Preprint
Article

This version is not peer-reviewed.

Improving the Mechanical Properties of Recycled Carbon Fiber Nonwoven Thermoplastic Composites by Pretreating the Nonwoven with a Sizing Formulation

A peer-reviewed article of this preprint also exists.

Submitted:

12 January 2024

Posted:

15 January 2024

You are already at the latest version

Abstract
The excellent properties of carbon fibers, in combination with the high price of carbon fibers, makes it interesting to recycle these fibers. Pyrolysis is already an established recycling method to recover the carbon fibers, but in this process also the sizing is removed which could result in lower mechanical properties because of bad adhesion between the fiber and matrix. In this study, recycled carbon nonwoven reinforcements made from pyrolyzed carbon fibers were pre-treated in order to improve the mechanical properties of recycled carbon polyamide and recycled carbon polypropylene composites. The pre-treatment involves applying a to the matrix adapted primer coating to the nonwoven by spraying. Via compression molding, polyamide and polypropylene composites were prepared with and without pretreatment. The tensile and interlaminar shear strength of these composites were measured to determine the effect of the pretreatment. Results revealed that both strengths could be increased by pretreatment of the carbon nonwoven and the increase was largest for the PP composites.
Keywords: 
;  ;  

1. Introduction

One of the most used fibers in composite materials is carbon fiber. This fiber has excellent properties like light weight, high stiffness, high mechanical strength, high dimensional stability, and high corrosion resistance [1]. These properties, in combination with the high price of carbon fibers, make it worthwhile to recycle these fibers [2]. With the recycled carbon fibers new composites can be prepared and some application examples are oil pans, seat backs, chassis panels and structural panels [3].
Carbon fibers can be recycled from post-industrial waste which are dry carbon waste and prepreg scrap, and from end-of-life composites [4]. The recycling of dry post-industrial waste is mainly chopping leftovers from yarns, filaments, and fabrics into short fibers. In this case, recycled carbon fibers basically have the same mechanical properties as the virgin carbon fibers.
The recovery of carbon fibers from end-of-life composite materials or prepreg waste can be done via pyrolysis, solvolysis or fluidized bed processes [5]. Pyrolysis is the most widespread recycling method and, in this process, composites are heated at high temperatures in the absence of oxygen to decompose the resin [6,7,8]. This leads on one hand to pyrolysis gasses and residual oil coming from the resin and on the other hand carbon fibers. Pyrolyzed recycled carbon fibers are often considered as low-quality carbon fibers, but ELG Carbon Fibre (now Gen 2 Carbon) states that their pyrolyzed carbon fiber typically retains at least 90% of its tensile strength with no change in modulus [9]. With solvolysis it is also possible to obtain virgin carbon fiber quality [10]. So recycled carbon fibers are very interesting for making short fiber composites via manufacturing processes such as bulk molding compounds (BMC) or sheet molding compounds (SMC) in combination with thermoset resins or injection molding in combination with a thermoplastic polymer [5,11,12]. Another possibility is to convert the recycled short fibers into a nonwoven and obtain new composites via for example resin infusion or compression molding [5,11,13,14,15,16].
Although the mechanical properties of pyrolyzed or solvolyzed carbon fibers are almost similar to virgin chopped fibers they do not contain a sizing anymore. Sizing is a thin coating which is applied on carbon fibers to protect the fibers during processing and to improve the adhesion between the fiber and the matrix [17]. The exact composition of the sizing formulation is a company’s secret and differs according to the targeted matrix. However, it is known that the main components of a sizing formulation are typically a film former, lubricants and additives such as coupling agents and processing additives dispersed in water [17,18,19].
For virgin carbon fibers, the sizing is applied during the manufacturing process and is thus applied on continuous fibers. However, after pyrolysis, the sizing is removed from the carbon fibers meaning that a resizing step is recommended to obtain the required composite properties. As these recycled carbon fibers are short in length, researchers are mainly focusing to apply a new sizing via a batch process by immersing the loose fibers in a sizing bath [17,20].
In this paper, we focused on another method to pretreat recycled short carbon fibers to make them more compatible with a polyamide 6 (PA6) and a polypropylene (PP) matrix. Recycled carbon nonwovens containing no sizing on the surface were selected as fiber reinforcement and different ‘sizing’ formulations were applied via spraying in order to prepare recycled carbon/PA and carbon/PP composites with improved mechanical properties compared to their non sized counterparts. In this study, the spray formulation was applied on discontinue carbon nonwovens at lab scale, but this process can be easily scaled up to a continuous roll-to-roll process commonly used in the textile finishing industry. As the exact composition of the sizing formulations utilized in industry is secret, we selected and prepared our own formulations based on discussions with chemical suppliers and research papers [17,20,21]. After the pretreatment of the carbon nonwoven, carbon PA6 and PP composites were prepared via compression molding. The tensile properties and interlaminar shear strength of the developed composites were measured to determine the effect of sizing and the results were compared to the results of carbon PA6 & PP composites without sizing.

2. Materials and Methods

2.1. Materials

Nonwovens of 200 g/m² prepared from pyrolyzed carbon fibers were supplied by Gen 2 Carbon at A5 size. The PA6 was bought from Nyobe, the PP from TotalEnergies. For making the sizing formulations, film formers Hydrosize PA 845H and Hydrosize PP2-01 were obtained from Michelman, coupling agent (Silquest 1524) and wetting agent (Coatosil 1211C) were supplied by Grolman and Tego Airex 902 W from Evonik was selected as defoamer.

2.2. Sizing Formulations

Sizing formulations were prepared by mixing the several components in water. An overview of the different sizing formulations is presented in Table 1.
These formulations were then manually sprayed on both sides on the nonwoven and dried in a furnace at 100°C for 10 minutes. Afterwards, the amount of sizing was determined via measuring the weight difference before and after applying the sizing on the nonwoven.

2.3. Composites

To prepare the composites, polymer (PA6 and PP) pellets were put on top on the nonwoven to obtain a fiber volume content of 20% and 2 layers of the recycled carbon nonwovens containing 80v% of PA6 or PP were respectively stacked and pressed at 40 kN for 15 minutes at a temperature of 240°C and 190°C respectively. This process was repeated to obtain composites with different fiber sizing and a reference composite containing no sizing. The composites have a thickness of 1 mm.

2.4 Characterization

A JSM-7600F FEG-Scanning Electron Microscope from JEOL (Akishima, Japan) with a resolution of 2 nm was used for scanning electron microscopy (SEM) imaging under a high vacuum to visualize the sizing on the carbon fibers and to investigate how the fibers are embedded in the matrix.
The tensile properties and the interlaminar shear strength were determined using a 20kN RetroLine tensile tester from Zwick/Roell.

3. Results

3.1. Post-treatment of the recycled carbon nonwovens

After the sizing was applied on the carbon nonwovens, the amount of sizing was determined via weighing the samples before and after treating the nonwovens. The results presented in Table 1 are in line of what was expected namely the higher the concentration of the film former in the sizing formulation the higher the amount of sizing on the carbon fiber (e.g. Form 1 vs Form 2 and Form 5 vs Form 6). It can be observed that there is some variation on the weight percentage because the sizing was manually sprayed, and the nonwoven absorbs not always the same amount of the formulation (Form 1 vs Form 3). Also the sizing content is higher for the Hydrosize PP201 sizing formulation compared to the PA 845H based formulation. The main reason for this is that the as received Hydrosize PP201 dispersion has a higher solid content (around 40%) than the as recieved Hydrosize PA845 dispersion (around 30%).
The uniformity of the applied sizing was investigated with SEM. A SEM picture was taken at the surface (Figure 1a) and in the bulk (Figure 1b) of the carbon fiber nonwoven treated with sizing formulation 1.
In Figure 1a, it can be seen that when the fibers are grouped in a bundle, the sizing glues the fibers in the bundle together. Further it seems that most of the sizing is present on the surface and almost not detectable in the middle of the nonwoven (Figure 1b), meaning that the nonwoven is not fully impregnated. So, the sizing is not homogeneous applied on the recycled carbon fibers.

3.2. Composites

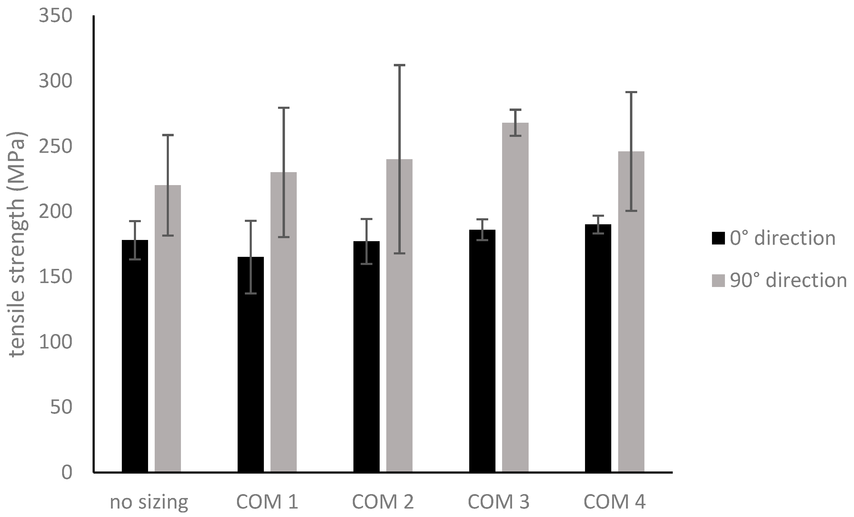
Figure 2 shows the effect of the treatment on the tensile strength of the composites with a PA matrix. The tensile strength was determined in two directions namely in the 0° and 90°direction.
Sample “no sizing” is the composite without sizing, the number of the other composites correspond to the respective numbers of the sizing formulations (form 1-4). Composite COM 1 is thus prepared from nonwovens treated with sizing formulation form 1.
The graph shows that the tensile strength is higher in the 90° direction than in the 0° direction for all the composites, meaning that the composites are not isotropic. Further, it can be seen that pretreating the composites has a positive influence on the tensile strength in the 90° direction even though the sizing is not covering every single carbon fiber. However no improvment is obtained in the 0°. COM 3 & 4 have the highest average strengths, and the carbon reinforcement of these composites were pretreated with extra additives in the sizing formulation.
Figure 3 presents the tensile strength results of the composites with a PP matrix. The anisotropic property is also clearly visible, and it can be observed that the sizing improves the tensile strength in both directions in the contrast to the results of the PA composites. When looking at the two directions, it seems that COM 5 of which the carbon reinforcement is pretreated with a higher concentration of film former has the highest overall tensile strength.
Figure 4 presents the results of the ILSS test. It can be seen from the graph that in general the ILLS value can be increased via a pretreatment step of the carbon nonwoven for both directions. Also, as could be expected, the ILSS values are higher for the PA composites than for the PP composites. For the PA composites there is no clear effect of the concentration of the film former in the sizing formulation (COM 1 vs COM 2 or COM 3 vs COM 4) on the interlaminar shear strength or adding extra additives (COM 1 vs COM 3 and COM 2 vs COM 4). For the PP composites, there is no difference between 5% (COM 6) and 10% (COM 5) of film former present on the carbon fiber for the interlaminar shear strength, but both treatments have a positive effect on the shear strength.
The better adhesion of the matrix to the carbon fibers after pretreatment is further confirmed by SEM analysis (Figure 5). For the PA composite without sizing (Figure 5a), there are quite a lot of clean fibers popping out indicating a low fiber matrix adhesion. When treated (Figure 5b) the fibers are better embedded and most of the fibers that are popping out, still contain some matrix around the fibers. The carbon fiber of the PP composites shows almost no adhesion at all to the matrix when non pretreated. It looks like the fibers are just covered with some matrix, but there is no bonding (Figure 5c). This is much better after pretreatment and even it can be observed that pulled out fibers during breaking have still some polymer matrix attached (Figure 5d).

4. Discussion

The results showed that it is possible to increase the mechanical properties of PA and PP composites via a posttreatment step on recycled nonwoven carbon fibers by using a specific sizing formulation. However, the SEM images reveal that it is not straightforward to uniformly distribute a thin coating layer on the fibers. More coating is found at the surface of the nonwoven than in the bulk. However, as the film formers are PA and PP dispersions, it is supposed that the coating is further distributed in the nonwoven during compression molding in combination with the thermoplastic matrix due to the applied high pressure and temperature.
Still the coating is not uniformly distributed as the standard variation of the tensile values is quite broad and this non uniform distribution has probably more impact on the mechanical properties than the amount of sizing applied to the fibers in these concentration ranges. Optimizing the spraying process will probably reduce the standard deviation.
Furthermore, not only the application method causes a high standard deviation, but also the nonwoven substrate is an important factor, because some regions are more fiber rich than others, and this has an impact on the mechanical properties. The obtained results already revealed that the composite is anisotropic, but it is unknown what was the machine direction and the transverse direction. Therefore, to distinguish the two directions, we named them 0° and 90° direction, but the 0° direction is thus not related to the machine direction.
To only focus on the impact of the sizing, a better way is to apply it on non-sized UD carbon fibers and then test the mechanical properties. However, as the focus in our research lies on the pretreatment of recycled carbon nonwovens via a spray application process, we have not investigated this.
Nevertheless, the trend is clear that resizing improves the mechanical properties of the composites and this is especially true for a PP matrix. This is illustrated by the graph presented in Figure 6.
The graph shows the % improvement of the tensile strength in the 90° direction of PA carbon composites (COM 1 to 4) and PP carbon composites (COM 5 and COM 6). The reason why the results of the 90° direction are highlighted here is because the effect of the pretreatment is higher in the 90° than in the 0° direction. This is probably due to the fact that more fibers are aligned in the 90° direction and the primer is relatively more attached on these fibers and can thus create a bigger impact. So are improvements of the tensile strength of more than 40% feasible (COM 6) when the recycled carbon nonwoven is combined with a PP matrix. For the PA matrix, the effect is less pronounced because PA is already more compatible with carbon fiber than PP. A common way to improve the interfacial bonding of a PP matrix with carbon fibers is adding maleic anhydride-grafted-polypropylene (MAPP) as compatibilizer [22]. Also, here the used film former Hydrosize PP201 to pretreat the carbon nonwoven is a non-ionic malleated polypropylene dispersion.
For the PA composites the addition of a defoamer, wetting agent and coupling agent to the sizing formulations seems to improve the tensile strength. The wetting agent additive helps to increase the spreading of the film former on the surface and the defoamer avoids foam forming during the application process. On the other hand, these additives are also decreasing the surface tension making it more difficult for the matrix adhere. So, the amount of these additives should be carefully optimized to have the best properties. Although silane coupling agents are normally not required as additives in sizing formulations for virgin carbon fibers, it is supposed that in our study the silane coupling agent Silquest A-1524 contributes to the improvement of the mechanical properties [23]. Silquest A-1524 is a ureidofunctional silane providing a nitrogen reactivity similar as aminosilanes, but without the strong basic characteristics of typical aminosilanes [24]. It is according to the technical datasheet recommended as coupling agent for phenolic, urea-melamine, epoxy resins, polyamide and/or polyurethane polymers and therefore also selected as coupling agent herein to resize the pyrolyzed carbon fibers. Interacting with the surface of the carbon fiber is also possible as it is known that some functional groups are present on the carbon surface after pyrolysis [25].

5. Conclusions

In conclusion, it is shown in this study that it is feasible to improve the mechanical properties of carbon PA and PP composites containing a nonwoven reinforcement made from pyrolyzed carbon fibers. This is achieved by pretreating the nonwoven with a sizing formulation which is compatible with the polymer matrix. The sizing was applied by a spray process which is a fast and easy application process. Although the sizing was not uniformly applied, the tensile and interlaminar shear strength are improved and this is especially the case for the composite with a PP matrix because PP does not form a strong bond with carbon fibers.

Author Contributions

Conceptualization: Frederik Goethals, Elke Demeyer, Isabel De Schrijver and Myriam Vanneste; Methodology: Frederik Goethals and Elke Demeyer; Investigation: Frederik Goethals and Elke Demeyer; writing—original draft preparation: Frederik Goethals and Elke Demeyer; writing—review and editing: Isabel De Schrijver and Myriam Vanneste. All authors have read and agreed to the published version of the manuscript.

Funding

This research was performed in the framework of the Helacs project. This project has received funding from the Clean Sky 2 Joint Undertaking under the European Union’s Horizon 2020 research and innovation programme under grant agreement Nº 101007871.

Acknowledgments

Gen 2 Carbon is acknowledged for providing the carbon fiber nonwoven reinforcements. Michelman Grolman and Evonik are acknowledged for supplying the chemical products.

Conflicts of Interest

The authors declare no conflict of interest.

References

  1. Hsissou, R.; Seghiri R.; Benzekri, Z.; Hilali, M.; Rafik M.; Elharfi A. Polymer composite materials: A comprehensive review. Composite Structures 2021, 262, 113640. [CrossRef]
  2. Shehab, E.; Meiirbekov, A.; Amantayeva, A.; Suleimen, A.; Tokbolat, S.; Sarfraz, S. A Cost Modelling System for Recycling Carbon Fiber-Reinforced Composites. Polymers 2021, 13, 4208. [CrossRef]
  3. Barnes, F. Developments in Applications of Recycled Carbon Fibres. In Proceedings of Sustainable composites: The future, University of Bristol, Country, 29 June 2020 - 3 July 2020.
  4. Isa, A.; Nosbi, N.; Che Ismail, M.; Md Akil, H.; Wan Ali, W.F.F.; Omar, M.F. A Review on Recycling of Carbon Fibres: Methods to Reinforce and Expected Fibre Composite Degradations. Materials 2022, 15, 4991. [CrossRef]
  5. Pimanta, S.; Pinho, ST. Recycling carbon fibre reinforced polymers for structural applications: technology review and market outlook. Waste Management 2011, 31, 378-392. [CrossRef]
  6. Termine, S.; Naxaki, V.; Semitekolos, D.; Trompeta, A.-F.; Rovere, M.; Tagliaferro, A.; Charitidis, C. Investigation of Carbon Fibres Reclamation by Pyrolysis Process for Their Reuse Potential. Polymers 2023, 15, 768. [CrossRef]
  7. Pickering, S.J.; Liu Z.; Turner, T.A.; Wong K.H. Applications for carbon fibre recovered from composites. IOP Conf. Ser.: Mater. Sci. Eng. 2016, 139, 012005. [CrossRef]
  8. Ren, Y.; Xu, L.; Shang, X.; Shen, Z.; Fu, R.; Li, W.; Guo, L. Evaluation of Mechanical Properties and Pyrolysis Products of Carbon Fibers Recycled by Microwave Pyrolysis. ACS Omega 2022, 7, 13529-13537. [CrossRef]
  9. The state of recycled carbon fiber. Available online: https://www.compositesworld.com/articles/the-state-of-recycled-carbon-fiber (accessed on 04/01/2023).
  10. Shetty S.; Pinkard, B.R.; Novosselov, IV. Recycling of carbon fiber reinforced polymers in a subcritical acetic acid solution. Heliyon 2022, 8, 12242. [CrossRef]
  11. Palmer, J.; Savage, L.; Ghita, O.R.; Evans, K.E. Sheet moulding compound (SMC) from carbon fibre recyclate. Composites Part A 2010, 41, 1232-1237.
  12. Sukanto, H.; Raharjo, W.W.; Ariawan, D.; Triyono, J.; Carbon fibers recovery from CFRP recycling process and their usage: A review. IOP Conf. Series: Materials Science and Engineering 2021, 1034, 012087. [CrossRef]
  13. Kurshid, M.F.; Hengstermann, M.; Badrul Hasan, M.M.; Abdkader, A.; Cherif, Chokri; Recent developments in the processing of waste carbon fibre for thermoplastic composites – A review. Journal of Composite Materials 2019, 0, 1-20. [CrossRef]
  14. Wölling, J.; Schmieg, M.; Manis, F.; Dreschsler, K. Nonwovens from recycled carbon fibres – comparison of processing technologies. Procedia CIRP 2017, 66, 271-276. [CrossRef]
  15. Manis, F.; Stegschuster, G.; Wölling, J.; Schlichter, S. Influences on Textile and Mechanical Properties of Recycled Carbon Fiber Nonwovens Produced by Carding. J. Compos. Sci. 2021, 5, 209. [CrossRef]
  16. Barnett, P.R.; Ghossein, H.K. A Review of Recent Developments in Composites Made of Recycled Carbon Fiber Textiles. Textiles 2021, 1, 433–465. [CrossRef]
  17. Matrenichev, V.; Lessa Belone, M.C.; Palola, S.; Laurikainen, P.; Sarlin, E. Resizing Approach to Increase the Viability of Recycled Fibre-Reinforced Composites. Materials 2020, 13, 5773. [CrossRef]
  18. Thomason, J.L. Glass fibre sizing: A review. Composites Part A: Applied Science and Manufacturing 2019, 127, 105619. [CrossRef]
  19. Thomason, J.L.; Adzima, L.Z. Sizing up the interphase: an insider’s guide to the science of sizing. Composites: Part A 2001, 32, 313-321.
  20. Palola, S.; Laurikainen, P.; García-Arrieta, S.; Goikuria Astorkia, E.; Sarlin, E. Towards Sustainable Composite Manufacturing with Recycled Carbon Fiber Reinforced Thermoplastic Composites. Polymers 2022, 14, 1098. [CrossRef]
  21. Moosburger-Will, J.; Bauer, M.; Laukmanis, E.; Horny, R.; Wetjen, D.; Manske, T.; Schmidt-Stein, F.; Töpker, J.; Horn, S. Interaction between carbon fibers and polymer sizing: Influence of fiber surface chemistry and sizing reactivity. Applied Surface Science 2018, 439, 305-312. [CrossRef]
  22. Kim, H.-I.; Han, W.; Choi, W.-K.; Park, S.-J.; An, K.-H.; Kim, B.-J. Effects of maleic anhydride content on mechanical properties of carbon fibers-reinforced maleic anhydride-grafted-polypropylene matrix composites. Carbon Letters 2016, 20, 39-46. [CrossRef]
  23. Sizing for carbon fiber. Available online: https://www.compositesworld.com/articles/sizing-for-carbon-fiber (accessed on 05/01/2024).
  24. Silquest™ A-1524 Silane. Available online: https://www.momentive.com/en-us/categories/coupling/silquest-a-1524 (accessed on 05/01/2024).
  25. Fernández, A.; Lopes, C.S.; González, C.; López, F. Characterization of Carbon Fibers Recovered by Pyrolysis of Cured Prepregs and Their Reuse in New Composites. In Recent Developments in the Field of Carbon Fibers, Khanna, R.; Cayumil, R., Eds. 2018; IntechOpen Limited: London, United Kingdom, 2018, pp. 103-120. [CrossRef]
Figure 1. SEM images of treated carbon nonwoven: a) bottom of sample treated with form 1; b) bulk of sample treated with form 1.
Figure 1. SEM images of treated carbon nonwoven: a) bottom of sample treated with form 1; b) bulk of sample treated with form 1.
Preprints 96235 g001
Figure 2. Tensile strength of carbon/PA composites containing different fiber sizing. In black the results obtained in 0° direction, in gray results obtained in 90° direction of the composite plate.
Figure 2. Tensile strength of carbon/PA composites containing different fiber sizing. In black the results obtained in 0° direction, in gray results obtained in 90° direction of the composite plate.
Preprints 96235 g002
Figure 3. Tensile strength of carbon/PP composites containing different fiber sizing. In black the results obtained in 0° direction, in gray results obtained in 90° direction of the composite plate.
Figure 3. Tensile strength of carbon/PP composites containing different fiber sizing. In black the results obtained in 0° direction, in gray results obtained in 90° direction of the composite plate.
Preprints 96235 g003
Figure 4. Interlaminar shear strength of carbon/PA and carbon PP composites containing different fiber sizing. In black the results obtained in 0° direction, in gray results obtained in 90° direction of the composite plate.
Figure 4. Interlaminar shear strength of carbon/PA and carbon PP composites containing different fiber sizing. In black the results obtained in 0° direction, in gray results obtained in 90° direction of the composite plate.
Preprints 96235 g004
Figure 5. SEM images of the cross section of a) non pretreated PA composite (no sizing PA), b) pretreated PA composite (COM 4), c) non pretreated PA composite (no sizing PP) and d) pretreated PA composite (COM 6).
Figure 5. SEM images of the cross section of a) non pretreated PA composite (no sizing PA), b) pretreated PA composite (COM 4), c) non pretreated PA composite (no sizing PP) and d) pretreated PA composite (COM 6).
Preprints 96235 g005aPreprints 96235 g005b
Figure 6. The improvement of the tensile strength in the 90° direction of carbon PA (COM 1-4) and PP (COM 5 and 6) composites after pretreatment of the carbon fibers.
Figure 6. The improvement of the tensile strength in the 90° direction of carbon PA (COM 1-4) and PP (COM 5 and 6) composites after pretreatment of the carbon fibers.
Preprints 96235 g006
Table 1. Sizing formulations.
Table 1. Sizing formulations.
Formulation Water
(%)
Hydrosize
PA 845H
(%)
Hydrosize PP201 (%) Silquest
A-1524
(%)
Coatosil
1211C
(%)
Tego Airex 902W
(%)
Amount sizing (%)
Form 1 90 10 0 0 0 0 4.7
Form 2 95 5 0 0 0 0 3
Form 3 89,9 10 0 0.05 0.05 0.05 3.5
Form 4 94.9 5 0 0.05 0.05 0.05 2.5
Form 5 90 0 10 0 0 0 10
Form 6 95 0 5 0 0 0 5
Disclaimer/Publisher’s Note: The statements, opinions and data contained in all publications are solely those of the individual author(s) and contributor(s) and not of MDPI and/or the editor(s). MDPI and/or the editor(s) disclaim responsibility for any injury to people or property resulting from any ideas, methods, instructions or products referred to in the content.
Copyright: This open access article is published under a Creative Commons CC BY 4.0 license, which permit the free download, distribution, and reuse, provided that the author and preprint are cited in any reuse.
Prerpints.org logo

Preprints.org is a free preprint server supported by MDPI in Basel, Switzerland.

Subscribe

Disclaimer

Terms of Use

Privacy Policy

Privacy Settings

© 2026 MDPI (Basel, Switzerland) unless otherwise stated