tenacissima decreased in younger individuals and in situations of competition with pines, particularly during high water-demand periods.
Similar results were observed by Ramírez et al. [23] during the water-stress season (summer), where they detected significant differences in transpiration among tussock-size classes in stands with the least S. tenacissima cover. A plausible explanation for the heightened transpiration observed in mature esparto grass is that, with age, esparto grass gradually acclimatizes to stressful environments, developing mechanisms to optimize resource utilization, such as water or light [33].
Although self-shading could be higher in large bushes than small bushes [33] thus decreasing transpiration, in summer water use efficiency is higher and photoinhibition is lower in large than in small esparto tussock [23]. However, since our results were obtained from leaves totally exposed to light at the top of the bush, the self-shading effect was attenuated, thus emphasizing the effects of other factors such as water availability and competence. Additionally, considering the significant influence of the bush size on soil moisture retention, mature individuals exhibit greater water reserves in the soil.
Finally, consistent with our earlier hypothesis that bushes with a more extensive root system would exhibit better adaptation to drought, maintaining a higher transpiration rate, the findings of Ramirez et al. (2008) [23] also revealed that small tussocks, in early development stage, were more vulnerable to water stress than larger ones. This vulnerability arises from their limited ability to uptake water, not only from rainfall but also from non-rainfall soil water during summer due to their smaller root system. Consequently, young tussocks are more susceptible to photoinhibition, leading to a reduction in water exchange, findings that align with our results.

3.3. Seasonal Effects of Soil Water on Transpiration in Green and Senescent Leaves

Table 3 presents the significant parameters defining the relationships between T for both types of leaves across all seasons as a function of Sw and site (combined exponential-power model; Model 1).
It is noticeable that the resulting models showed that T was independent of the site (competence) and Sw for senescent leaves (Table 3 and Table 4), thus representing a constant function (eb0). The model indicated a consistently relative transpiration rate in senesced leaves for each season. Transpiration models exhibiting low, constant values suggests minimal physiological activity in senescent leaves.
On the contrary, Sw significantly influenced T in green leaves throughout all seasons, impacting the overall yearly model. Consequently, green leaves displayed a positive response in transpiration to episodes of precipitation, but the effects of soil water on water exchange varied according to the season. As evident in the coefficients presented in Table 3, the transpiration rate increased with soil water humidity, except during winter.
Table 4 presents the different models fitted for each site, categorized by leaf type, and summarizes the microclimatic conditions during the study period. Notably, the soil water content played a crucial role in governing the transpiration models, especially during warm-temperate periods like spring and autumn, as well as during drought season.
The model's response varied depending on the competence effects (site) in spring and summer, as evidenced by the significance of the dummy variable “S” in these two seasons (Table 4). The models suggests that, for a certain increase in Sw, T was significantly greater in the clear site (Figure 7). This observation implies that this woodland exhibited a more robust response to severe drought conditions, partly attributed to the absence of competition with pines for water capture, as we have supposed above.
The models predicts that above 20% soil moisture, there is no increase in maximum transpiration (Figure 7). These conditions typically manifest during seasons of esparto vegetative pause (winter) or pulses of rain after storms. The models also verified the cooling effect in summer, where an increase in solar radiation resulted in an increase in the transpiration rate.
Therefore, the hypothetical interspecific competition effects on the transpiration of the esparto grass induced by the reduction not only light by water resources by P. halepensis, dominant tree species in this semi-arid ecosystem, should be accepted, as be expected previously by [16].

3.4. Correlations Between Measured Environmental Variables and Transpiration Rate in Function of Soil Water Content

Table 5 shows the correlations coefficients between soil microclimatic conditions (soil water content, and soil temperature), the other measured environmental factors (PAR and VPD), and transpiration in green leaves. The coefficients are provided for low (Sw<5%), intermediate (5%≥Sw≤15%) and high (Sw>15%) soil humidity conditions. We noted that the correlation between PAR and transpiration was consistently observed across the three analyzed soil gradients, with a more pronounced intensity under both low and high levels of luminosity.
Throughout the growing seasons of esparto grass, the improvement in environmental conditions, specifically the increase in solar radiation, stimulated transpiration. These results align with those of Ramírez et al. [21], highlighting the dependence of transpiration in S. tenacissima L. on solar radiation, particularly in soils characterized by high water content.
As can be observed in Table 5, the highest number of correlations was noted under conditions of restricted soil water availability (Sw<5%). This suggests a more intricate relationship between the variables in situations of limited soil moisture (summer).
Also, it is noteworthy that the correlation between T and Sw decreased as water deficit conditions alleviated (as reflected fitted models). When Sw remained below 5%, as is often the case during extended periods of summer, promoting water stress conditions, the transpiration of green leaves consistently maintained positive, moderate, and significant correlations with the analyzed factors, except for Ts. This confirms that transpiration in green leaves responds positively to slight increases in soil moisture under drought conditions.
Furthermore, in summer, increased in T was also observed when increasing in VPD and PAR that reached the esparto grass green leaves. However, under dry conditions, stomatal opening can be more responsive to intracellular CO2 concentration and abscisic acid concentration in the leaf than to environmental factors such as PAR or pressure deficit [40,41]. Hence, the correlations observed between in-situ PAR and T under water-restricted conditions could be attributed, in part, to water loss through the leaf cuticle. Despite the accumulation of waxes in the cuticle, aiding in the prevention of water loss through non-stomatal transpiration [42], prior studies in various Stipa species [38,43] have demonstrated high levels of water loss from the cuticle, particularly during episodes of water stress.
In addition to the aforementioned water loss through the cuticle, it's important to note that the mechanism associated with stomatal opening, driven by a reduction in the water potential of the guard cells [44], may be influenced by the loss of intracellular turgor under water stress conditions, particularly in senescent leaves. In this context, the high tolerance of esparto grass to the loss of intracellular turgor [35] enables the survival of this bush even when its leaves have partially depleted moisture.

3. Materials and Methods

3.1. Study Area

The study was conducted in pine forests dominated by P. halepensis as the tree species in the canopy or overstory, with S. tenacissima L. as the main species in the herbaceous layer. These vegetal formations are situated in the Sierra de los Donceles Mountain (Southeast of the Iberian Peninsula, Spain; Figure 8). The climate is classified as Mediterranean semiarid, type BSk according to the Köppen-Geiger climate classification system. The area falls within the meso-mediterranean bioclimatic type, with an average annual temperature and precipitation of 15.8 °C and 327.6 mm, respectively (1990–2022 period; meteorological data provided by the Spanish Meteorological Agency, AEMET, Madrid). The region experiences a large thermal amplitude, resulting in an average annual temperature ranging from 42.6 °C in August to −1.2 °C in January. Precipitation occurs erratically throughout the year, primarily in short periods marked by intense storm events.
The Donceles Mountain Range is characterized by dolomitic limestone formations dating back to the Jurassic period, with altitudes ranging from 504 to 808 m.a.s.l. The pine forest in the study area is positioned on a mid-slope area, facing north. According to the USDA Soil Taxonomy System, soils in the research area are classified as Aridisol, suborder Calcid, owing to limited soil moisture available for plant growth and the accumulation of carbonates. The soils are alkaline-clayey (pH: 8-8.5 and clay content > 30%), with the profile extending from a depth of 10 to 30 centimeters [45].
Aleppo pine dominates the upper canopy layer, while the forest understory mainly consists of shrublands of S. tenacissima L. Other species present in the area form an evergreen sclerophyllous forest, including Rhamnus lycioides L., Rosmarinus officinalis L., Pistacia lentiscus L., and Quercus coccifera L. [45]. The density of Aleppo pine stands in this forest is highly heterogeneous, ranging from 88 trees per hectare in open sites to 345 trees per hectare in dense, closed stands [46].

3.2. Experimental Layout and Sampling of Bushes

Diurnal patterns of water exchange in green and senesced leaves were monitored from August 2020 to March 2021 on 14 sampling days, spanning the four seasons, thus reflecting the period of water stress (summer), period of growth and return to dormancy (autumn), dormancy (winter), and season of activate grown (spring) [35].
To do this, eight esparto bushes were chosen as samples for leaf-level transpiration measurements. The bushes were growing under two levels of pine-esparto competition, encompassing both clear and dense stands, and thereby experiencing different water absorption effects from nearby pines. Clear stands have a low density of trees, ranging from 50 to 80 trees per hectare, with the herbaceous vegetation of esparto grass dominating the understory. In contrast, the dense site is a closed pine forest with a high density of Aleppo pine trees, ranging from 250 to 350 per hectare [46]. Half of the measured esparto grass samples were selected from the clear site, while the remaining half were chosen from the dense site.
The esparto grasses in the dense site were located within a circular area 5 m radius from pine competitor. In the open site, the sampled esparto bushes were isolated from pine competitors (>10 m). The tussocks were selected while maintaining a distance greater than 2 meters from the surrounding esparto grass to prevent intraspecific alterations in their water balance.
We additionally assessed transpiration in two bush maturity groups based on their mean cover diameter [21]: young (<70 cm perimeter of the base) and mature (>130 cm perimeter) esparto grass. To achieve this, half of the sampled bushes were chosen as young, with the remaining half classified as mature.
Within each selected tussock, tillers were randomly chosen on each sampling day and categorized as either green leaves (in their first or second growing season) or senescent leaves (displaying orange to yellow colors). The aim was to measure transpiration based on the type of leaf. No differences exist between the soils or slopes of the two studied sites.

3.3. Measurements of Transpiration at Leaf Level

Transpiration at the leaf level was quantified using LI-6400 XT equipment, which incorporates a camera for the measurement of water fluxes in needles (6400 07 Needle Chamber; LI-COR Inc., Lincoln, NE, USA). Measurements were conducted three times a day (approximately at 8:00, 12:00, and 16:00 UTC) to mitigate the influence of temperature fluctuations during daylight hours on transpiration. This approach also was chosen because transpiration in esparto grass is maximized around midday [21,46] a pattern characteristic of plants with C3 metabolism [47]. Each replica consisted of five leaves taped together, that were placed in the IRGA’s chamber (Figure 9). Three repeated measures were taken for each hour, and the mean was used for subsequent statistical analysis. Thus, the total dataset included: 3 times day−1 x 2 types of leaf x 8 bushes x 14 sampling days. Transpiration was registered in leaves at full sunlight to avoid photo-inhibition effects. Water exchange was calculated based on the projected leaf area, employing the formula integrated into the LI-COR operating software:
T = F ( W s W r ) 100 S 100 W s
Where T represents transpiration (mol H2O m−2 s−1), F is the air flow entering the chamber (μmol air s−1), Ws and Wr are the mole fractions of water in the sample and the reference flows, respectively (mmol H2O (mol air)−1), and S denotes the measured leaf area (cm2). Afterward, water exchange was expressed as the transpiration rate in mm h⁻¹, considering the weight of 1 mmol of H₂O (0.018016 g) and 1 liter of water = 1 mm m⁻². Thus, transpiration represents the rate of water exchange per unit of foliar area (m⁻²). The leaf segments used in the measurements were harvested and their projected area was determined with a leaf area measurement equipment (WD-E3; Delta-T Devices, Cambridge, UK). Considering that esparto grass folds its leaves into a cylinder, the only viable approach was to assess the projected leaf area in the closed position [26].
Figure 2. Measurement of transpiration in Stipa tenacissima L. leaves using the LI-6400XT portable equipment. The setup involved the use of the 6400-07 Needle Chamber, specifically designed for needle-like leaves. The sample consisted of 5 segments of leaves.
Figure 2. Measurement of transpiration in Stipa tenacissima L. leaves using the LI-6400XT portable equipment. The setup involved the use of the 6400-07 Needle Chamber, specifically designed for needle-like leaves. The sample consisted of 5 segments of leaves.
Preprints 96834 g009

3.4. Biometric Characterization of Sampled Bushes: Plant Structure

To determine the biometry of each sampled esparto grass plant, at the conclusion of the experimental campaign, the bushes used for sampling were extracted from the soil. Subsequently, in the laboratory, the esparto components—green leaves, senescent leaves, dead leaves, and roots—were separated. The dry biomass of each foliar component (green, senescent leaves) was obtained by drying samples in an oven (65 ºC for 48 h). The samples were weighed using a precision balance (sensitivity ± 0.01 g; Kern EW, Kern & Sohn GmbH, Balingen, Germany). Also, the dimensions of the root (root depth, and root length) were determined by using a scaler ruler (± cm). To determine the total projected leaf area of each bush, a subsample of each leaf type was selected to calculate the specific leaf area (SLA), resulting in an SLA of 10.8 ± 0.9 cm² g⁻¹ for the study area. Following this, the total dry weight of each leaf type was multiplied by the SLA to obtain the total leaf area per leaf type for the bush [46].

3.5. Microclimatic Soil Measurements and Environmental Conditions

Soil moisture content (Sw; %) and soil temperature (Ts; º C) were measured at a depth of 5 cm with a moisture probe (Theta Probe ML2x, Delta-T Devices, Cambridge, UK), and a temperature probe (TMC20-HD, Onset Computers, Bourne, Massachusetts, USA), respectively. Data collection was conducted beneath each sampled esparto grass during the transpiration measurement period. Data were recorded in dataloggers (CR1000, Campbell Scientific, Logan, Utah, USA). Additionally, photosynthetically active radiation (PAR; µmol m−2 s−1) was recorded in situ with a levelable quantum sensor integrated into the LI6400 (LI-190, LI-COR Inc., Lincoln, NE, USA). The vapor pressure deficit (VPD; kPa) was calculated using parameters also measured inside the chamber connected to the LI6400 equipment as the difference between the vapor pressure at saturation of the plant and the vapor pressure of the air.

3.6. Statistical Analysis

The influence of considered factors on transpiration rate (T; mm h−1) was examined using nested linear mixed models (LMM). While the measurements were independent, with distinct leaves measured on each sampling day, it is necessary to consider repeated measurements on the same subject (bush) within a sample of leaves. The first model included as the fixed components leaf type (2 levels: green or senescent), site (2 levels: clear or dense), season (4 levels based on sampling time: winter, spring, summer, and autumn), and bush maturity (2 levels: young and mature esparto grass), along with their interactions. This model aims to detect differences between green and senescent leaves in relation to the main factors.
Afterwards, the model was readjusted by removing the type of leaf as a fixed effect, and then considering only transpiration of green leaves as the dependent variable (to isolate and highlight the effects of the main factors on leaves with higher physiological activity, i.e., the green leaves).
The two models incorporated as random effects the sampled bush (8 levels) nested within site, and heteroscedastic variance across the sampling dates. In the models, the sampling “bush” was nested within “site” since different shrubs were measured in each woodland, and “bush” was considered a random factor since the selected bushes were a random sample from the total esparto grass (randomized design, [48]). Thus, this model represents a linear mixed-effects model with fixed and nested random effects. The effects of “between factors” on the response variable “within each season” was also analyzed, taking into account the seasonal data.
Random variance components were estimated using restricted maximum likelihood estimation (RMLE). Model selection was based on Bayesian Information Criterion (BIC) and Akaike Information Criterion (AIC). Mean values were compared using Fisher’s LSD post-hoc test (α = 0.05) if the factors were significant. Mixed models were fitted using the nlme package in R [49].
In addition, we explored the relationships between the rate of water exchange (T; mm h−1) and the soil water content (Sw; %). These models were conducted using the entire dataset for both types of leaves across all seasons, employing the following combined exponential-power model (Model 1):
T = e x p β 0 + β 0 ´ S + β 1 + β 1 ´ S × S w S w β 2 + β 2 ´ S × ε
This model, a generalization of the power function [50], captures the relationship where transpiration increases based on soil humidity but follows a hump-shaped pattern skewed to the right. In Model 1, the influence of the competence (site) on transpiration was incorporated through the use of a dummy variable “S” (S = 0 for the clear site and S = 1 for the dense site). The models were estimated for both short-term (seasonal variations in transpiration) and long-term (annual data aggregated across all seasons). The selection of significant parameters in Model 1 involved logarithmic transformation (linearization) and stepwise regression, facilitating the comparison of two regression lines between the two sites across different seasons. Coefficients with a p-value < 0.05 were deemed significant. The regressions were evaluated based on the F ratio (p < 0.05) and the adjusted R2 [51]. Values with absolute DIFT > (2 × n p ) were considered influential points (p is the number of coefficients, and n is the number of data [52] and were removed. Regressions were fitted using Statgraphics Centurion XVIII® software (Statgraphics Technologies, Inc., Virginia, USA). We also conducted correlations between measured environmental variables and transpiration rates, considering soil water content, using this software.

4. Conclusions

Overall, this paper represents an advance in knowledge concerning the study of the interactions between Aleppo pine and esparto grass in one of the most characteristic ecosystems of the Mediterranean basin and under semi-arid climate, particularly in periods of high water demand. Our results revealed the strong relationships between soil water and transpiration in green leaves, which has been also governed by competence of pines on esparto bushes, seasonality, and maturity of the bushes.
Our findings suggest that an increase in drought could contribute to the loss of esparto cover in the Mediterranean basin, particularly under elevated competition with pines. In this sense, to restore mixed pine-esparto grass ecosystems in the Mediterranean basin, reforestation programs should aim to reduce the percentage of pine in the reforested areas and incorporate esparto. This approach helps avoid excessive competition for esparto grass, which could jeopardize its survival, particularly in the context of climate change.
Finally, the conclusions of this study could be used in the near future to carry out scaling of water and carbon exchange at stand level in semiarid forests co-habited by P. halepensis and S. tenacissima. Further studies on these formations are required to better understand other crucial ecophysiological variables related to carbon sequestration and water use efficiency unique to this habitat.

Author Contributions

Conceptualization, I.P., F.L., E.R. and F.G.; methodology, F.L., D.G., E.R., W.C. and R.A.; software, F.G., I.P.; validation, E.R., M.A., M.P.; formal analysis, I.P., F.G., D.G., M.P., W.C., R.A.; resources, F.L., E.R. and M.A.; writing—original draft preparation, I.P., F.G.; writing—review and editing, I.P., F.G., F.L.; supervision, F.L., E.R.; funding acquisition, E.R., M.A. and F.L. All authors have read and agreed to the published version of the manuscript.

Funding

This research was supported by the Projects MINECO/AEI/FEDER. Ref CGL2017-83538-C3-2-R, and PID2020-119861RB-I00.

Data Availability Statement

Datasets are available on request to authors.

Acknowledgments

This paper is a part of the Doctoral Thesis of Iván Pérez Anta carried out at University of Castilla-La Mancha. We thank the Department of Science and Agroforestry Technology and Genetics and the Renewable Energy Research Institute-IER (University of Castilla-La Mancha), for the help given to Iván Pérez Anta to carry out his doctoral thesis.

Conflicts of Interest

The authors declare no conflict of interest.

References

  1. Pugnaire, F.I.; Armas, C.; Maestre, F.T. Positive plant interactions in the Iberian Southeast: Mechanisms, environmental gradients, and ecosystem function. Journal of Arid Environments 2011, 75, 1310–1320. [Google Scholar] [CrossRef]
  2. Wu, W.; Li, H.; Feng, H.; Si, B.; Chen, G.; Meng, T.; Li, Y.; Siddique, K.H.M. Precipitation dominates the transpiration of both the economic forest (Malus pumila) and ecological forest (Robinia pseudoacacia) on the Loess Plateau after about 15 years of water depletion in deep soil. Agricultural and Forest Meteorology 2021, 297. [Google Scholar] [CrossRef]
  3. Sperlich, D.; Chang, C.T.; Peñuelas, J.; Gracia, C.; Sabaté, S. Seasonal variability of foliar photosynthetic and morphological traits and drought impacts in a Mediterranean mixed forest. Tree Physiology 2015, 35, 501–520. [Google Scholar] [CrossRef]
  4. Kozlowski, T.T.; Pallardy, S.G. CHAPTER 12 - Transpiration and Plant Water Balance. In Physiology of Woody Plants (Second Edition); Kozlowski, T.T., Pallardy, S.G., Eds.; Academic Press: San Diego, 1997; pp. 269–308. [Google Scholar]
  5. Kozlowski, T.T.; Pallardy, S.G. Transpiration and Plant Water Balance. In Physiology of Woody Plants, Second edition ed.; Kozlowski, T.T., Pallardy, S.G., Eds.; Academic Press: San Diego, 1997; pp. 269–308. [Google Scholar]
  6. Buckley, T.N. Modeling Stomatal Conductance. Plant Physiology 2017, 174, 572–582. [Google Scholar] [CrossRef] [PubMed]
  7. Landsberg, J.J.; Gower, S.T. 4 - Forest Hydrology and Tree–Water Relations. In Applications of Physiological Ecology to Forest Management; Landsberg, J.J., Gower, S.T., Eds.; Academic Press: San Diego, 1997; pp. 89–124. [Google Scholar]
  8. Zhu, Y.; Cheng, Z.; Feng, K.; Chen, Z.; Cao, C.; Huang, J.; Ye, H.; Gao, Y. Influencing factors for transpiration rate: A numerical simulation of an individual leaf system. Thermal Science and Engineering Progress 2022, 27, 101110. [Google Scholar] [CrossRef]
  9. Li, X.; Zhai, J.; Sun, M.; Liu, K.; Zhao, Y.; Cao, Y.; Wang, Y. Characteristics of Changes in Sap Flow-Based Transpiration of Poplars, Locust Trees, and Willows and Their Response to Environmental Impact Factors. Forests 2024, 15. [Google Scholar] [CrossRef]
  10. Pallardy, S.G.; Čermák, J.; Ewers, F.M.; Kaufmann, M.R.; Parker, W.C.; Sperry, J.S. Physiological Ecology: A Series of Monographs, Texts, and Treatises. In Resource Physiology of Conifers; Smith, W.K., Hinckley, T.M., Eds.; Academic Press: San Diego, 1995; pp. 301–389. [Google Scholar]
  11. Pallardy, S.G.; Čermák, J.; Ewers, F.M.; Kaufmann, M.R.; Parker, W.C.; Sperry, J.S. Water transport dynamics in trees and stands. In Physiological Ecology: A Series of Monographs, Texts, and Treatises. Resource Physiology of Conifers; Smith, W.K., Hinckley, T.M., Eds.; Academic Press: San Diego, 1995; pp. 381–389. [Google Scholar] [CrossRef]
  12. Buckley, T.N. How do stomata respond to water status? New Phytologist 2019, 224, 21–36. [Google Scholar] [CrossRef] [PubMed]
  13. Vitale, M.; Anselmi, S.; Salvatori, E.; Manes, F. New approaches to study the relationship between stomatal conductance and environmental factors under Mediterranean climatic conditions. Atmospheric Environment 2007, 41, 5385–5397. [Google Scholar] [CrossRef]
  14. Han, T.; Feng, Q.; Yu, T.; Liu, W.; Ma, J.; Zhao, C.; Yang, L.; Zhang, J.; Li, H. Contrasting response of water use efficiency to soil moisture availability: From leaf to ecosystem in an arid oasis. Ecological Indicators 2023, 147. [Google Scholar] [CrossRef]
  15. Huang, L.; Zhang, Z. Effect of rainfall pulses on plant growth and transpiration of two xerophytic shrubs in a revegetated desert area: Tengger Desert, China. Catena 2016, 137, 269–276. [Google Scholar] [CrossRef]
  16. Gasque, M.a.; Garcı́a-Fayos, P. Interaction between Stipa tenacissima and Pinus halepensis: Consequences for reforestation and the dynamics of grass steppes in semi-arid Mediterranean areas. Forest Ecology and Management 2004, 189, 251–261. [Google Scholar] [CrossRef]
  17. Sanchez, G.; Puigdefabregas, J. Interactions of plant growth and sediment movement on slopes in a semi-arid environment. Geomorphology 1994, 9, 243–260. [Google Scholar] [CrossRef]
  18. Belkhir, S.; Koubaa, A.; Khadhri, A.; Ksontini, M.; Smiti, S. Variations in the morphological characteristics of Stipa tenacissima fiber: The case of Tunisia. Industrial Crops and Products 2012, 37, 200–206. [Google Scholar] [CrossRef]
  19. Redmann, R.E. Adaptation of Grasses to Water Stress-Leaf Rolling and Stomate Distribution. Annals of the Missouri Botanical Garden 1985, 72, 833–842. [Google Scholar] [CrossRef]
  20. Rivero, R.M.; Kojima, M.; Gepstein, A.; Sakakibara, H.; Mittler, R.; Gepstein, S.; Blumwald, E. Delayed leaf senescence induces extreme drought tolerance in a flowering plant. Proceedings of the National Academy of Sciences of the United States of America (PNAS) 2007, 104(49), 19631–19636. [Google Scholar] [CrossRef] [PubMed]
  21. Ramírez, D.A.; Valladares, F.; Blasco, A.; Bellot, J. Assessing transpiration in the tussock grass Stipa tenacissima L.: The crucial role of the interplay between morphology and physiology. Acta Oecologica 2006, 30, 386–398. [Google Scholar] [CrossRef]
  22. Valladares, F.; Pugnaire, F.I. Tradeoffs Between Irradiance Capture and Avoidance in Semi-arid Environments Assessed with a Crown Architecture Model. Annals of Botany 1999, 83, 459–469. [Google Scholar] [CrossRef]
  23. Ramírez, D.A.; Valladares, F.; Domingo, F.; Bellot, J. Seasonal water-use efficiency and chlorophyll fluorescence response in alpha grass (Stipa tenacissima L.) is affected by tussock size. Photosynthetica 2008, 46, 222–231. [Google Scholar] [CrossRef]
  24. Lv, X.; Zhou, G.; Wang, Y.; Song, X. Sensitive Indicators of Zonal Stipa Species to Changing Temperature and Precipitation in Inner Mongolia Grassland, China. Front Plant Sci 2016, 7, 73. [Google Scholar] [CrossRef] [PubMed]
  25. Ramírez, D.A.; Bellot, J.; Domingo, F.; Blasco, A. Can water responses in Stipa tenacissima L. during the summer season be promoted by non-rainfall water gains in soil? Plant and Soil 2006, 291, 67–79. [Google Scholar] [CrossRef]
  26. Haase, P.; Pugnaire, F.I.; Clark, S.C.; Incoll, L.D. Environmental control of canopy dynamics and photosynthetic rate in the evergreen tussock grass Stipa tenacissima. Plant Ecology 1999, 145, 327–339. [Google Scholar] [CrossRef]
  27. Krichen, K.; Vilagrosa, A.; Chaieb, M. Divergence of functional traits at early stages of development in Stipa tenacissima populations distributed along an environmental gradient of the Mediterranean. Plant Ecology 2019, 220, 995–1008. [Google Scholar] [CrossRef]
  28. Pugnaire, F.I.; Haase, P. Comparative Physiology and Growth of Two Perennial Tussock Grass Species in a Semi-Arid Environment. Annals of Botany 1996, 77, 81–86. [Google Scholar] [CrossRef]
  29. Ghiloufi, W.; Quero, J.L.; García-Gómez, M.; Chaieb, M. Potential impacts of aridity on structural and functional status of a southern Mediterranean Stipa tenacissima steppe. South African Journal of Botany 2016, 103, 170–180. [Google Scholar] [CrossRef]
  30. Han, L.; Liu, L.; Peng, L.; Wang, N.; Zhou, P. Mixing of tree species with the same water use strategy might lead to deep soil water deficit. Forest Ecology and Management 2023, 534. [Google Scholar] [CrossRef]
  31. Moreno-Gutiérrez, C.; Battipaglia, G.; Cherubini, P.; Saurer, M.; Nicolás, E.; Contreras, S.; Querejeta, J.I. Stand structure modulates the long-term vulnerability of Pinus halepensis to climatic drought in a semiarid Mediterranean ecosystem. Plant Cell Environ 2012, 35, 1026–1039. [Google Scholar] [CrossRef] [PubMed]
  32. Kobayashi, Y.; Tanaka, T. Water flow and hydraulic characteristics of Japanese red pine and oak trees. Hydrological Processes 2001, 15, 1731–1750. [Google Scholar] [CrossRef]
  33. Ramírez, D.A.; Valladares, F.; Blasco, A.; Bellot, J. Effects of tussock size and soil water content on whole plant gas exchange in Stipa tenacissima L.: Extrapolating from the leaf versus modelling crown architecture. Environmental and Experimental Botany 2008, 62, 376–388. [Google Scholar] [CrossRef]
  34. Maestre, F.T.; Cortina, J. Remnant shrubs in Mediterranean semi-arid steppes: Effects of shrub size, abiotic factors and species identity on understorey richness and occurrence. Acta Oecologica 2005, 27, 161–169. [Google Scholar] [CrossRef]
  35. Balaguer, L.; Pugnaire, F.I.; Martínez-Ferri, E.; Armas, C.; Valladares, F.; Manrique, E. Ecophysiological significance of chlorophyll loss and reduced photochemical efficiency under extreme aridity in Stipa tenacissima L. Plant and Soil 2002, 240, 343–352. [Google Scholar] [CrossRef]
  36. Domingo, F.; Villagarcı́a, L.; Brenner, A.J.; Puigdefábregas, J. Evapotranspiration model for semi-arid shrub-lands tested against data from SE Spain. Agricultural and Forest Meteorology 1999, 95, 67–84. [Google Scholar] [CrossRef]
  37. Pugnaire, F.I.; Haase, P.; Incoll, L.D.; Clark, S.C. Response of the Tussock Grass Stipa tenacissima to Watering in a Semi-Arid Environment. Functional Ecology 1996, 10, 265–274. [Google Scholar] [CrossRef]
  38. Yang, Y.; Zhou, Z.; Li, Y.; Lv, Y.; Yang, D.; Yang, S.; Wu, J.; Li, X.; Gu, Z.; Sun, X.; et al. Uncovering the role of a positive selection site of wax ester synthase/diacylglycerol acyltransferase in two closely related Stipa species in wax ester synthesis under drought stress. J Exp Bot 2020, 71, 4159–4170. [Google Scholar] [CrossRef] [PubMed]
  39. El-Abbassi, F.E.; Assarar, M.; Ayad, R.; Bourmaud, A.; Baley, C. A review on alfa fibre (Stipa tenacissima L.): From the plant architecture to the reinforcement of polymer composites. Composites Part A: Applied Science and Manufacturing 2020, 128. [Google Scholar] [CrossRef]
  40. Haworth, M.; Marino, G.; Cosentino, S.L.; Brunetti, C.; De Carlo, A.; Avola, G.; Riggi, E.; Loreto, F.; Centritto, M. Increased free abscisic acid during drought enhances stomatal sensitivity and modifies stomatal behaviour in fast growing giant reed (Arundo donax L.). Environmental and Experimental Botany 2018, 147, 116–124. [Google Scholar] [CrossRef]
  41. Carignato, A.; Vázquez-Piqué, J.; Tapias, R.; Ruiz, F.; Fernández, M. Variability and Plasticity in Cuticular Transpiration and Leaf Permeability Allow Differentiation of Eucalyptus Clones at an Early Age. Forests 2019, 11. [Google Scholar] [CrossRef]
  42. Zhou, A.; Liu, E.; Liu, J.; Feng, S.; Gong, S.; Wang, J. Characterization of increased cuticular wax mutant and analysis of genes involved in wax biosynthesis in Dianthus spiculifolius. Hortic Res 2018, 5, 40. [Google Scholar] [CrossRef]
  43. Li, X.; Huang, Q.; Mi, X.; Bai, Y.; Zhang, M.; Li, X. Grazing every month minimizes size but boosts photosynthesis in Stipa grandis in the steppe of Inner Mongolia, China. Journal of Arid Land 2018, 10, 601–611. [Google Scholar] [CrossRef]
  44. Büssis, D.; von Groll, U.; Fisahn, J.; Altmann, T. Stomatal aperture can compensate altered stomatal density in Arabidopsis thaliana at growth light conditions. Funct Plant Biol 2006, 33, 1037–1043. [Google Scholar] [CrossRef]
  45. García-Morote, F.; Martínez-García, E.; Andrés-Abellán, M.; Caballero, E.; Miettinen, H.; López-Serrano, F. Direct Seeding of Pinus halepensis Mill. for Recovery of Burned Semi-Arid Forests: Implications for Post-Fire Management for Improving Natural Regeneration. Forests 2017, 8. [Google Scholar] [CrossRef]
  46. Pérez-Anta, I. Efecto de Stipa tenacissima L. sobre los flujos de agua del sistema suelo-esparto en un ecosistema semiárido de Pinus halepensis Mill. en el SE peninsular: Implicaciones para la gestión forestal. University of Castilla-La Mancha, Albacete, Spain, 2021.
  47. Leuning, R. A critical appraisal of a combined stomatal-photosynthesis model for C3 plants. Plant, Cell & Environment 1995, 18, 339–355. [Google Scholar] [CrossRef]
  48. Hoshmand, H.R. Design of Experiments for Agriculture and the Natural Sciences Second Edition, Second Edition ed.; Champan & Hall/CRC: New York, 2006; p. 437. [Google Scholar] [CrossRef]
  49. Pinheiro, J.B.D.; DebRoy, S.; Sarkar, D.; R Core Team. nlme: Linear and Nonlinear Mixed Effects Models. R package version 3.1-155. 2022. https://CRAN.R-project.org/package=nlme.
  50. Daniel, C.; Wood, F.S. Fitting equations to data: Computer analysis of multifactor data; John Wiley & Sons, Inc.: 1980.
  51. Neter, J.; Kutner, M.; Wasserman, W.; Nachtsheim, C. Applied Linear Statistical Models, 4th ed.; McGraw-Hill-Irwin: Chicago, 1996; pp. xv, 720 pages. [Google Scholar]
  52. Belsley, D.A.; Kuh, E.; Welsch, R.E. Regression Diagnostics: Identifying Influential Data and Sources of Collinearity; John Wiley & Sons, Ltd.: New York, 2013. [Google Scholar]
Figure 1. (a) Variation in measured transpiration rate (T; mm h−1) in both green and senescent leaves throughout the study period's seasons; and (b) Variation of soil microclimatic conditions during the sampling period, including soil water content (Sw; %), and soil temperature (Ts; ºC). Error bars: standard error.
Figure 1. (a) Variation in measured transpiration rate (T; mm h−1) in both green and senescent leaves throughout the study period's seasons; and (b) Variation of soil microclimatic conditions during the sampling period, including soil water content (Sw; %), and soil temperature (Ts; ºC). Error bars: standard error.
Preprints 96834 g001
Figure 2. Environmental conditions measured in the sampling bushes, defined by (a) soil water content (Sw; %), and (b) soil temperature (Ts; ºC), along with environmental parameters correlated with the transpiration rate, specifically (c) photosynthetic active radiation (PAR; µmol m−2 s−1) and (d) vapor pressure deficit (VPD; kPa). In each season, distinct lowercase letters indicate statistically significant differences, while different uppercase letters signify statistically significant differences (p ≤ 0.05; LSD test) between seasons. Error bars represent standard errors.
Figure 2. Environmental conditions measured in the sampling bushes, defined by (a) soil water content (Sw; %), and (b) soil temperature (Ts; ºC), along with environmental parameters correlated with the transpiration rate, specifically (c) photosynthetic active radiation (PAR; µmol m−2 s−1) and (d) vapor pressure deficit (VPD; kPa). In each season, distinct lowercase letters indicate statistically significant differences, while different uppercase letters signify statistically significant differences (p ≤ 0.05; LSD test) between seasons. Error bars represent standard errors.
Preprints 96834 g002
Figure 3. Biometric characterization of the esparto grasses sampled in the study area based on leaf type, site, and maturity: (a) Bush dimensions: Pb (perimeter at the base in cm), h (height of the bush in cm); (b) Root dimensions (cm): depth and length; (c) Dw (foliar dry weight in g); (d) Af (foliar area in cm²). Distinct lowercase letters indicate statistically significant differences (p ≤ 0.05; LSD test) between bushes in terms of height (a), root depth (b), foliar biomass for green leaves (c), and foliar area for green leaves (d). Different uppercase letters signify statistically significant differences (p ≤ 0.05; LSD test) between perimeter at the base (a), root length (b), foliar biomass of senescent leaves (c), and foliar area for senescent leaves (d). Error bars represent standard errors.
Figure 3. Biometric characterization of the esparto grasses sampled in the study area based on leaf type, site, and maturity: (a) Bush dimensions: Pb (perimeter at the base in cm), h (height of the bush in cm); (b) Root dimensions (cm): depth and length; (c) Dw (foliar dry weight in g); (d) Af (foliar area in cm²). Distinct lowercase letters indicate statistically significant differences (p ≤ 0.05; LSD test) between bushes in terms of height (a), root depth (b), foliar biomass for green leaves (c), and foliar area for green leaves (d). Different uppercase letters signify statistically significant differences (p ≤ 0.05; LSD test) between perimeter at the base (a), root length (b), foliar biomass of senescent leaves (c), and foliar area for senescent leaves (d). Error bars represent standard errors.
Preprints 96834 g003
Figure 4. Variation in transpiration rate across the four seasons based on the type of leaves (green or senescent). In each season, distinct lowercase letters indicate statistically significant differences (p ≤ 0.05; LSD test), while different uppercase letters signify statistically significant differences (p ≤ 0.05; LSD test) between seasons. Error bars represent standard errors.
Figure 4. Variation in transpiration rate across the four seasons based on the type of leaves (green or senescent). In each season, distinct lowercase letters indicate statistically significant differences (p ≤ 0.05; LSD test), while different uppercase letters signify statistically significant differences (p ≤ 0.05; LSD test) between seasons. Error bars represent standard errors.
Preprints 96834 g004
Figure 5. Transpiration rate (mm h−1) in green leaves across the four seasons and in function of the site. In each season, distinct lowercase letters indicate statistically significant differences (p ≤ 0.05; LSD test), while different uppercase letters signify statistically significant differences (p ≤ 0.05; LSD test) between seasons. Error bars represent standard errors.
Figure 5. Transpiration rate (mm h−1) in green leaves across the four seasons and in function of the site. In each season, distinct lowercase letters indicate statistically significant differences (p ≤ 0.05; LSD test), while different uppercase letters signify statistically significant differences (p ≤ 0.05; LSD test) between seasons. Error bars represent standard errors.
Preprints 96834 g005
Figure 6. Interactions between site and maturity across the four seasons for the transpiration rate in green leaves. Means sharing the same letter within each season are not significantly different at a 95% probability level (LSD test; p < 0.05).
Figure 6. Interactions between site and maturity across the four seasons for the transpiration rate in green leaves. Means sharing the same letter within each season are not significantly different at a 95% probability level (LSD test; p < 0.05).
Preprints 96834 g006aPreprints 96834 g006b
Figure 7. Fitted models for green leaves explaining the Transpiration rate (T; mm h−1) in relation to soil water (Sw; %) and site. The models are presented for the long-term period, with data across all seasons: for the dense site T = e ( 5.82 0.053 S w )   S w 1.60 , and for clear site: T = e ( 4.78 0.053 S w )   S w 1.35 . Means values of Transpiration rate ± standard error (mm h−1) are also presented in the graph at soil water content intervals of 2.5%, 7.5%, 12.5%, 17.5%, and 22.5%.
Figure 7. Fitted models for green leaves explaining the Transpiration rate (T; mm h−1) in relation to soil water (Sw; %) and site. The models are presented for the long-term period, with data across all seasons: for the dense site T = e ( 5.82 0.053 S w )   S w 1.60 , and for clear site: T = e ( 4.78 0.053 S w )   S w 1.35 . Means values of Transpiration rate ± standard error (mm h−1) are also presented in the graph at soil water content intervals of 2.5%, 7.5%, 12.5%, 17.5%, and 22.5%.
Preprints 96834 g007
Figure 8. Location of the study area in the southern of Spain (Sierra de los Donceles Mountains), and the sampled esparto grass where transpiration measurements were conducted in both clear and dense stands. The coordinates are in UTM(m), using the ETRS89 reference system.
Figure 8. Location of the study area in the southern of Spain (Sierra de los Donceles Mountains), and the sampled esparto grass where transpiration measurements were conducted in both clear and dense stands. The coordinates are in UTM(m), using the ETRS89 reference system.
Preprints 96834 g008
Table 1. Summary statistics for the linear mixed model (LMM) describing the influence of leaf type on the total transpiration rate (T, mm h−1) in the two sites across all seasons, including the effect of the maturity of the bush. Results are presented with the dependent variable as transpiration measured in both types of leaves (greens and senescent; entire dataset, n=672). * Effects considered significant if p < 0.05 (95% probability).
Table 1. Summary statistics for the linear mixed model (LMM) describing the influence of leaf type on the total transpiration rate (T, mm h−1) in the two sites across all seasons, including the effect of the maturity of the bush. Results are presented with the dependent variable as transpiration measured in both types of leaves (greens and senescent; entire dataset, n=672). * Effects considered significant if p < 0.05 (95% probability).
Growing season
Main Effects Spring Summer Autumn Winter Yearly
Leaf <0.001* 0.533 <0.000* 0.001* <0.001*
Leaf x Season - - - - <0.001*
Leaf x Site 0.858 0.687 0.571 0.873 0.317
Leaf x Maturity 0.322 0.223 0.447 0.784 0.295
Leaf x Season x Site - - - - 0.679
Leaf x Season x Maturity - - - - 0.724
Table 2. Summary statistics for the linear mixed model (LMM) describing the influence of fixed factors site and maturity on the total transpiration rate in green leaves (T, mm h−1; n=336) across all seasons.). * Effects are significant if p < 0.05 (95% probability).
Table 2. Summary statistics for the linear mixed model (LMM) describing the influence of fixed factors site and maturity on the total transpiration rate in green leaves (T, mm h−1; n=336) across all seasons.). * Effects are significant if p < 0.05 (95% probability).
Growing season
Main Effects Spring Summer Autumn Winter Total values
Season - - - - <0.001*
Site 0.026* 0.003* 0.625 0.702 0.088
Maturity 0.512 0.098 0.775 0.240 0.305
Season x Site - - - - 0.126
Season x Maturity - - - - 0.164
Site x Maturity 0.086 0.021* 0.399 0.617 0.121
Season x Site x Maturity - - - - 0.607
Table 3. Significant parameters (± standard error), model significance (p), and goodness of fit (adjusted R2) in the exponential-power model (Model 1), fitted for seasonal and annual period. The model explains the transpiration rate (T; mm h−1 ) as a function of soil water content (Sw; %), and site (S):   T = e x p β 0 + β 0 ´ S + β 1 + β 1 ´ S × S w S w β 2 + β 2 ´ S ; n.s. = non-significant (p > 0.05; 95 % probability). SEE: standard error of estimation; R2(%): coefficient of determination.
Table 3. Significant parameters (± standard error), model significance (p), and goodness of fit (adjusted R2) in the exponential-power model (Model 1), fitted for seasonal and annual period. The model explains the transpiration rate (T; mm h−1 ) as a function of soil water content (Sw; %), and site (S):   T = e x p β 0 + β 0 ´ S + β 1 + β 1 ´ S × S w S w β 2 + β 2 ´ S ; n.s. = non-significant (p > 0.05; 95 % probability). SEE: standard error of estimation; R2(%): coefficient of determination.
Seasons Leaves β 0 β 0 ´ β 1 β 1 ´ β 2 β 2 ´ p SEE R 2 (%)
Summer 2020 Greens −8.62±0.88 5.03± 1.05 n.s. n.s 4.24± 0.81 −4.18± 0.91 0.00 1.04 34.9
Senescent −3.91 ±0.08 n.s. n.s. n.s. n.s. n.s. n.s.
Autumn 2020 Greens −5.64±0.27 0.19±0.09 n.s. n.s. 1.26± 0.11 n.s. 0.00 0.57 48.5
Senescent −3.97 ±0.10 n.s. n.s. n.s. n.s. n.s. n.s.
Winter 2020-21 Green −1.67±0.23 n.s. −0.048±0.014 n.s. n.s. n.s. 0.00 0.39 23.8
Senescent −3.96 ±0.14 n.s. n.s. n.s. n.s. n.s. n.s.
Spring 2021 Green −2.14±0.89 n.s. n.s. 0.028±0.010 n.s. n.s. 0.00 0.31 23.6
Senescent −3.52 ±0.09 n.s. n.s. n.s. n.s. n.s. n.s.
Yearly(all data) Greens −5.82±0.29 1.04± 0.35 −0.053± 0.023 n.s. 1.60± 0.21 −0.25± 0.15 0.00 0.90 46.0
Senescent −3.92 ±0.06 n.s. n.s. n.s. n.s. n.s. n.s.
Table 4. Fitted models account for each seasonal period, explaining the transpiration rate (T; mm h−1) in relation to soil water content (Sw; %), leaf type (green, senescent), and site (S): T = e x p β 0 + β 0 ´ S + β 1 + β 1 ´ S × S w S w β 2 + β 2 ´ S ; n.s. = non-significant (p > 0.05; 95 % probability). Average values of soil temperature (Ts; ºC), soil water content (Sw; %), photosynthetic active radiation (PAR; µmol m−2 s−1), and vapor pressure deficit (VPD; kPa) within each adjustment period are denoted by different letters, indicating significant differences (Fisher’s LSD test, 95% probability, α = 0.05).
Table 4. Fitted models account for each seasonal period, explaining the transpiration rate (T; mm h−1) in relation to soil water content (Sw; %), leaf type (green, senescent), and site (S): T = e x p β 0 + β 0 ´ S + β 1 + β 1 ´ S × S w S w β 2 + β 2 ´ S ; n.s. = non-significant (p > 0.05; 95 % probability). Average values of soil temperature (Ts; ºC), soil water content (Sw; %), photosynthetic active radiation (PAR; µmol m−2 s−1), and vapor pressure deficit (VPD; kPa) within each adjustment period are denoted by different letters, indicating significant differences (Fisher’s LSD test, 95% probability, α = 0.05).
Seasons Leaf type-site T (mm h−1) Sw (%) Ts (ºC) PAR (µmol m−2 s−1) VPD(kPa)
Summer 2020 Green- dense T = e ( 8.62 )   S w 4.24 3.4±0.4 32.9±0.5 959±39 5.2±2.9
Green- clear T = e ( 3.60 )   S w 0.06
Senescent T = 0.0200
Autumn 2020 Green- dense T = e ( 5.64 )   S w 1.25 13.0±0.3 17.8±0.3 576±24 2.7±1.5
Green- clear T = e ( 5.45 )   S w 1.25
Senescent T = 0.0189
Winter 2020-21 Green- dense T = e ( 1.67 0.048 S w )   16.3±0.4 11.0±0.5 458±37 1.6±0.6
Green- clear T = e ( 1.67 0.048 S w )  
Senescent T = 0.0191
Spring 2021 Green- dense T = e ( 2.14 )   11.9±0.7 12.8± 0.8 198±64 1.4±0.3
Green- clear T = e ( 2.14 + 0.027 S w )  
Senescent T = 0.0296
Yearly Green- dense T = e ( 5.82 0.053 S w )   S w 1.60 11.8±6.5 18.9±9.5 596±490 2.8±2.1
(all data) Green- clear T = e ( 4.78 0.053 S w )   S w 1.35
Senescent T = 0.0198
Table 5. Spearman correlations coefficients between transpiration (T; mm h−1) of green leaves, soil temperature (Ts; ºC), soil water content (Sw; %), photosynthetic active radiation (PAR; µmol m−2 s−1), and vapor pressure deficit (VPD; kPa). Coefficients are provided for low (Sw<5%), intermediate (5%≥Sw≤15%) and high (Sw>15%) soil humidity conditions. *: Correlations significantly different from zero, with a confidence level of 95% (p<0.05). **: Significant correlations (p<0.05) with correlation coefficient greater than 0.40 (in absolute value).
Table 5. Spearman correlations coefficients between transpiration (T; mm h−1) of green leaves, soil temperature (Ts; ºC), soil water content (Sw; %), photosynthetic active radiation (PAR; µmol m−2 s−1), and vapor pressure deficit (VPD; kPa). Coefficients are provided for low (Sw<5%), intermediate (5%≥Sw≤15%) and high (Sw>15%) soil humidity conditions. *: Correlations significantly different from zero, with a confidence level of 95% (p<0.05). **: Significant correlations (p<0.05) with correlation coefficient greater than 0.40 (in absolute value).
Environmental conditions Soil water gradients
Sw<5% 5%≤Sw≤15% Sw>15%
Sw (%) 0,55** 0,49** -0,14
Ts (ºC) -0,47** -0,30* 0,33*
VPD (kPa) 0,58** -0,12 0,48**
PAR (µmol m-2 s-1) 0,45** 0,31* 0,57**
Disclaimer/Publisher’s Note: The statements, opinions and data contained in all publications are solely those of the individual author(s) and contributor(s) and not of MDPI and/or the editor(s). MDPI and/or the editor(s) disclaim responsibility for any injury to people or property resulting from any ideas, methods, instructions or products referred to in the content.
Copyright: This open access article is published under a Creative Commons CC BY 4.0 license, which permit the free download, distribution, and reuse, provided that the author and preprint are cited in any reuse.
Prerpints.org logo

Preprints.org is a free preprint server supported by MDPI in Basel, Switzerland.

Subscribe

Disclaimer

Terms of Use

Privacy Policy

Privacy Settings

© 2026 MDPI (Basel, Switzerland) unless otherwise stated