Submitted:
31 December 2023
Posted:
02 January 2024
You are already at the latest version
Abstract
Keywords:
1. Introduction
2. Materials and Methods
2.1. The Experimental area
| Geographic coordinates and elevation | 42°40′15″ N; 12°02′33″E; 517 m a.s.l. |
| Koppen Climate Classification | Csa Type: Mediterranean hot summer climates |
| Tree establishment (year) | 1992 |
| Tree spacing | 6 m x 7 m |
| Tree-row orientation | 140° |
| Tree planting material | 1 year old bare root seedlings of Juglans regia L., half sib family of plus tree of cultivar Feltrina |
| Agroforestry Plots | 6 plots with plastic mulching along tree row (1992-1995) and 6 plots without plastic mulching |
| Intercrops | 1992-1995: Medica sativa L. (alfalfa) |
| 1996: Triticum aestivum L. (common wheat) | |
| 1997-1998: fallow | |
| 1999-2002: alfalfa | |
| 2003: common wheat | |
| 2004: Trifolium repens L. (white clover) sowing | |
| 2005-2010: hay meadow | |
| Sole Tree Plots | 6 plots with plastic mulching along tree row (1992-1995) and 6 plots without plastic mulching |
| Intra row soil management | 1992-2004: mechanical clean cultivation between May to September |
| 2005-2010: sward mowing | |
| Sole Crop Plot | 1992-2010: crops rotation as for walnut Agroforestry plots since 1999 |
| Month | 1992-2009 | 2010 | ||||
|---|---|---|---|---|---|---|
| Prec. (mm) | Ave. Temp.(°C) | Prec. (mm) | Ave. Temp. (C°) | Ave. Min. Temp. (°C) | Ave Max. Temp. (°C) | |
| Jan. | 69 | 3.9 | 144 | 2.8 | -0,2 | 5.8 |
| Feb. | 53 | 4.4 | 109 | 5.1 | 1,5 | 8.7 |
| Mar. | 64 | 7.1 | 44 | 6.7 | 2,6 | 10.8 |
| Apr. | 67 | 10.0 | 75 | 10.9 | 5,5 | 16.0 |
| May | 63 | 14.8 | 181 | 13.4 | 8,2 | 18.5 |
| June | 57 | 18.4 | 23 | 18.1 | 11,8 | 24.4 |
| Jul. | 17 | 21.1 | 124 | 22.9 | 15,8 | 29.9 |
| Aug. | 40 | 21.5 | 21 | 20.8 | 14,4 | 27.7 |
| Sept. | 80 | 16.9 | 36 | 16.7 | 10,8 | 22.5 |
| Oct. | 95 | 13.1 | 68 | 11.7 | 7,1 | 16.2 |
| Nov. | 124 | 8.2 | 277 | 8.2 | 4,1 | 12.3 |
| Dic. | 109 | 4,9 | 125 | 3.9 | 0,5 | 7.3 |
| Year | 838 | 12,0 | 1227 | 11.7 | 6.8 | 16.7 |
2.2. Tree growth in the year 2010
- In December 2010, the following measurements were performed on walnut trees:
- -
- crown diameter (CC). Measurements were conducted through the use of a graduated rod on the crown project on the ground, with two orthogonal measurements;
- -
- usable trunk height (Ht). This measurement was performed with a graduated rod, measuring the height between the soil surface and the lowest branch with a minimum diameter of 3 cm. The aim of this measurement is the definition of the trunk length, suitable for sowing or veneering;
- -
- total stem height (H), with infrared hypsometer (Vertex III);
- -
- stem diameter at breast height (DBH). The measurement was performed using a precision metal calliper with an approximation to the millimeter, taking two orthogonal diameters on the stem section at 1,3 m from the soil surface.
- -
- basal area of the walnut trees (G). In each plot of 4 walnut trees, G was determined using the following formula:
- with G is expressed in m2ha-1; d is tree density, as tree number per ha.
2.3. Tree leaf phenology.
- Value 0: The plant has not yet opened the buds of the entire canopy.
- Value 1: The plant has opened less than 50% of the buds of the entire canopy.
- Value 2: The plant has opened more than 50% of the buds of the entire canopy.
- Value 3: The plant has completed the opening of the buds of the entire canopy.
2.4. Meadow productivity.
2.4. Hemispherical photos
2.5. Estimation of fruit production from literature and scenarios of hay and fruit production
2.6. Statistical Analysis
3. Results
3.1. Tree growth
3.2. Tree leaf phenology and Total light transmittance
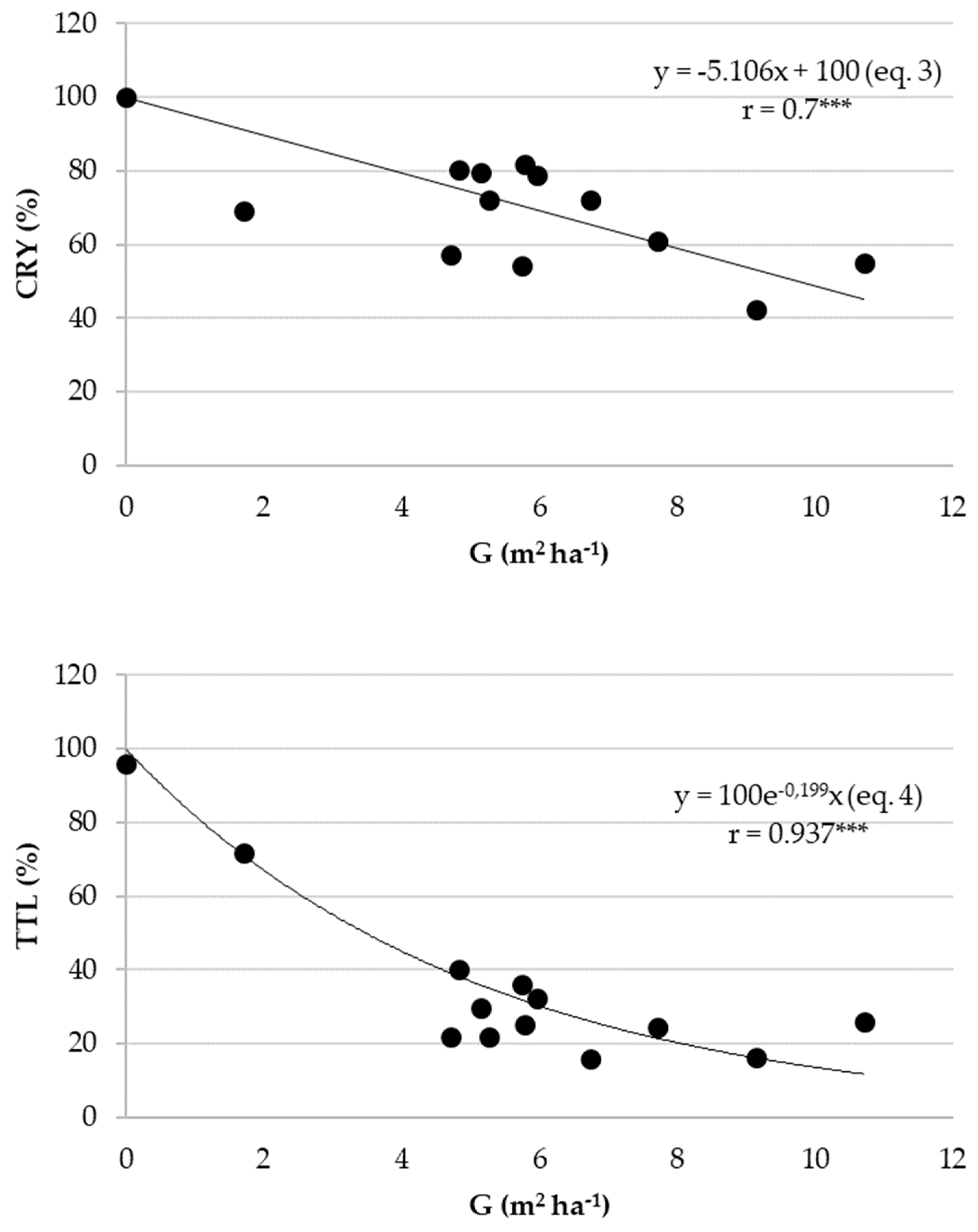
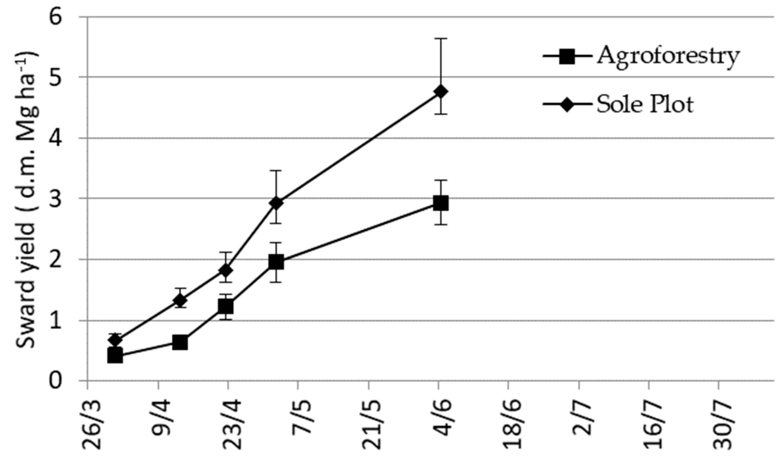
3.3. Meadow yield and correlation with G and TLT
3.4. Scenarios of hay and fruit production for two planting densities.
4. Discussion
4.1. Trees growth
4.2. Tree phenology, hay yield and TLT
4.3. Relationship between Basal Area (G) and Crop relative Yield (CRY)
4.4. Scenarios of hay and nuts productivity
5. Conclusions
- the usefulness of plastic mulching, at tree planting, to increase the long-term growth and timber productivity of the trees intercropped with herbaceous crops;
- the negative linear relationship between hay productivity and the trees basal area;
- the tree basal area influences, in positive way, more markedly nut production than the decrease in hay production.
Author Contributions
Funding
Data Availability Statement
Conflicts of Interest
References
- Nair, P.K.R.; Kumar, B.M.; Nair, V.D. An Introduction to Agroforestry: Four Decades of Scientific Developments; Springer International Publishing: Cham, 2021. [Google Scholar] [CrossRef]
- Roe, S.; Streck, C.; Obersteiner, M.; Frank, S.; Griscom, B.; Drouet, L.; Fricko, O.; Gusti, M.; Harris, N.; Hasegawa, T.; et al. Contribution of the Land Sector to a 1.5 °C World. Nat. Clim. Chang. 2019, 9, 817–828. [Google Scholar] [CrossRef]
- Borelli, S.; Simelton, E.; Aggarwal, S.; Olivier, A.; Conigliaro, M.; Hillbrand, A.; Garant, D.; Desmyttere, H. Agroforestry and Tenure. Forestry Working Paper no. 8. Rome. 40 pp. Licence: CC BY-NCSA 3.0 IGO.
- Wolz, K.J.; Lovell, S.T.; Branham, B.E.; Eddy, W.C.; Keeley, K.; Revord, R.S.; Wander, M.M.; Yang, W.H.; DeLucia, E.H. Frontiers in Alley Cropping: Transformative Solutions for Temperate Agriculture. Glob Change Biol 2018, 24, 883–894. [Google Scholar] [CrossRef] [PubMed]
- Den Herder, M.; Moreno, G.; Mosquera-Losada, R.M.; Palma, J.H.N.; Sidiropoulou, A.; Santiago Freijanes, J.J.; Crous-Duran, J.; Paulo, J.A.; Tomé, M.; Pantera, A.; et al. Current Extent and Stratification of Agroforestry in the European Union. Agriculture, Ecosystems & Environment 2017, 241, 121–132. [Google Scholar] [CrossRef]
- Eichhorn, M.P.; Paris, P.; Herzog, F.; Incoll, L.D.; Liagre, F.; Mantzanas, K.; Mayus, M.; Moreno, G.; Papanastasis, V.P.; Pilbeam, D.J.; et al. Silvoarable Systems in Europe – Past, Present and Future Prospects. Agroforest Syst 2006, 67, 29–50. [Google Scholar] [CrossRef]
- Paris, P.; Consalvo, C.; Rosati, A.; Mele, M.; Franca, A.; Camilli, F.; Marchetti, M. Agroforestry and ecological intensification. Forest@ 2019, 16, 10–15. [Google Scholar] [CrossRef]
- Shigaeva, J.; Darr, D. On the Socio-Economic Importance of Natural and Planted Walnut (Juglans Regia L.) Forests in the Silk Road Countries: A Systematic Review. Forest Policy and Economics 2020, 118, 102233. [Google Scholar] [CrossRef]
- Pollegioni, P.; Woeste, K.; Chiocchini, F.; Del Lungo, S.; Ciolfi, M.; Olimpieri, I.; Tortolano, V.; Clark, J.; Hemery, G.E.; Mapelli, S.; et al. Rethinking the History of Common Walnut (Juglans Regia L.) in Europe: Its Origins and Human Interactions. PLoS ONE 2017, 12, e0172541. [Google Scholar] [CrossRef]
- McGranahan, G.; Leslie, C. Breeding Walnuts (Juglans Regia). In Breeding Plantation Tree Crops: Temperate Species; Springer New York: New York, NY, 2009; pp. 249–273. [Google Scholar] [CrossRef]
- Mohni, C.; Pelleri, F.; Hemery, G.E. The Modern Silviculture of Juglans Regia L.: A Literature Review. 2009.
- Nermin, H.; Francesco, C. Evidence Emerging from the Survey on European Union Timber Regulation [REG. (EU) 995/2010] in Italy. OJF 2022, 12, 142–161. [Google Scholar] [CrossRef]
- Facciotto, G.; Minotta, G.; Paris, P.; Pelleri, F. Tree Farming, Agroforestry and the New Green Revolution. A Necessary Alliance. In Atti del Secondo Congresso Internazionale di Selvicoltura = Proceedings of the Second International Congress of Silviculture; Accademia Italiana di Scienze Forestali, 2015; pp. 658–669. [Google Scholar] [CrossRef]
- Graves, A.R.; Burgess, P.J.; Palma, J.H.N.; Herzog, F.; Moreno, G.; Bertomeu, M.; Dupraz, C.; Liagre, F.; Keesman, K.; Van Der Werf, W.; et al. Development and Application of Bio-Economic Modelling to Compare Silvoarable, Arable, and Forestry Systems in Three European Countries. Ecological Engineering 2007, 29, 434–449. [Google Scholar] [CrossRef]
- García De Jalón, S.; Graves, A.; Palma, J.H.N.; Williams, A.; Upson, M.; Burgess, P.J. Modelling and Valuing the Environmental Impacts of Arable, Forestry and Agroforestry Systems: A Case Study. Agroforest Syst 2018, 92, 1059–1073. [Google Scholar] [CrossRef]
- Blanc, S.; Gasol, C.M.; Martínez-Blanco, J.; Muñoz, P.; Coello, J.; Casals, P.; Mosso, A.; Brun, F. Economic Profitability of Agroforestry in Nitrate Vulnerable Zones in Catalonia (NE Spain). Span J Agric Res 2019, 17, e0101. [Google Scholar] [CrossRef]
- Nissen, T.M.; Midmore, D.J. Stand Basal Area as an Index of Tree Competitiveness in Timber Intercropping. Agroforestry Systems 2002, 54, 51–60. [Google Scholar] [CrossRef]
- Bertomeu, M. Growth and Yield of Maize and Timber Trees in Smallholder Agroforestry Systems in Claveria, Northern Mindanao, Philippines. Agroforest Syst 2012, 84, 73–87. [Google Scholar] [CrossRef]
- Paris, P.; Pisanelli, A.; Todaro, L.; Olimpieri, G.; Cannata, F. Growth and Water Relations of Walnut Trees (Juglans Regia L.) on a Mesic Site in Central Italy: Effects of Understorey Herbs and Polyethylene Mulching. Agroforest Syst 2005, 65, 113–121. [Google Scholar] [CrossRef]
- Burgess, P.J.; Incoll, L.D.; Corry, D.T.; Beaton, A.; Hart, B.J. Poplar (Populus Spp) Growth and Crop Yields in a Silvoarable Experiment at Three Lowland Sites in England. Agroforest Syst 2005, 63, 157–169. [Google Scholar] [CrossRef]
- Rivest, D.; Cogliastro, A.; Vanasse, A.; Olivier, A. Production of Soybean Associated with Different Hybrid Poplar Clones in a Tree-Based Intercropping System in Southwestern Québec, Canada. Agriculture, Ecosystems & Environment 2009, 131, 51–60. [Google Scholar] [CrossRef]
- Pardon, P.; Mertens, J.; Reubens, B.; Reheul, D.; Coussement, T.; Elsen, A.; Nelissen, V.; Verheyen, K. Juglans regia (Walnut) in Temperate Arable Agroforestry Systems: Effects on Soil Characteristics, Arthropod Diversity and Crop Yield. Renew. Agric. Food Syst. 2020, 35, 533–549. [Google Scholar] [CrossRef]
- Minotta, G. La Coltura del Noce da Frutto ed a duplice attitudine produttiva in collina ed in montagna. Monti e Boschi 1990, 1, 27–33. [Google Scholar]
- Žalac, H.; Burgess, P.; Graves, A.; Giannitsopoulos, M.; Paponja, I.; Popović, B.; Ivezić, V. Modelling the Yield and Profitability of Intercropped Walnut Systems in Croatia. Agroforest Syst 2023, 97, 279–290. [Google Scholar] [CrossRef]
- Rehnus, M.; Mamadzhanov, D.; Venglovsky, B.I.; Sorg, J.-P. The Importance of Agroforestry Hay and Walnut Production in the Walnut-Fruit Forests of Southern Kyrgyzstan. Agroforest Syst 2013, 87, 1–12. [Google Scholar] [CrossRef]
- Pra, A.; Brotto, L.; Mori, P.; Buresti Lattes, E.; Masiero, M.; Andrighetto, N.; Pettenella, D. Profitability of Timber Plantations on Agricultural Land in the Po Valley (Northern Italy): A Comparison between Walnut, Hybrid Poplar and Polycyclic Plantations in the Light of the European Union Rural Development Policy Orientation. Eur J Forest Res 2019, 138, 473–494. [Google Scholar] [CrossRef]
- Köppen, W.P. Das Geographische System Der Klimate. Handbuch der Klimatologie: Borntraeger, 1936. [Google Scholar]
- Dono, G.; Severini, S.; Sorrentino, A. Small Farms in Central Italy. In Small Farm Agriculture in Southern Europe. Monke, E., Avillez, F., Pearson, S., Eds.; Routledge, 2019; pp. 97–122. [Google Scholar] [CrossRef]
- Pini, R.; Paris, P.; Vigna Guidi, G.; Pisanelli, A. Soil Physical Characteristics and Understory Management in a Walnut (Juglans Regia L.) Plantation in Central Italy. Agroforestry Systems 1999, 46, 95–105. [Google Scholar] [CrossRef]
- Fady, B.; Ducci, F.; Aleta, N.; Becquey, J.; Vazquez, R.D.; Lopez, F.F.; Jay-Allemand, C.; Panetsos, K.; Paris, P.; Pisanelli, A.;et al. Walnut Demonstrates Strong Genetic Variability for Adaptive and Wood Quality Traits in a Network of Juvenile FIeld Tests across Europe.
- Malvolti, M.E.; Pollegioni, P.; Bertani, A.; Mapelli, S.; Cannata, F. Juglans Regia Provenance Research by Molecular, Morphological and Biochemical Markers: A Case Study in Italy. No. 1.
- Fraser, G.; Canham, C.; Lertzman, K. Gap Light Analyser (GLA): Imaging Software to Extract Canopy Structure and Gap Light Transmission Indices from True-Colour Fisheye Photographs, Users Manual and Program Documentation. Simon Fraser Univ., Burnaby, Canada, and the Institute of Ecosystem Studies, Millbrook, New York 1999.
- Di Vaio, C.; Minotta, G. Investigation on timber walnut plantations in southern Italy. Forest@ 2005, 2, 185–197. [Google Scholar] [CrossRef]
- Pergamo, R.; Petriccione, M. La noce Sorrento: redditività, problematiche e prospettive. L’Informatore Agrario 2017, 23, 41–43. [Google Scholar]
- Mercurio, R.; Minotta, G. Arboricoltura da legno; Manuali scientifici; CLUEB: Bologna, 2000. [Google Scholar]
- Pelleri, F.; Castro, G.; Marchi, M.; Fernandez-Moya, J.; Chiararbaglio, P.; Giorcelli, A.; Bergante, S.; Gennaro, M.; Manetti, M.; Plutino, M.; et al. The Walnut Plantations (Juglans Spp.) in Italy and Spain: Main Factors Affecting Growth. Annals of Silvicultural Research 2020, 44. [Google Scholar] [CrossRef]
- Bordin, C.; Frattegiani, M.; Mercurio, R.; Tabacchi, G. Valutazioni Sulla Produzione Legnosa in Piantagioni Di Noce Comune Dell’Italia Centrale. Modelli Di Previsione e Indici Di Competizione. 1996. [Google Scholar]
- Paris, P.; Cannata, F.; Olimpieri, G. Influence of Alfalfa (Medicago Sativa L.) Intercropping and Polyethylene Mulching on Early Growth of Walnut (Juglans Spp.) in Central Italy. Agroforest Syst 1995, 31, 169–180. [Google Scholar] [CrossRef]
- Paris, P.; Olimpieri, G.; Todaro, L.; Pisanelli, A.; Cannata, F. Leaf-Water Potential and Soil-Water Depletion of Walnut Mulched with Polyethylene and Intercropped with Alfalfa in Central Italy. Agroforestry Systems 1998, 40, 69–81. [Google Scholar] [CrossRef]
- Fernández-Moya, J.; Urbán-Martínez, I.; Pelleri, F.; Castro, G.; Bergante, S.; Giorcelli, A.; Gennaro, M.; Licea-Moreno, R.; Santacruz Pérez, D.; Gutiérrez-Tejón, E. Silvicultural Guide to Managing Walnut Plantations for Timber Production. H2020 EU project “Second generation of planted hardwood forests in the EU-Woodnat 2019.
- Blanchet, G.; Barkaoui, K.; Bradley, M.; Dupraz, C.; Gosme, M. Interactions between Drought and Shade on the Productivity of Winter Pea Grown in a 25-year-old Walnut-based Alley Cropping System. J Agronomy Crop Science 2022, 208, 583–598. [Google Scholar] [CrossRef]
- Arenas-Corraliza, M.G.; López-Díaz, M.L.; Moreno, G. Winter Cereal Production in a Mediterranean Silvoarable Walnut System in the Face of Climate Change. Agriculture, Ecosystems & Environment 2018, 264, 111–118. [Google Scholar] [CrossRef]
- Dupraz, C.; Blitz-Frayret, C.; Lecomte, I.; Molto, Q.; Reyes, F.; Gosme, M. Influence of Latitude on the Light Availability for Intercrops in an Agroforestry Alley-Cropping System. Agroforest Syst 2018, 92, 1019–1033. [Google Scholar] [CrossRef]
- Ivezić, V.; Yu, Y.; Werf, W.V.D. Crop Yields in European Agroforestry Systems: A Meta-Analysis. Front. Sustain. Food Syst. 2021, 5, 606631. [Google Scholar] [CrossRef]
- Žalac, H.; Zebec, V.; Ivezić, V.; Herman, G. Land and Water Productivity in Intercropped Systems of Walnut—Buckwheat and Walnut–Barley: A Case Study. Sustainability 2022, 14, 6096. [Google Scholar] [CrossRef]
- Paris, P.; Perali, A.; Pisanelli, A. Walnut Silvorable Systems: Use of G, Tree Basal Area, as an Index for Predicting Tree-Crops Interactions.
- Yin, R.; He, Q. The Spatial and Temporal Effects of Paulownia Intercropping: The Case of Northern China. Agroforestry Systems 1997, 37, 91–109. [Google Scholar] [CrossRef]





| Reference and country | Yield per ha (Mg ha-1) | Trees per ha | Yield per tree (kg) |
|---|---|---|---|
| Minotta 1990, Italy [23] | 2.5 | 70 | 35 |
| Pergamo et al, 2017 Italy [34] | 3 | 70 | 43 |
| Rehnus et al 2017, Kyrgyzstan [25] | 0.160 | 131 | 1.22 |
| Thesis | H (m) | Ht (m) | DBH (cm) |
|---|---|---|---|
| AF +M | 10.00 ns (0.760) | 1.99 c (0.149) | 17.75 b (1.41) |
| AF-M | 10.20 (0.520) | 1.86 bc (0.142) | 16.87 b (0.798) |
| Sole +M | 11.18 (0.315) | 2.46 a (0.067) | 21.29 a (0.647) |
| Sole -M | 10.22 (0.468) | 2.203 b (0.067) | 18.99 ab (0.905) |
| Source | d.f. | H | Ht | DBH |
|---|---|---|---|---|
| ANOVA p-value | ||||
| Intercropping | 1 | 0.219 | <0.0001 | 0.002 |
| Mulching | 1 | 0.406 | <0.017 | 0.061 |
| Rep. | 2 | 0.19 | <0.0001 | 0.064 |
| Int. x Mulch. | 1 | 0.339 | 0.607 | 0.515 |
| Source | d.f. | Sward Yield |
|---|---|---|
| Position | 3 | 0.362 |
| Rep. | 3 | 0.996 |
| Sward Position | Sward Yield (Mg d.m. ha- 1) |
|---|---|
| Sole Crop | 4.35 (0.877) ns |
| Tree Canopy | 2.91 (0.243) |
| Tree Canopy -Centre | 3.021 (0.358) |
| Tree Canopy-Lateral | 3.398 (0.541) |
Disclaimer/Publisher’s Note: The statements, opinions and data contained in all publications are solely those of the individual author(s) and contributor(s) and not of MDPI and/or the editor(s). MDPI and/or the editor(s) disclaim responsibility for any injury to people or property resulting from any ideas, methods, instructions or products referred to in the content. |
© 2024 by the authors. Licensee MDPI, Basel, Switzerland. This article is an open access article distributed under the terms and conditions of the Creative Commons Attribution (CC BY) license (http://creativecommons.org/licenses/by/4.0/).
