Submitted:
20 December 2023
Posted:
20 December 2023
You are already at the latest version
Abstract
Keywords:
1. Introduction
2. Materials and Methods
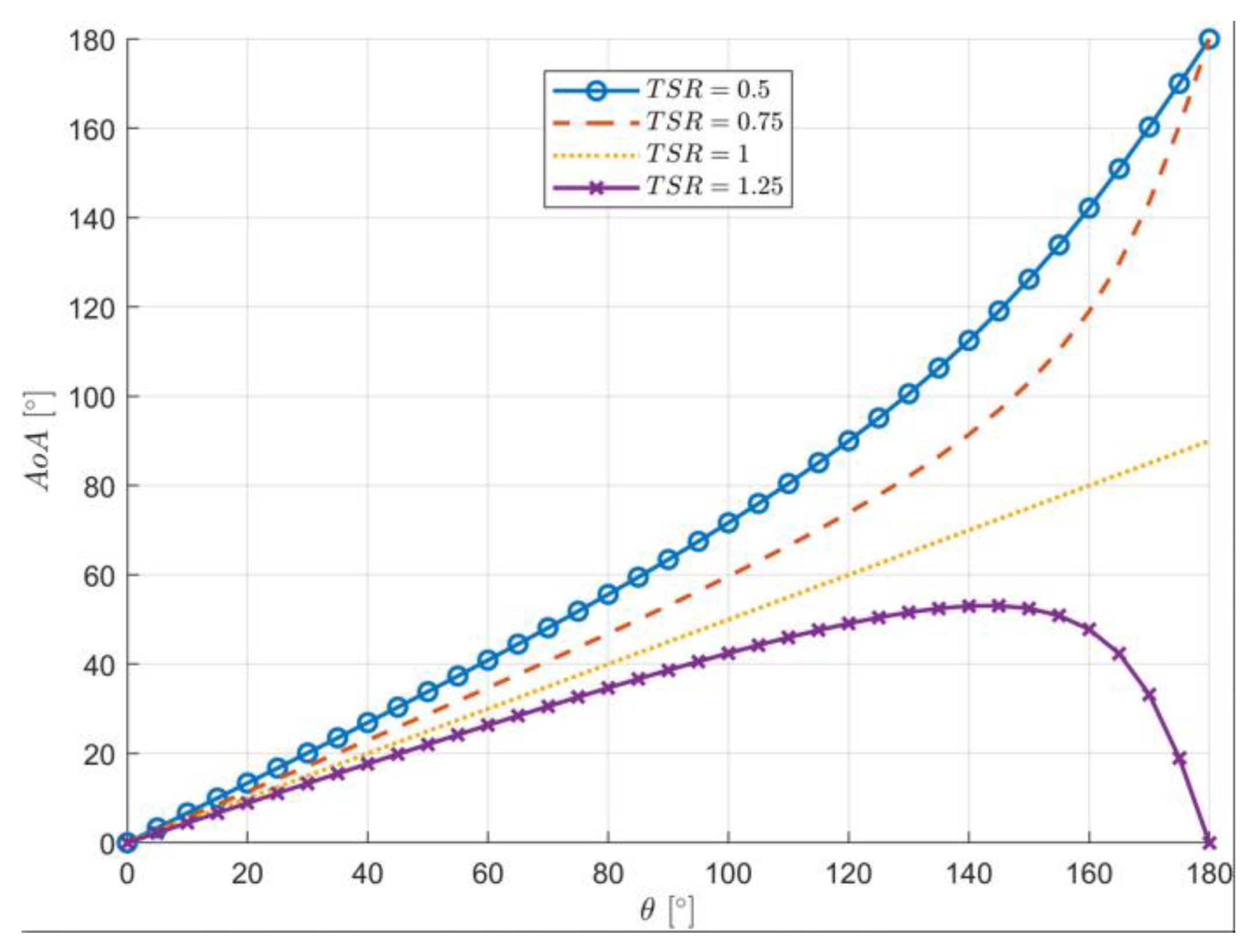
3. Results
4. Discussion

5. Conclusions
Author Contributions
Funding
References
- Real-Time Electricity Tracker Available online: https://www.iea.org/data-and-statistics/data-tools/real-time-electricity-tracker (accessed on 11 December 2023).
- Ahmad, T.; Zhang, D. A Critical Review of Comparative Global Historical Energy Consumption and Future Demand: The Story Told so Far. Energy Reports2020, 6, 1973–1991. [CrossRef]
- Acheampong, A.O. Economic Growth, CO2 Emissions and Energy Consumption: What Causes What and Where? Energy Economics2018, 74, 677–692. [CrossRef]
- Le Quéré, C.; Andrew, R.M.; Friedlingstein, P.; Sitch, S.; Hauck, J.; Pongratz, J.; Pickers, P.A.; Korsbakken, J.I.; Peters, G.P.; Canadell, J.G.; et al. Global Carbon Budget 2018. Earth Syst. Sci. Data2018, 10, 2141–2194. [CrossRef]
- CO2 Emissions in 2022; IEA: Paris, 2023.
- IPCC, Ip. Summary for Policymakers” in Global Warming of 1.5° C. An IPCC Special Report on the Impacts of Global Warming of 1.5° C above Pre-Industrial Levels and Related Global Greenhouse Gas Emission Pathways, in the Context of Strengthening the Global Response to the Threat of Climate Change, Sustainable Development, and Efforts to Eradicate Poverty. Sustainable Development, and Efforts to Eradicate Poverty. Geneva, Switzerland: World Meteorological Organization2018, 32.
- Ntanos, S. Renewable Energy Consumption, Carbon Dioxide Emissions and Economic Growth: Evidence from Europe and Greece.; September 21 2015.
- Mikhaylov, A. Efficiency of Renewable Energy Plants in Russia. An. Acad. Bras. Ciênc.2022, 94, e20191226. [CrossRef]
- Martín-Martínez, S.; Cañas-Carretón, M.; Honrubia-Escribano, A.; Gómez-Lázaro, E. Performance Evaluation of Large Solar Photovoltaic Power Plants in Spain. Energy Conversion and Management2019, 183, 515–528. [CrossRef]
- Arutyunov, V.S.; Lisichkin, G.V. Energy Resources of the 21st Century: Problems and Forecasts. Can Renewable Energy Sources Replace Fossil Fuels†. Russian Chemical Reviews2017, 86, 777. [CrossRef]
- Ledec, G.; Quintero, J.D. Good Dams and Bad Dams: Environmental Criteria for Site Selection of Hydroelectric Projects. 2003.
- Hamed, T.A.; Alshare, A. Environmental Impact of Solar and Wind Energy-a Review. Journal of Sustainable Development of Energy, Water and Environment Systems2022, 10, 1–23.
- Abohela, I.; Hamza, N.; Dudek, S. Urban Wind Turbines Integration in the Built Form and Environment. 2011, 10, 23–39.
- Barber, S.; Wang, Y.; Jafari, S.; Chokani, N.; Abhari, R.S. The Impact of Ice Formation on Wind Turbine Performance and Aerodynamics. 2011.
- Teff-Seker, Y.; Berger-Tal, O.; Lehnardt, Y.; Teschner, N. Noise Pollution from Wind Turbines and Its Effects on Wildlife: A Cross-National Analysis of Current Policies and Planning Regulations. Renewable and Sustainable Energy Reviews2022, 168, 112801. [CrossRef]
- Krijgsveld, K.L.; Akershoek, K.; Schenk, F.; Dijk, F.; Dirksen, S. Collision Risk of Birds with Modern Large Wind Turbines. Ardea2009, 97, 357–366. [CrossRef]
- Awada, A.; Younes, R.; Ilinca, A. Review of Vibration Control Methods for Wind Turbines. Energies2021, 14. [CrossRef]
- Castellani, F.; Astolfi, D.; Peppoloni, M.; Natili, F.; Buttà, D.; Hirschl, A. Experimental Vibration Analysis of a Small Scale Vertical Wind Energy System for Residential Use. Machines2019, 7. [CrossRef]
- Drones Protect Wind Turbines from Ice Available online: https://www.fraunhofer.de/en/press/research-news/2023/december-2023/drones-protect-wind-turbines-from-ice.html (accessed on 3 December 2023).
- Contreras Montoya, L.T.; Lain, S.; Ilinca, A. A Review on the Estimation of Power Loss Due to Icing in Wind Turbines. Energies2022, 15, 1083. [CrossRef]
- Ishugah, T.F.; Li, Y.; Wang, R.Z.; Kiplagat, J.K. Advances in Wind Energy Resource Exploitation in Urban Environment: A Review. Renewable and Sustainable Energy Reviews2014, 37, 613–626. [CrossRef]
- Mehedintu, A.; Soava, G.; Sterpu, M.; Grecu, E. Evolution and Forecasting of the Renewable Energy Consumption in the Frame of Sustainable Development: EU vs. Romania. Sustainability2021, 13, 10327. [CrossRef]
- Colesca, S.E.; Ciocoiu, C.N. An Overview of the Romanian Renewable Energy Sector. Renewable and Sustainable Energy Reviews2013, 24, 149–158. [CrossRef]
- Bianco, V.; Manca, O.; Nardini, S.; Minea, A.A. Analysis and Forecasting of Nonresidential Electricity Consumption in Romania. Applied Energy2010, 87, 3584–3590. [CrossRef]
- Yuan, X.-C.; Sun, X.; Zhao, W.; Mi, Z.; Wang, B.; Wei, Y.-M. Forecasting China’s Regional Energy Demand by 2030: A Bayesian Approach. Resources, Conservation and Recycling2017, 127, 85–95. [CrossRef]
- Cuce, E. An Overview of Domestic Energy Consumption in the UK: Past, Present and Future. International Journal of Ambient Energy2016, 37, 428–435. [CrossRef]
- Boretti, A.; Castelletto, S. Trends in Performance Factors of Large Photovoltaic Solar Plants. Journal of Energy Storage2020, 30, 101506. [CrossRef]
- Global Electricity Demand by Scenario, 2010-2030 Available online: https://www.iea.org/data-and-statistics/charts/global-electricity-demand-by-scenario-2010-2030 (accessed on 6 December 2023).
- Karimian, S.M.H.; Abdolahifar, A. Performance Investigation of a New Darrieus Vertical Axis Wind Turbine. Energy2020, 191, 116551. [CrossRef]
- Wang, Q.; Liu, B.; Hu, C.; Wang, F.; Yang, S. Aerodynamic Shape Optimization of H-VAWT Blade Airfoils Considering a Wide Range of Angles of Attack. International Journal of Low-Carbon Technologies2022, 17, 147–159. [CrossRef]
- Strătilă, S.; Glasberg, D.; Malael, I. Performance Analysis of a New Vertical Axis Turbine Design for Household Usage. Eng. Technol. Appl. Sci. Res.2024, 14, 12536–12542. [CrossRef]
- Malael, I.; Bucur, I.O. Numerical Evaluation of the Flow around a New Vertical Axis Wind Turbine Concept. Sustainability2021, 13, 9012. [CrossRef]
- Malael, I.; Dragan, V. Numerical and Experimental Efficiency Evaluation of a Counter-Rotating Vertical Axis Wind Turbine. Eng. Technol. Appl. Sci. Res.2018, 8, 3282–3286. [CrossRef]
- Bai, H.; Chan, C. Positive Interactions of Two Savonius-Type Vertical-Axis Wind Turbines for Performance Improvement. Energy Procedia2019, 158, 625–630. [CrossRef]
- Shaheen, M.; El-Sayed, M.; Abdallah, S. Numerical Study of Two-Bucket Savonius Wind Turbine Cluster. Journal of Wind Engineering and Industrial Aerodynamics2015, 137, 78–89. [CrossRef]
- Deda Altan, B.; Gultekin, G.S. Investigation of Performance Enhancements of Savonius Wind Turbines through Additional Designs. Processes2023, 11, 1473. [CrossRef]
- Maldonado, V.; Farnsworth, J.; Gressick, W.; Amitay, M. Active Control of Flow Separation and Structural Vibrations of Wind Turbine Blades. Wind Energy2010, 13, 221–237. [CrossRef]
- Shun, S.; Ahmed, N.A. Wind Turbine Performance Improvements Using Active Flow Control Techniques. Procedia Engineering2012, 49, 83–91. [CrossRef]
- Aboelezz, A.; Ghali, H.; Elbayomi, G.; Madboli, M. A Novel VAWT Passive Flow Control Numerical and Experimental Investigations: Guided Vane Airfoil Wind Turbine. Ocean Engineering2022, 257, 111704. [CrossRef]
- Zhu, H.; Hao, W.; Li, C.; Ding, Q.; Wu, B. A Critical Study on Passive Flow Control Techniques for Straight-Bladed Vertical Axis Wind Turbine. Energy2018, 165, 12–25. [CrossRef]
- Fernandez-Gamiz, U.; Zulueta, E.; Boyano, A.; Ansoategui, I.; Uriarte, I. Five Megawatt Wind Turbine Power Output Improvements by Passive Flow Control Devices. Energies2017, 10, 742. [CrossRef]
- De Gregorio, F.; Fraioli, G. Flow Control on a High Thickness Airfoil by a Trapped Vortex Cavity. In Proceedings of the 14th International symposium on applications of laser techniques to fluid mechanics; 2008.
- Błoński, D.; Strzelecka, K.; Kudela, H. Vortex Trapping Cavity on Airfoil: High-Order Penalized Vortex Method Numerical Simulation and Water Tunnel Experimental Investigation. Energies2021, 14, 8402. [CrossRef]
- Acosta-López, J.G.; Blasetti, A.P.; Lopez-Zamora, S.; De Lasa, H. CFD Modeling of an H-Type Darrieus VAWT under High Winds: The Vorticity Index and the Imminent Vortex Separation Condition. Processes2023, 11, 644. [CrossRef]
- SMAGORINSKY, J. GENERAL CIRCULATION EXPERIMENTS WITH THE PRIMITIVE EQUATIONS: I. THE BASIC EXPERIMENT. Monthly Weather Review1963, 91, 99–164. [CrossRef]
- Manwell, J.F.; McGowan, J.G.; Rogers, A.L. Wind Energy Explained: Theory, Design and Application; 2nd ed.; Wiley: Chichester, U.K, 2009; ISBN 978-0-470-01500-1.
- Abdelsamie, A.; Voß, S.; Berg, P.; Chi, C.; Arens, C.; Thévenin, D.; Janiga, G. Comparing LES and URANS Results with a Reference DNS of the Transitional Airflow in a Patient-Specific Larynx Geometry during Exhalation. Computers & Fluids2023, 255, 105819. [CrossRef]
- Rogowski, K.; Królak, G.; Bangga, G. Numerical Study on the Aerodynamic Characteristics of the NACA 0018 Airfoil at Low Reynolds Number for Darrieus Wind Turbines Using the Transition SST Model. Processes2021, 9, 477. [CrossRef]
- Ranjbar, M.H.; Nasrazadani, S.A.; ZanganehKia, H.; Gharali, K. Reaching the Betz Limit Experimentally and Numerically. Energy Equip. Syst.2019, 7. [CrossRef]
- Betz, A. The Maximum of the Theoretically Possible Exploitation of Wind by Means of a Wind Motor. Wind Engineering2013, 37, 441–446. [CrossRef]
- Simão Ferreira, C., Van Kuik, G., Van Bussel, G., & Scarano, F. (2009). Visualization by PIV of dynamic stall on a vertical axis wind turbine. Experiments in fluids, 46, 97-108. [CrossRef]
- Arpino, F., Cortellessa, G., Scungio, M., Fresilli, G., Facci, A., & Frattolillo, A. (2021). PIV measurements over a double bladed Darrieus-type vertical axis wind turbine: A validation benchmark. Flow Measurement and Instrumentation, 82, 102064. [CrossRef]













| Parameter | Value | Units |
|---|---|---|
| Rotor diameter | 3,6 | m |
| Rotor height | 4,5 | m |
| Nominal Wind velocity | 12 | m/s |
| Blade chord | 0,6 | m |
| Number of blades | 3 | - |
| Blade airfoil | NACA0021 | |
| Nominal TSR | 1,9 |
| Case | Subdomain | No. of nodes | No. of elements | |
|---|---|---|---|---|
| Tri | Quad | |||
| Case 1 (classic) |
Rotor | 237568 | 387 | 235071 |
| Stator | 34310 | 38 | 33811 | |
| TOTAL | 271878 | 425 | 268882 | |
| Case 2 (optimized) |
Rotor | 264226 | 452 | 261419 |
| Stator | 34310 | 38 | 33811 | |
| TOTAL | 298536 | 490 | 295230 | |
| Models | Solver | Pressure Based | Unsteady | 2.5d |
| Viscous Model | LES | |||
| Materials | Air | Density, constant | ||
|
Operating conditions |
Pressure 101325 [Pa] | |||
|
Boundary Condition |
Inlet | Velocity inlet: Vx=10m/s | ||
| Blades | wall | |||
| Shaft | wall | |||
| Interface | Interface rotor-stator | |||
| Outlet | Pressure outlet: Pressure= 0 [Pa] | |||
| Symmetry | symmetry | |||
| Rotor | Mesh motion | |||
| Stator | Stationary | |||
| Solve | Controls | Solution | Courant nr=2 | Discretization 2nd order upwind |
| Initialize | Hybrid | |||
| Monitors | Residuals | 10e-06 | ||
| Force | torque coefficient | |||
| Run calculation | 3600 Steps | timre step size [s] - estimated at a rotation of one degree every iteration. | ||
| Report | Reference values | Inlet | Area = rotor's diameter Length = rotor's radius |
|
| TSR λ |
Angular velocityɷ [rad/s] | Rotational angle per one it Δθ [°] |
Time step size [s] |
Number of time steps |
|---|---|---|---|---|
| 0,5 | 2,777777778 | 1 | 0,006283185 | 3600 |
| 0,75 | 4,166666667 | 0,004188790 | ||
| 1 | 5,555555556 | 0,003141593 | ||
| 1,25 | 6,944444444 | 0,002513274 |
Disclaimer/Publisher’s Note: The statements, opinions and data contained in all publications are solely those of the individual author(s) and contributor(s) and not of MDPI and/or the editor(s). MDPI and/or the editor(s) disclaim responsibility for any injury to people or property resulting from any ideas, methods, instructions or products referred to in the content. |
© 2023 by the authors. Licensee MDPI, Basel, Switzerland. This article is an open access article distributed under the terms and conditions of the Creative Commons Attribution (CC BY) license (http://creativecommons.org/licenses/by/4.0/).