Submitted:
15 January 2024
Posted:
16 January 2024
You are already at the latest version
Abstract
Keywords:
1. Introduction
2. Materials and Methods
2.1. Study site and experimental design
2.2. Soil sample collection
2.3. Measurements
2.3.1. Biomass yield
2.3.2. Soil physical, chemical, and microbial properties
2.3.3. Soil extracellular enzymatic activities
2.3.4. Assessing soil multifunctionality
2.4. Statistical analysis
3. Results
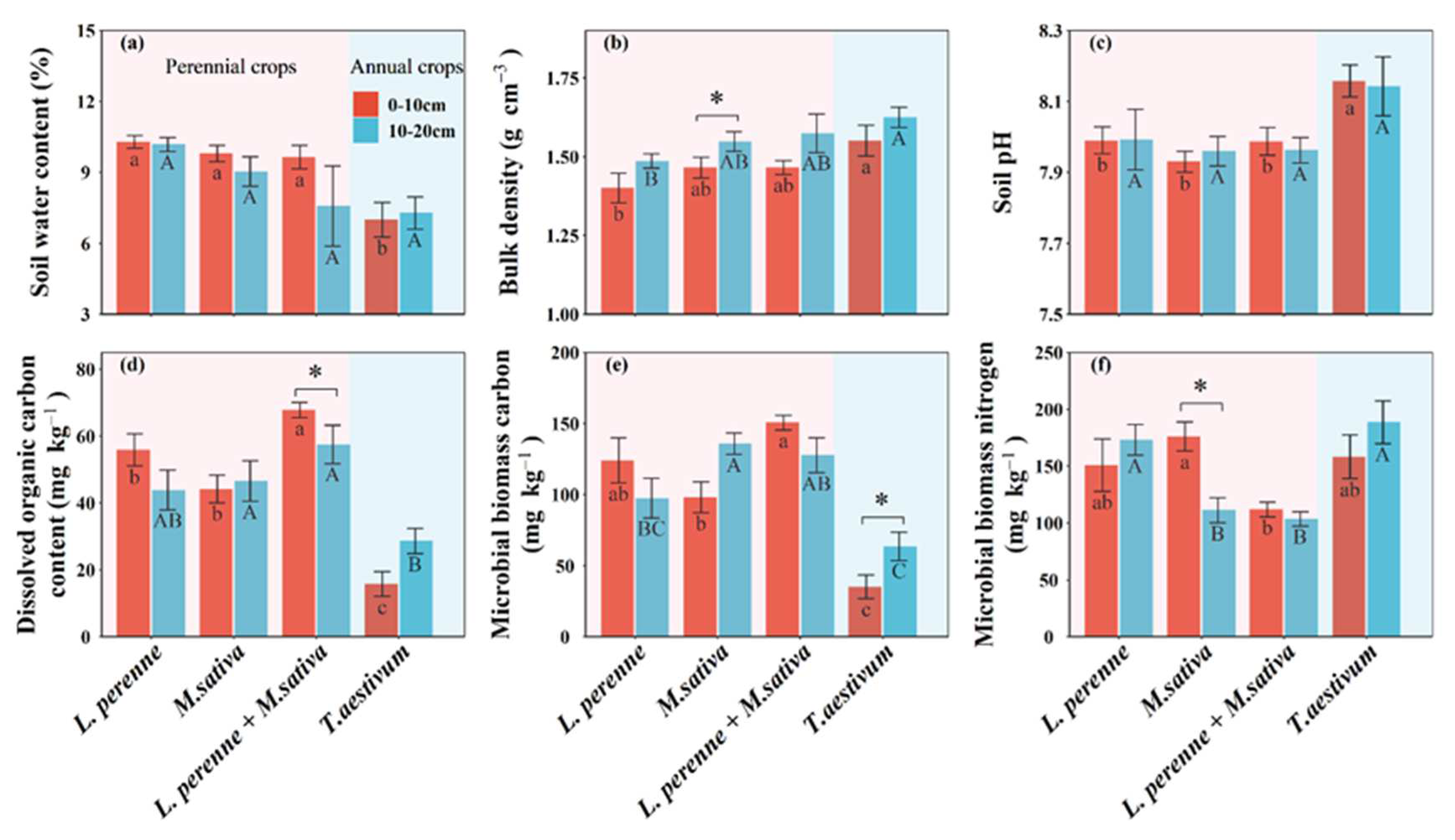
3.1. Soil physical, chemical, and microbial properties
3.2. Soil extracellular enzymatic activities
3.3. Soil multifunctionality and biomass yield
3.4. Correlations of soil multifunctionality and biomass with soil properties
3.2. Figures








3.3. Formatting of Mathematical Components
4. Discussion
4.1. Perennial crops increased multiple, single functions and soil multifunctionality
4.2. Relationship between soil multifunctionality and biomass
4.3. Implications and uncertainties
5. Conclusions
Supplementary Materials
Author Contributions
Funding
Data Availability Statement
Acknowledgments
Conflicts of Interest
References
- Pimentel, D.; Cerasale, D.; Stanley, R.C.; Perlman, R.; Newman, E.M.; Brent, L.C.; Mullan, A.; Chang, D.T.I. Annual vs. perennial grain production. Agric. Ecosyst. Environ. 2012, 161, 1–9. [Google Scholar] [CrossRef]
- Malik, A.A.; Puissant, J.; Buckeridge, K.M.; Goodall, T.; Jehmlich, N.; Chowdhury, S.; Gweon, H.S.; Peyton, J.M.; Mason, K.E.; van Agtmaal, M.; Blaud, A.; Clark, I.M.; Whitaker, J.; Pywell, R.F.; Ostle, N.; Gleixner, G.; Griffiths, R.I. Land use driven change in soil pH affects microbial carbon cycling processes. Nat Commun. 2018, 9, 3591. [Google Scholar] [CrossRef] [PubMed]
- Yang, C.; Geng, Y.; Fu, X.Z.; Coulter, J.A.; Chai, Q. The effects of wind erosion depending on cropping system and tillage method in a semi-arid region. Agronomy. 2020, 10(5), 732. [Google Scholar] [CrossRef]
- Singh, B.K.; Trivedi, P.; Egidi, E.; Macdonald, C.A.; Delgado-Baquerizo, M. Crop microbiome and sustainable agriculture. Nat Rev Microbiol. 2020, 18, 601–602. [Google Scholar] [CrossRef] [PubMed]
- Li, X.; Wang, Z.; Bao, X.; Sun, J.; Yang, S.; Wang, P.; Wang, C.; Wu, J.; Liu, X.; Tian, X.; Wang, Y.; Li, J.; Wang, Y.; Xia, H.; Mei, P.; Wang, X.; Zhao, J.; Yu, R.; Zhang, W.; Che, Z.; Gui, L.; Callaway, R.M.; Tilman, D.; Li, L. Long-term increased grain yields and soil fertility from intercropping. Nat Sustain. 2021, 4, 943–950. [Google Scholar] [CrossRef]
- Tilman, D.; Balzer, C.; Hill, J.; Befort, B.L. Global food demand and the sustainable intensification of agriculture. Proc. Natl. Acad. Sci. 2011, 108, 20260–20264. [Google Scholar] [CrossRef] [PubMed]
- Fan, K.; Chu, H.; Eldridge, D.J.; Gaitan, J.J.; Liu, Y.R.; Sokoya, B.; Wang, J.T.; Hu, H.W.; He, J.Z.; Sun, W.; Cui, H.; Alfaro, F.D.; Abades, S.; Bastida, F.; Diaz-Lopez, M.; Bamigboye, A.R.; Berdugo, M.; Blanco-Pastor, J.L.; Grebenc, T.; Duran, J.; Illan, J.G.; Makhalanyane, T.P.; Mukherjee, A.; Nahberger, T.U.; Penaloza-Bojaca, G.F.; Plaza, C.; Verma, J.P.; Rey, A.; Rodriguez, A.; Siebe, C.; Teixido, A.L.; Trivedi, P.; Wang, L.; Wang, J.; Yang, T.; Zhou, X.Q.; Zhou, X.; Zaady, E.; Tedersoo, L.; Delgado-Baquerizo, M. Soil biodiversity supports the delivery of multiple ecosystem functions in urban greenspaces. Nat Ecol Evol. 2023, 7, 113–126. [Google Scholar] [CrossRef] [PubMed]
- Byrnes, J.E.K.; Gamfeldt, L.; Isbell, F.; Lefcheck, J.S.; Griffin, J.N.; Hector, A.; Cardinale, B.J.; Hooper, D.U.; Dee, L.E.; Emmett Duffy, J. Investigating the relationship between biodiversity and ecosystem multifunctionality: challenges and solutions. Methods Ecol. Evol. 2014, 5, 111–124. [Google Scholar] [CrossRef]
- Cappelli, S.L.; Domeignoz-Horta, L.A.; Loaiza, V.; Laine., A.L. Plant biodiversity promotes sustainable agriculture directly and via belowground effects. Trends Plant Sci. 2022, 27, 674–687. [Google Scholar] [CrossRef]
- Garland, G.; Edlinger, A.; Banerjee, S.; Degrune, F.; García-Palacios, P.; Pescador, D.S.; Herzog, C.; Romdhane, S.; Saghai, A.; Spor, A.; Wagg, C.; Hallin, S.; Maestre, F.T.; Philippot, L.; Rillig, M.C.; van der Heijden, M.G.A. Crop cover is more important than rotational diversity for soil multifunctionality and cereal yieldss in European cropping systems. Nat Food. 2021, 2(1), 28–37. [Google Scholar] [CrossRef]
- Chen, J.; Manevski, K.; Lærke, P.E.; Jørgensen, U. Biomass yields, yields stability and soil carbon and nitrogen content under cropping systems destined for biorefineries. Soil Tillage Res. 2022, 221, 105397. [Google Scholar] [CrossRef]
- Lanker, M.; Bell, M.; Picasso, V.D. Farmer perspectives and experiences introducing the novel perennial grain Kernza intermediate wheatgrass in the US Midwest. Renewable Agriculture and Food Systems, 2020, 35 (6), 653-662. [CrossRef]
- Qiao, Z.; Yates, T.B.; Shrestha, H.K.; Engle, N.L.; Flanagan, A.; Morrell-Falvey, J.L.; Sun, Y.; Tschaplinski, T.J.; Abraham, P. E.; Jessy Labbé.; Wang, Z.Y.; Hettich, R.L.; Tuskan, R.A.; Wellington Muchero.; Chen, J.G. Towards engineering ectomycorrhization into switchgrass bioenergy crops via a lectin receptor-like kinase. Plant Biotechnol. J, 2021, 19, 2454-2468. [CrossRef]
- Schipanski, M.E.; Barbercheck, M.; Douglas, M.R.; Finney, D.M.; Haider, K.; Kaye, J.P.; Kemanian, A.R.; Mortensen, D.A.; Ryan, M.R.; Tooker, J.; White, C. A framework for evaluating ecosystem services provided by cover crops in agroecosystems. Agric. Syst, 2014, 125, 12–22. [Google Scholar] [CrossRef]
- Archer, N.A.L.; Quinton, J.N.; Hess, T.M. Below-ground relationships of soil texture, roots and hydraulic conductivity in two-phase mosaic vegetation in South-east Spain. J. Arid Environ, 2002, 52, 535–553. [Google Scholar] [CrossRef]
- Halli, H.M.; Govindasamy, P.; Chaudhary, M.; Srinivasan, R.; Prasad, M.; Wasnik, V.K.; Yadav, V.K.; Singh, A.K.; Kumar, S.; Vijay, D.; Pathak. H. Range grasses to improve soil properties, carbon sustainability, and fodder security in degraded lands of semi-arid regions. Sci. Total Environ, 2022, 851, 158211. [CrossRef]
- Zhang, J.; Feng, Y.; Maestre, F.T.; Berdugo, M.; Wang, J.; Coleine, C.; Saez-Sandino, T.; Garcia-Velazquez, L.; Singh, B.K.; Delgado-Baquerizo, M. Water availability creates global thresholds in multidimensional soil biodiversity and functions. Nat Ecol Evol, 2023, 7, 1002–1011. [Google Scholar] [CrossRef] [PubMed]
- Chen, J.; Luo, Y.; Li, J.; Zhou, X.; Cao, J.; Wang, R.W.; Wang, Y.; Shelton, S.; Jin, Z.; Walker, L.M.; Feng, Z.; Niu, S.; Feng, W.; Jian, Zhou, S.L. Costimulation of soil glycosidase activity and soil respiration by nitrogen addition. Glob. Chang. Biol, 2017, 23, 1328–1337. [Google Scholar] [CrossRef] [PubMed]
- Huang, Z.; Sun, L.; Liu, Y.; Liu, Y.F.; López-Vicente, M.; Wei, X.H.; Wu, G.L. Alfalfa planting significantly improved alpine soil water infiltrability in the Qinghai-Tibetan Plateau. Agric. Ecosyst. Environ, 2019, 285, 106606. [Google Scholar] [CrossRef]
- Li, L.; Li, S.M.; Sun, J.H.; Zhou, L.L.; Bao, X.G.; Zhang, H.G.; Zhang, F. S. Diversity enhances agricultural productivity via rhizosphere phosphorus facilitation on phosphorus-deficient soils. Proc. Natl. Acad. Sci, 2007, 104, 11192–11196. [Google Scholar] [CrossRef]
- Cox, S.; Peel, M.D.; Creech, J.E.; Waldron, B.L.; Eun, J.; Zobell, D.R.; Miller, R.L.; Snyder, D.L. Forage production of grass–legume binary mixtures on Intermountain western USA irrigated pastures. Crop Sci, 2017, 57, 1742–1753. [Google Scholar] [CrossRef]
- Ye, J.S.; Delgado-Baquerizo, M.; Soliveres, S.; Maestre, F.T. Multifunctionality debt in global drylands linked to past biome and climate. Glob. Chang. Biol, 2019, 25 (6), 2152-2161. [CrossRef]
- Wang, D.; Liu, C.; Yang, Y.; Liu, P.; Hu, W.; Song, H.; Miao, C.; Chen, J.; Yang, Z.; Miao, Y. Clipping decreases plant cover, litter mass, and water infiltration rate in soil across six plant community sites in a semiarid grassland. Sci. Total Environ, 2023.861,160692. [CrossRef]
- Su, L.; Yang, Y.S.; Li, X.Y.; Wang, D.; Liu, Y.C.; Liu, Y.Z.; Yang, Z.L.; Li, M.M. Increasing plant diversity and forb ratio during the revegetation processes of trampled areas and trails enhances soil infiltration. Land Degrad. Dev, 2018, 29, 4025–4034. [Google Scholar] [CrossRef]
- Huang, Z.; Liu, Y.F.; Cui, Z.; Liu, Y.; Wang, D.; Tian, F.P.; Wu, G.L. Natural grasslands maintain soil water sustainability better than planted grasslands in arid areas. Agric. Ecosyst. Environ, 2019, 286, 106683. [Google Scholar] [CrossRef]
- Brookes, P.; Landman, A.; Pruden, G.; Jenkinson, D. Chloroform fumigation and the release of soil nitrogen: a rapid direct extraction method to measure microbial biomass nitrogen in soil. Soil Biol. Biochem, 1985, 17, 837–842. [Google Scholar] [CrossRef]
- DeForest, J.L. The influence of time, storage temperature, and substrate age on poten tial soil enzyme activity in acidic forest soils using MUB-linked substrates and l-DOPA. Soil Biol. Biochem, 2009, 41, 1180–1186. [Google Scholar] [CrossRef]
- Marx, M.-C.; Wood, M.; Jarvis, S.C. A microplate fluorimetric assay for the study of enzyme diversity in soils. Soil Biol. Biochem, 2001, 33, 1633–1640. [Google Scholar] [CrossRef]
- García-Ruiz, R.; Ochoa, V.; Hinojosa, M.B.; Carreira, J.A. Suitability of enzyme activities for the monitoring of soil quality improvement in organic agricultural systems. Soil Biol. Biochem, 2008, 40 (9), 2137-2145. [CrossRef]
- Jia, R.; Zhou, J.; Chu, J.; Shahbaz, M.; Yang, Y.; Jones, D.L.; Zang, H.; Razavi, B.S.; Zeng, Z. Insights into the associations between soil quality and ecosystem multifunctionality driven by fertilization management: a case study from the North China plain. J. Clean. Prod, 2022, 362, 132265. [Google Scholar] [CrossRef]
- Delgado-Baquerizo, M.; Maestre, F.T.; Reich, P.B.; Jeffries, T.C.; Gaitan, J.J.; Encinar, D.; Berdugo, M.; Campbell, C.D.; Singh, B.K. Microbial diversity drives multifunctionality in terrestrial ecosystems. Nat Commun, 2016, 7, 10541. [Google Scholar] [CrossRef]
- Shi, X.; Wang, J.; Lucas-Borja, M.E.; Wang, Z.; Li, X.; Huang, Z. Microbial diversity regulates ecosystem multifunctionality during natural secondary succession. J. Appl. Ecol, 2021, 58 (12), 2833-2842. [CrossRef]
- Pinheiro, J.; Bates, D.; DebRoy, S.; Sarkar, D.; Team, R.C. nlme: linear and nonlinear mixed effects models. R package version, 2013, 3 (1), 111. https://cran.r-project.org/web/ packages/nlme/index.html.
- Giling, D.P.; Beaumelle, L.; Phillips, H.R. P.; Cesarz, S.; Eisenhauer, N.; Ferlian, O.; Gottschall, F.; Guerra, C.; Hines, J.; Sendek, A.; Siebert, J.; Thakur, M.P.; Barnes, A.D. Aniche for ecosystem multifunctionality in global change research. Glob. Chang. Biol, 2019, 25, 763–774. [Google Scholar] [CrossRef] [PubMed]
- Qiu, L.; Zhang, Q.; Zhu, H.; Reich, P.B.; Banerjee, S.; van der Heijden, M.G.A.; Sadowsky, M.J.; Ishii, S.; Jia, X.; Shao, M.; Liu, B.; Jiao, H.; Li, H.; Wei, X. Erosion reduces soil microbial diversity, network complexity and multifunctionality. ISME J, 2021, 15, 2474–2489. [Google Scholar] [CrossRef] [PubMed]
- Perkins, D.M.; Bailey, R.A.; Dossena, M.; Gamfeldt, L.; Reiss, J.; Trimmer, M.; Woodward, G. Higher biodiversity is required to sustain multiple ecosystem processes across temperature regimes. Glob Chang Biol, 2015, 21, 396–406. [Google Scholar] [CrossRef] [PubMed]
- Tian, D.; Xiang, Y.; Seabloom, E.; Chen, H.Y. H.; Wang, J.; Yu, G.; Deng, Y.; Li, Z.; Niu, S. Ecosystem restoration and belowground multifunctionality: a network view. Ecol. Appl, 2022, 32, e2575. [Google Scholar] [CrossRef]
- Shen, H.J.; Zhang, Q.Q.; Zhang, X.; Jiang, X.Y.; Zhu, S.G.; Chen, A.F.; Wu, Z.; Xiong, Z.Q. In situ effects of biochar field-aged for six years on net N mineralization in paddy soil. Soil Tillage Res, 2021, 205, 104766. [Google Scholar] [CrossRef]
- Benavent-González, A.; Delgado-Baquerizo, M.; Fernández-Brun, L.; Singh, B.K.; Maestre, F.T.; Sancho, L.G. Identity of plant, lichen and moss species connects with microbial abundance and soil functioning in maritime Antarctica. Plant Soil, 2018, 429 (1-2), 35-52. [CrossRef]
- Zheng, J.; Zhang, F.; Zhang, B.; Chen, D.; Li, S.; Zhao, T.; Wang, Q.; Han, G.; Zhao, M. Biodiversity and soil pH regulate the recovery of ecosystem multifunctionality during secondary succession of abandoned croplands in northern China. J. Environ. Manage, 2023, 327.116882. [CrossRef]
- Albert, Á.; Kelemen, A.; Valkó, O.; Miglécz, T.; Csecserits, A.; Rédei, T.; Deák, B.; Tóthmérész, B.; Török, P. Secondary succession in sandy old fields: a promising example of spontaneous grassland recovery. Appl. Veg. Sci, 2014, 17, 214–224. [Google Scholar] [CrossRef]
- Weigelt, A.; Jolliffe, P. Indices of plant competition. Journal of Ecology, 2003, 91, 707–720. [Google Scholar] [CrossRef]
- Liu, Y.; Guo, L.; Huang, Z.; Lopez-Vicente, M.; Wu, G.L. Root morphological characteristics and soil water infiltration capacity in semi-arid artificial grassland soils. Agric Water Manag, 2020, 235, 106153. [Google Scholar] [CrossRef]
- Zhao, D.; Xu, M.; Liu, G.; Ma, L.; Zhang, S.; Xiao, T.; Peng, G. Effect of vegetation type on microstructure of soil aggregates on the Loess Plateau, China. Agric. Ecosyst. Environ, 2017, 242, 1–8. [Google Scholar] [CrossRef]
- Delgado-Baquerizo, M.; Reich, P.B.; Trivedi, C.; Eldridge, D.J.; Abades, S.; Alfaro, F.D.; Bastida, F.; Berhe, A.A.; Cutler, N. A.; Gallardo, A.; Garcia-Velazquez, L.; Hart, S.C.; Hayes, P.E.; He, J.Z.; Hseu, Z.Y.; Hu, H.W.; Kirchmair, M.; Neuhauser, S.; Perez, C.A.; Reed, S.C.; Santos, F.; Sullivan, B.W.; Trivedi, P.; Wang, J.T.; Weber-Grullon, L.; Williams, M.A.; Singh, B.K. Multiple elements of soil biodiversity drive ecosystem functions across biomes. Nat Ecol Evol, 2020, 4, 210–220. [Google Scholar] [CrossRef]
- Xu, R.; Shi, W.; Kamran, M.; Chang, S.; Jia, Q..; Hou, F. Grass-legume mixture and nitrogen application improve yield, quality, and water and nitrogen utilization efficiency of grazed pastures in the loess plateau. Front. Plant Sci, 2023, 14, 088849. [Google Scholar] [CrossRef]
- Wittwer, R.A.; Bender, S.F.; Hartman, K.; Hydbom, S.; Lima, R.A.A.; Loaiza, V.; Nemecek, T.; Oehl, F.; Olsson, P.A.; Petchey, O.; Prechsl, U.E.; Schlaeppi, K.; Scholten, T.; Seitz, S.; Six, J.; van der Heijden, M.G.A. Organic and conservation agriculture promote ecosystem multifunctionality. Sci. Adv, 2021, 7 (34). [CrossRef]
Disclaimer/Publisher’s Note: The statements, opinions and data contained in all publications are solely those of the individual author(s) and contributor(s) and not of MDPI and/or the editor(s). MDPI and/or the editor(s) disclaim responsibility for any injury to people or property resulting from any ideas, methods, instructions or products referred to in the content. |
© 2024 by the authors. Licensee MDPI, Basel, Switzerland. This article is an open access article distributed under the terms and conditions of the Creative Commons Attribution (CC BY) license (http://creativecommons.org/licenses/by/4.0/).
