Submitted:
28 December 2023
Posted:
29 December 2023
You are already at the latest version
Abstract

Keywords:
1. Introduction
2. Results
2.1. Land covers – field verification
2.2. Classification accuracy
2.3. Multitemporal dimension
2.3.1. Spatiotemporal changes 1986-2000
2.3.2. Spatiotemporal changes 2000-2021
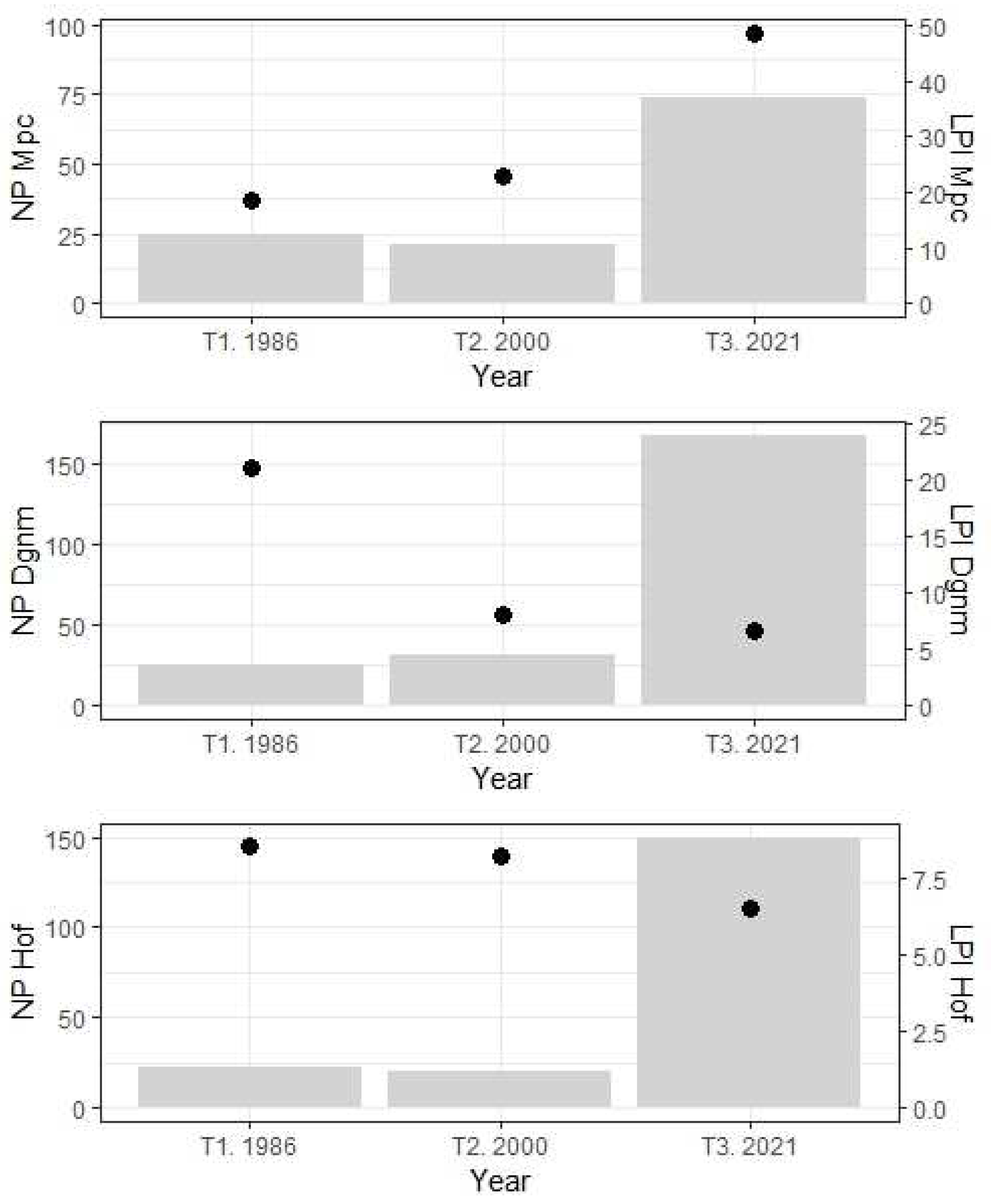
2.3.3. Diversity
2.3.4. Composition
2.3.5. Connectivity
3. Discussion
3.1. Land cover – field verification
3.2. Classification accuracy
3.3. Multitemporal dimension
4. Materials and Methods
4.1. Study area
4.2. Data source
4.3. Geometric correction
4.4. General contrasts (spatial enhancement)
4.5. Land covers (thematic categorization) – field verification
4.6. Classification accuracy
4.6.1. Producer accuracy
4.6.2. User accuracy
4.6.3. Kappa coefficient
4.7. Multitemporal dimension (landscape metrics)
4.7.1. Diversity
4.7.2. Composition
4.7.3. Connectivity
Author Contributions
Funding
Data Availability Statement
Acknowledgments
Conflicts of Interest
References
- Alzate, F.; Jiménez-Montoya, J.; Sarrazola, H. Sonsón, un nuevo complejo de paramos en Colombia. In Flora del Oriente Antioqueño. Biodiversidad, ecología y estrategias de conservación, Quijano-Abril, M.A., Ed.; Fondo Editorial Universidad Católica de Oriente: Bogotá D.C., Colombia, 2016; pp. 19–24. [Google Scholar]
- Jiménez-Rivillas, C.; García, J.J.; Quijano-Abril, M.A.; Daza, J.M.; Morrone, J.J. A new biogeographical regionalisation of the Paramo biogeographic province. Australian Systematic Botany 2018, 31, 296–310. [Google Scholar] [CrossRef]
- Cuesta, F., Muriel, P., Llambí, L.D., Halloy, S., Aguirre, N., Beck, S., Carilla, J., Meneses, R.I., Cuello, S., Grau, A., Gámez, L.E, Irazábal, J., Jácome, J., Jaramillo, J., Ramírez, L., Samaniego, N., Suárez-Duque, D., Thompson, N., Tupayachi, A., Viñas, P., … Gosling, W.D. Latitudinal and altitudinal patterns of plant community diversity on mountain summits across the tropical Andes. Ecography 2017, 40, 001–014.
- Fadrique, B., Báez, S., Duque, Á., Malizia, A., Blundo, C., Carilla, J., Osinaga-Acosta, O., Malizia, L., Silman, M., Farfán-Ríos, W., Malhi, Y., Young, K.R., Cuesta, C. F., Homeier, J., Peralvo, M., Pinto, E., Jadan, O., Aguirre, N., Aguirre, Z., Feeley, K.J. Widespread but heterogeneous responses of Andean forests to climate change. Nature 2018, 564, 207–212. [CrossRef]
- Llambí, L.D.; Cuesta, F. La diversidad de los paramos andinos en el espacio y en el tiempo. In Avances en investigación para la conservación de los paramos andinos, Cuesta, F.J., Sevink, L., Llambí, B., Posner J., Eds.; CONDESAN: Quito, Ecuador, 2014; pp. 8–39. [Google Scholar]
- Suárez Duque, D. Formación de un corredor de hábitat de un bosque montano alto en un mosaico de paramo en el norte del Ecuador. Ecología Aplicada 2008, 7, 9–15. [Google Scholar] [CrossRef]
- Rangel-Ch. O. La riqueza de las plantas con flores de Colombia. Caldasia 2015, 37, 279–307. [CrossRef]
- Abud, M.; Torres, A.M. Caracterización florística de un bosque alto andino en el Parque Nacional Natural Puracé, Cauca, Colombia. Boletín Científico del Museo de Historia Natural 2016, 20, 27–39. [Google Scholar] [CrossRef]
- Llambí, L.D., Soto, A., Celleri, R., De Bievre, B., Ochoa, B., Borja, P. Paramos Andinos: Ecología, Hidrología y Suelos de Paramos. Monsalve Moreno: Bogotá, Colombia 2012; pp. 283.
- Rincón-Ruíz, A.; Echeverry-Duque, M.; Piñeros, A.M.; Tapia, C.H.; David, A.; Arias-Arévalo, P.; Zuluaga, P.A. Valoración integral de la biodiversidad y los servicios ecosistémicos: aspectos conceptuales y metodológicos. Instituto de Investigación de Recursos Biológicos Alexander von Humboldt (IAvH): Bogotá, D.C., Colombia 2014; pp. 151.
- Nieto, M.; Cardona, L.; Agudelo, C. Análisis de servicios ecosistémicos. Provisión y regulación hídrica. In Hojas de ruta. Guías para el estudio socioecológico de la alta montaña en Colombia, Ungar, P., Ed.; Instituto de Investigación de Recursos Biológicos Alexander von Humboldt, Bogotá, Colombia 2015; pp. 1–95.
- Salas-Zapata, W.; Ríos-Osorio, L.V. Álvarez, J. Bases conceptuales para una clasificación de los sistemas socioecológicos de la investigación en sostenibilidad. Revista Lasallista de Investigación 2012, 8, 136–142. [Google Scholar]
- Uribe-Castro, H. De ecosistema a socioecosistema diseñado como territorio del capital agroindustrial y del Estado-nación moderno en el valle geográfico del río Cauca, Colombia. Revista Colombiana de Sociología 2014, 37, 121–157. [Google Scholar]
- Porter-Bolland, L., et al. Community managed forest and forest protected areas: An assessment of their conservation effectiveness across the tropics. Forest Ecology and Management. 268, pp. 6–17.
- Arellano-P.H.; Rangel-Ch, J. O. Fragmentación y estado de conservación en algunos paramos de Colombia. In Colombia, diversidad biótica X, cambio global (Natural) y climático (antrópico) en el paramo colombiano, Rangel, J.O., Ed.; Universidad Nacional de Colombia: Bogotá, Colombia 2010; pp. 479–542.
- Moncada-Rasmussen, D. Análisis espacio-temporal del cambio en los bosques de roble (Quercus humboldtii Bonpl.) y su relación con la alfarería en Aguabuena (Ráquirá–Boyacá). Colombia Forestal 2010, 13, 275–298. [Google Scholar] [CrossRef]
- Chuvieco, E. Teledetección ambiental, la observación de la Tierra desde el espacio. Editorial Ariel S.A.: Barcelona, Spain 2002; pp. 586.
- Chapin, F.S.; Matson, P.A.; Vitousek, P.M. Principles of Terrestrial Ecosystem Ecology. 2nd ed.; Springer Science+Business Media: New York, USA 2011; pp. 392. Principles of Terrestrial Ecosystem Ecology.
- McDonald, A.J.; Gemmell, F.M.; Lewis, P.E. Investigation of the utility of spectral vegetation indices for determining Information on Coniferous Forests. Remote Sensing of Environment 1998, 66, 250–272. [Google Scholar] [CrossRef]
- Hantson, S.; Chuvieco, E.; Pons, X.; Domingo, C.; Cea, C.; More, G.; Cristobal, J.; Peces, J.; Tejeiro, J. Cadena de pre-procesamiento estándar para las imágenes Landsat del Plan Nacional de Teledetección. Revista de Teledetección 2011, 36, 51–61. [Google Scholar]
- Coops, N.C.; Tooke, T.R. Introduction to remote sensing. In Learning Landscape Ecology. A Practical Guide to Concepts and Techniques, Gergel, S.E., Turner M.G., Eds.; Springer Verlag: New York, NY, USA, 2017; pp. 3–20. [Google Scholar]
- Morales, M.; Otero, J.; van der Hammen, T.; Torres, A.; Cadena, C.; … Cárdenas, L. Atlas de paramos de Colombia. Instituto de Investigación de Recursos Biológicos Alexander von Humboldt: Bogotá, Colombia 2007; pp. 208.
- Etter, A.; McAlpine, C.; Wilson, K.; Phinn, S.; Possingham, H. Regional patterns of agricultural land use and deforestation in Colombia. Agriculture, Ecosystem & Environment 2006, 114, 369–386. [Google Scholar]
- Sánchez-Cuervo, A.M.; Aide, M.; Clark, M.; Etter, A. Land cover change in Colombia: surprising forest recovery trends between 2001 and 2010. PLoS ONE 2012, 7, 1–14. [Google Scholar] [CrossRef] [PubMed]
- López, A.; Caicedo, E.; Mojica, J.A.; López Bermúdez, D.A. Paramos. Altas temperaturas y depredación aceleran su muerte. Available online: https://www.eltiempo.com/vida/medio-ambiente/paramos-asi-los-afecta-el-cambio-climatico-mineria-agricultura-y-conflicto-791673 (accessed on 13 September 2023).
- Pérez, M.E.; García, M. Aplicaciones de la teledetección en degradación de suelos. Boletín de la Asociación de Geógrafos Españoles 2013, 61, 285–308. [Google Scholar]
- Saura, S. Métodos y herramientas para el análisis de la conectividad del paisaje y su integración en los planes de conservación. In Avances en el análisis espacial de datos ecológicos: aspectos metodológicos y aplicados. De la Cruz, M., Maestre, F.m Eds.; ECESPA-Asociación Española de Ecología Terrestre: Mósteles, España: Mósteles, 2013; pp. 2–46.
- IDEAM. Leyenda nacional de coberturas de la Tierra Corine Land Cover adaptada para Colombia, escala 1:100.000. Instituto de Hidrología, Meteorología y Estudios Ambientales. Editorial Scripto Ltda.: Bogotá, Colombia 2010; pp. 72.
- Gil-Leguizamón, P.A.; Morales-Puentes, M.E.; Jácome, J. Estructura del bosque altoandino y paramo en el Macizo de Bijagual, Boyacá, Colombia. Revista de Biología Tropical 2020, 68, 765–776. [Google Scholar] [CrossRef]
- Gil-Leguizamón, P.A.; Morales-Puentes, M.E.; Carrillo-Fajardo, M.Y. Species richness of the vascular plants of the Bijagual high Andean forest, Colombia. Acta Botánica Mexicana,. 2021, 128, e1869. [Google Scholar] [CrossRef]
- Pinto Zárate, J. La vegetación de la región de vida paramuna colombiana: con énfasis en la cordillera Oriental y los Andes Centrales. Doctor Degree, Universidad Nacional de Colombia, Bogotá, Colombia 2023.
- Carrillo, M.Y.; Morales-Puentes, M.E.; Gil-Leguizamón, P.A. Catálogo de la flora (angiospermas) del paramo de Bijagual, Boyacá, Colombia. Boletín Científico del Centro de Museos 2017, 21, 15–29. [Google Scholar] [CrossRef]
- Gil-Leguizamón, P.A.; Morales-Puentes, M.E.; Díaz-Pérez, C.N. Evaluación poblacional y grado de amenaza de Chalybea macrocarpa (Melastomataceae) especie endémica de Colombia. Acta biológica colombiana 2014, 19, 261–270. [Google Scholar]
- Olaya-Angarita, J.A.; Díaz-Pérez, C.N.; Morales-Puentes, M.E. Composición y estructura de la transición bosque-paramo en el corredor Guantiva-La Rusia (Colombia). Revista de Biología Tropical 2019, 67, 755–768. [Google Scholar] [CrossRef]
- Prado-Castillo, L.F.; Cárdenas-Tamayo, T.A.; Carrillo-Fajardo. M.Y. Aproximación conceptual para la restauración de ecosistemas andinos. In Restauración de ecosistemas de montaña: cultura y ecología desde el paramo y el piedemonte llanero, Prado-Castillo, L.F., Gil-Leguizamón, P.A., Sabogal-González, A., Morales-Puentes, M.E., Eds.; Editorial: Tunja, Colombia 2018; pp. 17–30.
- Caicedo, E. Donde había frailejones, bromelias y mortiños, hoy hay cebolla, papa y vacas. El Tiempo. Available online: https://www.eltiempo.com/vida/medio-ambiente/paramos-asi-es-como-agricultura-y-ganaderia-han-transformado-los-ecosistemas-792130 (accessed on 8 September 2023).
- [Cuatrecasas, J. Aspectos de la vegetación natural de Colombia. Revista de la Academia Colombiana de Ciencias 1958, 10, 221–268. [Google Scholar]
- Gil-Novoa, J.E.; Morales-Puentes, M.E.; Mercado-Gómez, J.D. Biogeographic origins and floristic affinities of the bryophytes of the Tota-Bijagual-Mamapacha complex in the Páramos of Boyacá, Colombia. Phytotaxa 2020, 477, 171–193. [Google Scholar] [CrossRef]
- Gil-Leguizamón, P.A.; Bravo-Pedraza, W.J.; Hernández-Velandia, D.R.; Moreno-Mancilla, O.F.; Morales-Alba, A.F.; Reyes Camargo, J.E.; Ovalle-Pacheco, A.L.; Muños-Avila, J.A.; Vergara, P.; Ortiz, L.; Useche, D.S. Restauración ecológica del bosque altoandino en la vereda Montaya (Ventaquemada, Boyacá): Avances. In Restauración de ecosistemas de montaña: cultura y ecología desde el paramo y el piedemonte llanero, Prado-Castillo, L.F., Gil-Leguizamón, P.A., Sabogal-González, A., Morales-Puentes, M.E., Eds.; Editorial: Tunja, Colombia, 2018; pp. 139–178. [Google Scholar]
- Posada, E. Manual de prácticas de percepción remota parte 2. Centro de Investigación y Desarrollo en Información Geográfica (CIAF). Instituto Geográfico Agustín Codazzi (IGAC): Bogotá, Colombia 2012; pp. 154.
- Lambin, E.; Turner, B.; Geist, H.; Agbola, S.; Angelsen, A.; … Xu, J. The causes of Land-use and Land-cover change: moving beyond the myths. Global Environmental Change 2001, 11, 261–269. [Google Scholar] [CrossRef]
- Hansen, M.; Stehman, S.; Potatov, P.; Loveland, T.; Townshend, J.; Defries, R.; Pittman, K.; Arunarwati, B.; Stolle, F.; Steininger, M.; Carroll, M.; Dimiceli, Ch. Humid tropical forest clearing from 2000 to 2005 quantified by using multitemporal and multiresolution remotely sensed data. Proceedings of the National Academy of Sciences of the United States of America. 2008, 105, 9439–9444. [Google Scholar] [CrossRef]
- Etter, A.; McAlpine, C.; Possingham, H. Historical patterns and drivers of landscape change in Colombia since 1500: A regionalized spatial approach. Annals of the Association of American Geographers 2008, 98, 2–23. [Google Scholar] [CrossRef]
- Cortés-Duque, J.; Sarmiento, C. Visión socioecosistémica de los paramos y la alta montaña colombiana: memorias del proceso de definición de criterios para la delimitación de paramos; Instituto de Investigación de Recursos Biológicos Alexander von Humboldt: Bogotá, D.C. Colombia 2013; pp. 235.
- Bogaert, J.; Ceulemans, R.; Salvador-Van Eysenrode, D. Decision Tree Algorithm for Detection of Spatial Processes in Landscape Transformation. Environmental Management 2004, 33, 62–73. [Google Scholar] [CrossRef]
- Armenteras, D.; Gast, F.; Villarreal, H. Andean forest fragmentation and the representativeness of protected natural areas in the eastern Andes, Colombia. Biological Conservation 2003, 113, 245–256. [Google Scholar] [CrossRef]
- Fazey, L.; Fischer, J.; Lindenmayer, D. What do conservation biologists publish? Biological Conservation 2005, 124, 63–73. [Google Scholar] [CrossRef]
- Rodríguez-Eraso, N.; Armenteras-Pascual, D.; Alumbreros, J. Land use and land cover change in the Colombian Andes: dynamics and future scenarios. Journal of Land Use Science 2013, 8, 154–174. [Google Scholar] [CrossRef]
- Buytaert, W.; Sevink, J.; Cuesta, F.; Cuesta, F.; LLambi, L.; Posner, J. Cambio climático: la nueva amenaza para los paramos. Avances en investigación para la conservación de los paramos andinos. CONDESAN: Lima, Perú 2014; pp. 525.
- Morocho, C.C., Chuncho, G. Paramos del Ecuador, importancia y afectaciones: Una revisión. Bosques Latitud Cero 2019, 9, 71–83.
- Arroyo-Rodríguez, V.; Melo, F.P.L.; Martínez-Ramos, M.; Bongers, F.; Chazdon, R.L.; Meave, J.A.; Norden, N.; Santos, B.A.; Leal, I.R.; Tabarelli, M. Multiple successional pathways in human-modified tropical landscapes: new insights from forest succession, forest fragmentation and landscape ecology research. Biological Reviews Cambridge Philosophical Society 2015, 92, 326–340. [Google Scholar] [CrossRef] [PubMed]
- McDonald, T.; Jonson, J.; Dixon, K.W. National standards for the practice of ecological restoration in Australia. Restoration Ecology 2016, 24, S6–S32. [Google Scholar] [CrossRef]
- Lequerica, M.; Bernal, M.; Stevenson, P. Evidencia de direccionalidad del proceso de sucesión temprana del bosque altoandino. Colombia Forestal 2017, 20, 63–84. [Google Scholar] [CrossRef]
- Van Andel, J.; Aronson, J. Restoration ecology: the new frontier; Wiley Blackwell: Oxford, UK, 2012; p. 400. [Google Scholar]
- Pascual-Hortal, L.; Saura, S. Comparison and development of new graph-based landscape connectivity indices: towards the priorization of habitat patches and corridors for conservation. Landscape Ecology 2006, 21, 959–967. [Google Scholar] [CrossRef]
- Saura, S.; Rubio, L. A common currency for the different ways in which patches and links can contribute to habitat availability and connectivity in the landscape. Ecography 2010, 33, 523–537. [Google Scholar] [CrossRef]
- Forero-Gómez, Y.K., Gil-Leguizamón, P.A., Morales-Puentes, M.E. Structural connectivity between the Páramos of Guacheneque and Los Cristales, Rabanal-Río Bogotá complex, Colombia. Revista de Teledetección 2020, 57, 65–77. [CrossRef]
- Anzoategui, L.A.; Gil-Leguizamón, P.A.; Sanabria-Marin, R. Agricultural frontier and multi-temporality of vegetation cover in moorland of the Cortadera Regional Natural Park (Boyacá, Colombia). BOSQUE 2023, 44, 159–170. [Google Scholar] [CrossRef]
- Valdés, A. Modelos de paisaje y análisis de fragmentación: de la biogeografía de islas a la aproximación de paisaje continuo. Ecosistemas 2011, 20, 11–20. [Google Scholar]
- The Nature Conservancy. Estudio multitemporal del nor-oriente del Ecuador. Memoria técnica estudio multitemporal de la cobertura vegetal y uso del suelo en los años 1990-2008 y proyección 2030. Geoplades: Ecuador 2009; pp. 31.
- Posada, E. Manual de prácticas de percepción remota parte 1. Centro de Investigación y Desarrollo en Información Geográfica (CIAF). Instituto Geográfico Agustín Codazzi (IGAC): Bogotá, Colombia 2012; pp. 154.
- McGarigal, K.; Cushman, S.; Neel, M.; Ene, E. FRAGSTATS: spatial pattern analysis program for categorical maps. Computer software program produced by the authors at the University of Massachusetts, Amherst. Available online: https://www.umass.edu/landeco/research/fragstats/fragstats.html (accessed on 31 January 2012).
- Magle, S.; Theobald, D.; Crooks, K.A. Comparison of metrics predicting landscape connectivity for a highly interactive species along an urban gradient in Colorado, USA. Landscape Ecology 2009, 24, 267–280. [Google Scholar] [CrossRef]
- Saura, S.; Pascual-Hortal, L. A new habitat availability index to integrate connectivity in landscape conservation planning: Comparison with existing indices and application to a case study. Landscape and Urban Planning 2007, 83, 91–103. [Google Scholar] [CrossRef]
- Pascual-Hortal, L.; Saura, S. Integrating landscape connectivity in broad-scale forest planning through a new graph-based habitat availability methodology: application to capercaillie (Tetrao urogallus) in Catalonia (NE Spain). European Journal of Forest Research volume 2008, 127, 23–31. [Google Scholar] [CrossRef]
- Wickham, H.; Chang, W.; Henry, L.; Lin Pedersen, T.; Takahashi, K.; Wilke, C.; Woo, K.; Yutani, H.; Dunnington, D. ggplot2. Available online: https://ggplot2.tidyverse.org/ (accessed on 5 October 2023).




| Classification | Dgnm | Hof | Mpc | Lag | Bdl | Total row | User accuracy (%) | Commission error (%) |
|---|---|---|---|---|---|---|---|---|
| Dgnm | 49 | 4 | 0 | 0 | 0 | 53 | 98.55 | 1.45 |
| Hof | 1 | 140 | 0 | 2 | 0 | 143 | 98.91 | 1.09 |
| Mpc | 0 | 2 | 71 | 0 | 0 | 73 | 99.28 | 0.72 |
| Lag | 0 | 0 | 0 | 6 | 0 | 6 | 100 | 0 |
| Bdl | 0 | 0 | 0 | 0 | 1 | 1 | 100 | 0 |
| Total column | 50 | 146 | 71 | 8 | 1 | 276 | ||
| Producer accuracy (%) | 99.64 | 97.83 | 100 | 99.28 | 100 | Overall classification accuracy (Kappa) = 0.95 | ||
| Error of omission (%) | 0.36 | 2.17 | 0 | 0.72 | 0 | |||
| Cover | Area (ha) | Change from 1986 to 2000 (ha) | Change from 2000 to 2021 (ha) | Change from 1986 to 2021 (ha) | |||||
|---|---|---|---|---|---|---|---|---|---|
| 1986 | % | 2000 | % | 2021 | % | ||||
| Mpc | 2,811.8 | 32.8 | 3,748.5 | 43.7 | 4,534.1 | 52.9 | 936.6 | 785.6 | 1,722.2 |
| Dgnm | 3,648.9 | 42.6 | 2,400.9 | 28.0 | 2,160.0 | 25.2 | -1,248.0 | -241.0 | -1,489.0 |
| Hof | 2,101.3 | 24.5 | 2,410.5 | 28.1 | 1,861.8 | 21.7 | 309.2 | -548.7 | -239.5 |
| Lag | 12.1 | 0.1 | 14.1 | 0.2 | 13.1 | 0.2 | 2.0 | -1.0 | 1.0 |
| Bdl | 0.0 | 0.0 | 0.0 | 0.0 | 5.1 | 0.1 | 0.0 | 0.9 | 0.9 |
| Total | 8,574.1 | 100.0 | 8,574.1 | 100.0 | 8,574.1 | 100.0 | |||
| Change of orientation or use between 1986 and 2000 | ||||||
|---|---|---|---|---|---|---|
| Coverage | Hof (ha) | Dgnm (ha) | Mpc (ha) | Lag (ha) | Bdl (ha) | Total (year 1986) |
| Hof | 1,875.8 | 130.6 | 92.1 | 2.9 | 0 | 2,101.3 |
| Dgnm | 342.5 | 2,123.6 | 1,182.8 | 0 | 0 | 3,648.9 |
| Mpc | 191.4 | 146.8 | 2,473.6 | 0 | 0 | 2,811.8 |
| Lag | 0.9 | 0 | 0 | 11.2 | 0 | 12.1 |
| Total (year 2000) | 2,410.5 | 2,401.0 | 3,748.5 | 14.1 | 0.0 | 8,574.1 |
| Change of orientation or use between 2000 and 2021 | ||||||
| Coverage | Hof (ha) | Dgnm (ha) | Mpc (ha) | Lag (ha) | Bdl (ha) |
Total (year 2000) |
| Hof | 1,441.3 | 447.3 | 521.9 | 0 | 0 | 2,410.5 |
| Dgnm | 257.9 | 1,402.5 | 740.6 | 0 | 0 | 2,401.0 |
| Mpc | 161.6 | 310.3 | 3,271.6 | 0 | 5.1 | 3,748.5 |
| Lag | 1.0 | 0 | 0 | 13.1 | 0 | 14.1 |
| Total (year 2021) | 1,861.8 | 2,160.0 | 4,534.1 | 13.1 | 5.1 | 8,574.1 |
Disclaimer/Publisher’s Note: The statements, opinions and data contained in all publications are solely those of the individual author(s) and contributor(s) and not of MDPI and/or the editor(s). MDPI and/or the editor(s) disclaim responsibility for any injury to people or property resulting from any ideas, methods, instructions or products referred to in the content. |
© 2023 by the authors. Licensee MDPI, Basel, Switzerland. This article is an open access article distributed under the terms and conditions of the Creative Commons Attribution (CC BY) license (http://creativecommons.org/licenses/by/4.0/).
