Submitted:
15 November 2023
Posted:
16 November 2023
You are already at the latest version
Abstract
Keywords:
1. Introduction
2. Materials and Methods
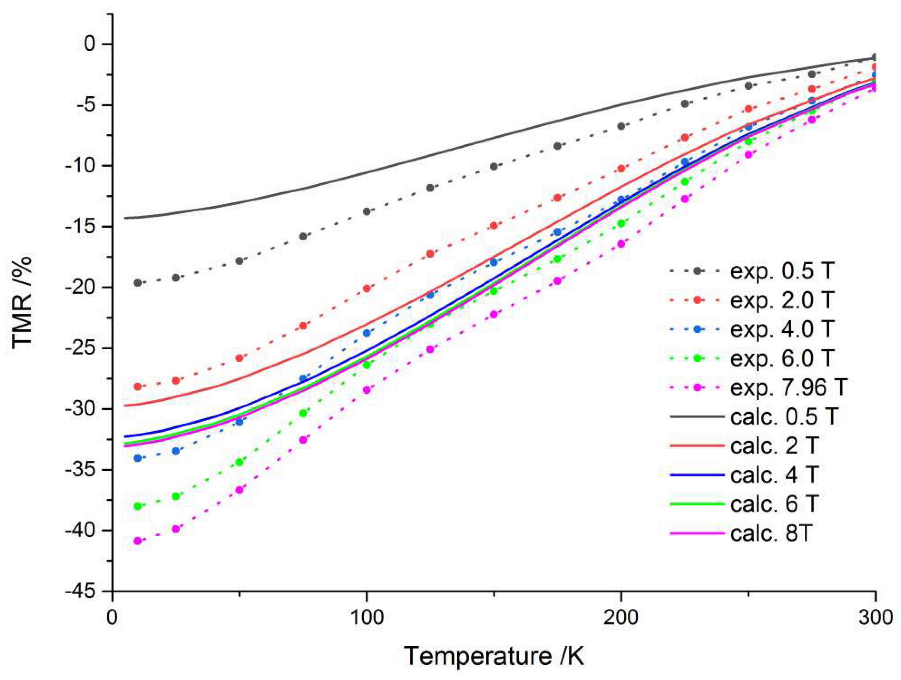
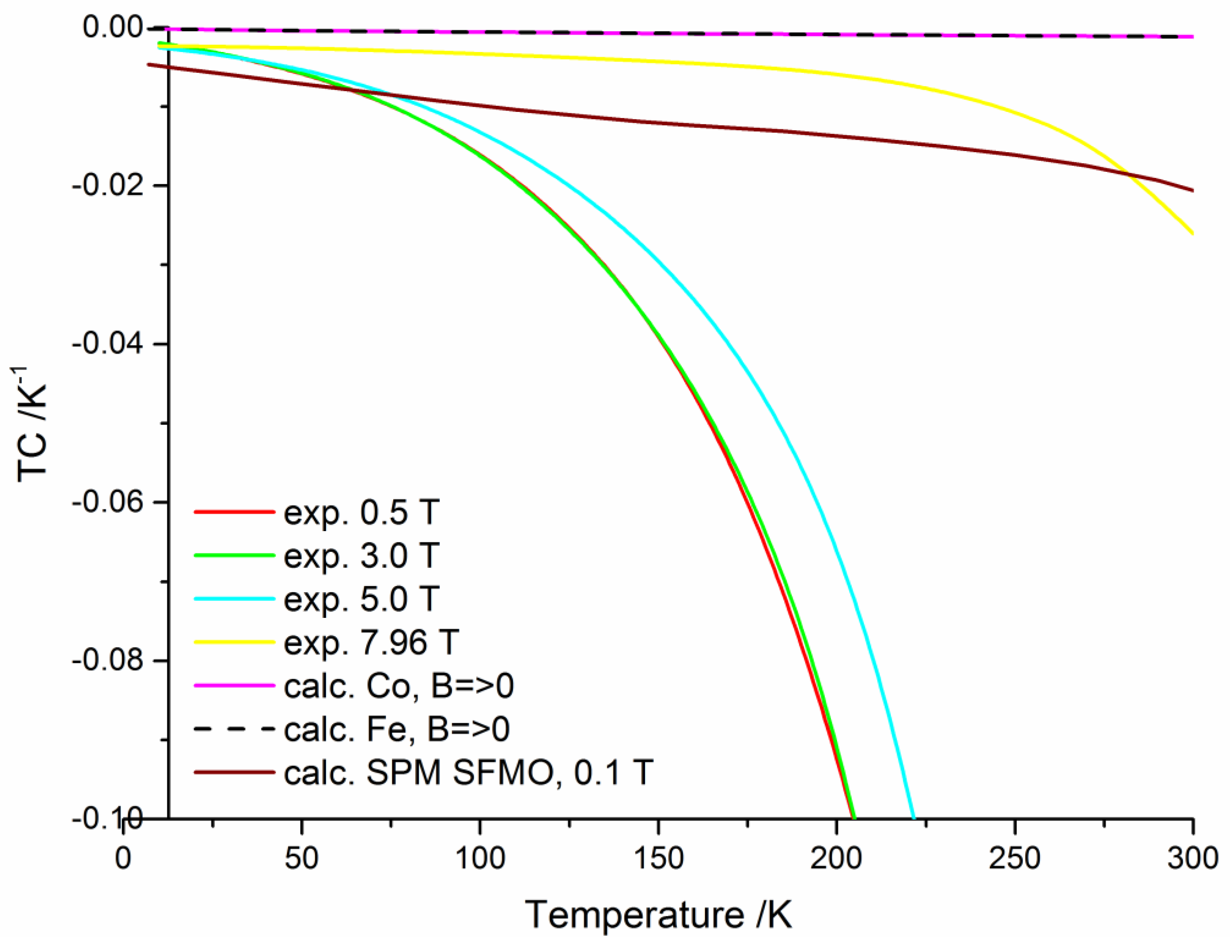
3. Results and discussion
4. Conclusions
Author Contributions
Funding
Data Availability Statement
Acknowledgments
Conflicts of Interest
References
- Fujimori, H; Mitani, S.; Ohnuma, S. Tunnel-type GMR in metal-nonmetal granular alloy thin films. Mater. Sci. Eng. B 1995, 31(1-2), 219-223. [CrossRef]
- Kobayashi, N.; Ohnuma, S.; Masumoto T.; H. Fujimori, H. (Fe–Co)–(Mg-fluoride) insulating nanogranular system with enhanced tunnel-type giant magnetoresistance. J. Appl. Phys. 2001, 90(8), 4159-4162. [CrossRef]
- Kim, T.H.; Uehara, M.; Cheong, S.-W.; Lee, S. Large room-temperature intergrain magnetoresistance in double perovskite SrFe1-x(Mo or Re)xO3. Appl. Phys. Lett. 1999, 74(12), 1737-1739. [CrossRef]
- Niebieskikwiat, D.; Caneiro, A.; S!anchez, R.D.; Fontcuberta, J. Oxygen-induced grain boundary effects on magnetotransport properties of Sr2FeMoO6+ Phys. Rev. B - Condens. Matter Mater. Phys. 2001, 64, 180406 (4pp), DOI: PhysRevB.64.180406.
- Sharma, A.; Berenov, A.; Rager, J.; Branford, W.; Bugoslavsky, Y.; Cohen, L.F.; MacManus-Driscoll, J.L. Enhanced intergrain magnetoresistance in bulk Sr2FeMoO6 through controlled processing. Appl Phys Lett. 2003, 83(12), 2384–2386. [CrossRef]
- Gaur, A.; Varma, G.D. (2007) Enhanced magnetoresistance in double perovskite Sr2FeMoO6- through SrMoO4 tunneling barriers. Mater. Sci. Eng. B 2007, 143(1–3). 64–69. [CrossRef]
- Suchaneck G.; Kalanda N.; Artiukh E.; Yarmolich M.; Sobolev N.A. Tunneling conduction mechanisms in strontium ferromolybdate ceramics with strontium molybdate dielectric intergrain barriers. J. Alloys Comp. 2020, 860, 158526 (6pp.), DOI: j.jallcom.2020.158526.
- Serrate D.; De Teresa J.M.; Ibarra M.R. Double perovskites with ferromagnetism above room temperature. J. Phys: Condens. Matter. 2006, 19(2), 023201. [CrossRef]
- Yuan C.L.; Zhu Y.; Ong P.P.; Ong C.K.; Yu T.; Shen Z.X. Grain boundary effects on the magneto-transport properties of Sr2FeMoO6 induced by variation of the ambient H2-Ar mixture ratio during annealing. Physica 2003, B 334(3–4), 408–412. [CrossRef]
- Suchaneck, G. Tunnel magnetoresistance of granular superparamagnetic and ferrimagnetic structures. Nanomater. Sci. Eng. 2022, 4(1), 10-20. [CrossRef]
- Demyanov, S.; Kalanda, N.; Yarmolich, M.; Petrov, A.; Lee, S.H.; Yu, S.C.; Oh, S.K.; Kim, D.H. Characteristic features of the magnetoresistance in the ferrimagnetic (Sr2FeMoO6-δ) - dielectric (SrMoO4) nanocomposite. AIP Adv. 2018, 8, 055919. [CrossRef]
- Kalanda, N.; Yarmolich, M.; Teichert, S.; Bohmann, A.; Petrov, A.; Moog, D.; Mathur, S. Charge transfer mechanisms in strontium ferromolybdate with tunneling barriers. J. Mater. Sci. 2018, 53, 8347–8354. [CrossRef]
- Sheng, P.; B. Abeles B.; Arie, Y. Hopping conductivity in granular metals, Phys. Rev. Lett. 1973, 31(1), 44-47. [CrossRef]
- Abeles, B.; Sheng P.; Coutts M.D.; Arie Y. Structural and electrical properties of granular metal films, Adv. Phys., 1975, 24(3), 407-461. [CrossRef]
- Vidya, S.; John, A.; Solomon S.; Thomas J.K., Optical and dielectric properties of SrMoO4 powders prepared by the combustion synthesis method, Adv. Mater. Res. 2012, 1(3), 191-204. [CrossRef]
- Wang, K.; Sui, Y. Influence of the modulating interfacial state on Sr2FeMoO6 powder magnetoresistance properties. Solid State Commun. 2004, 129, 135-138. [CrossRef]
- Alvarado-Flores, J.J.; Mondragón-Sánchez, R.; Ávalos-Rodríguez, M.L.; Alcaraz-Vera, J.V.; Rutiaga-Quiñones, J.G.; Guevara-Martínez, S. J. Synthesis, characterization and kinetic study of the Sr2FeMoO6- double perovskite: New findings on the calcination of one of its precursors. Int. J. Hydrogen Energy 2021, 46(51), 26185-26196. [CrossRef]
- Helman, J. S.; Abeles B. Tunneling of spin-polarized electrons and magnetoresistance in granular Ni films. Phys. Rev. Lett. 1976, 37(21), 1429-1432. [CrossRef]
- Mitani, S.; Takahashi, S.; Takanashi, K.; Yakushiji, K.; Maekawa, S.; Fujimori, H. Enhanced magnetoresistance in insulating granular systems: Evidence for higher-order tunneling, Phys. Rev. Lett. 1998, 81(13), 2799-2802. [CrossRef]
- Fisher, B.; Genossar, J.; Chashka, K.B.; Patlagan L.; Reisner, G.M. Intergrain tunnelling in the half-metallic double-perovskites Sr2BB'O6 (BB'= FeMo, FeRe, CrMo, CrW, CrRe). EPJ Web of Conferences, 2014, 75, 01001. [CrossRef]
- Xu, Y.; Ephron, D.; Beasley, M.R. Directed inelastic hopping of electrons through metal-insulator-metal tunnel junctions. Phys. Rev. B - Condens. Matter Mater. 1995, 52(4), 2843-2859. [CrossRef]
- Inoue J.; Maekawa, S. Theory of tunneling magnetoresistance in granular magnetic films, Phys. Rev. B - Condens. Matter Mater. 1996, 53(18), R11927-R11929. [CrossRef]
- Serrate, D.; De Teresa, J.M.; Algarabel, P.A.; Ibarra, M.R.; Galibert, J. Intergrain magnetoresistance up to 50 T in the half-metallic (Ba0.8Sr0.2)2FeMoO6 double perovskite: Spin-glass behavior of the grain boundary, Phys. Rev. B - Condens. Matter Mater. 2005, 71, 104409. [CrossRef]
- Artiukh E.; Suchaneck, G. Intergranular magnetoresistance of strontium ferromolybdate ceramics caused by spin-polarized tunneling. Open Ceram. 2021, 7, 100171 (5pp). [CrossRef]
- Kobayashi, K.I.; Kimura, T.; Sawada, H.; Terakura, K.; Tokura, Y. Room-temperature magnetoresistance in an oxide material with an ordered double-perovskite structure, Nature 1998, 395 (1998), 677–680. [CrossRef]
- Brown, W.F Theory of the approach to magnetic saturation, Phys. Rev. 1940, 58(8), 736–743. [CrossRef]
- Brown, W.F., Micromagnetics, 1st ed.; Interscience Publ., New York, USA, 1963;.
- Zhang, H., Zeng, D., Liu, Z. The law of approach to saturation in ferromagnets originating from the magnetocrystalline anisotropy. J. Magn. Magn. Mater. 2010, 322, 2375–2380. [CrossRef]
- Yoon, D.H., Muksin, Raju, K. Controlling the magnetic properties of nickel ferrites by doping with different divalent transition metal (Co, Cu, and Zn) cations. J. Supercond. Nov. Magn. 2016, 29, 439–445. [CrossRef]
- Cullity, B.D.; Graham, C.D. Introduction to magnetic materials, 2nd ed.; Wiley: Hoboken (NJ), USA, 2009.
- Navarro, J.; Nogués, J.; Muñoz, J.S.; Fontcuberta, J. Antisites and electron-doping effects on the magnetic transition of Sr2FeMoO6, Phys. Rev. B - Condens. Matter Mater. 2003, 67, 174416 (6pp). [CrossRef]
- Navarro, J.; Balcells, Ll.; Sandiumenge, F,; Bibes, M,; Roig, A,; Martínez, B,; Fontcuberta, J Antisite defects and magnetoresistance in Sr2FeMoO6 double perovskite, J. Phys.: Condens. Matter 2001, 13(37), 8481-8488. [CrossRef]
- Matin M.A.; Hossain, M.N.; Hakim M.A.; Islam M.F. Effects of Gd and Cr co-doping on structural and magnetic properties of BiFeO3 nanoparticles. Mater. Res. Express 2019, 6, 055038 (10 pp). [CrossRef]
- Brown, W.F. The effect of dislocations on magnetization near saturation. Phys. Rev. 1941, 60, 139-147. [CrossRef]
- Neél, L. La loi d'approche en a: H et une nouvelle théorie de la dureté magnétique. J. Phys. Radium 1948, 9(5), 184-192 DOI: ff10.1051/jphysrad:0194800905018400.
- Grady, D.E. Origin of the linear term in the expression for the approach to saturation in ferromagnetic materials. Phys. Rev. B - Condens. Matter Mater. 1971, 4(11), 3982-3989. [CrossRef]
- Suchaneck, G.; Kalanda, N.; Yarmolich, M.; Artiukh, E.; Gerlach, G., Sobolev, N.A. Magnetization of magnetically inhomogeneous Sr2FeMoO6-δ nanoparticles. Electron. Mater. 2022, 3(1), 82-92. [CrossRef]
- Kalanda, N.; Yarmolich, M.; Burko, A.; Temirov, A.; Kislyuk, A.; Demyanov, S.; Lenz, K.; Lindner, J.; Kim, D.-H. Superparamagnetism and ferrimagnetism in the Sr2FeMoO6–δ nanoscale powder, Ceram. Int., 2022, 48(16), 23931-23937. [CrossRef]
- Akulov, N.S. Über den Verlauf der Magnetisierungskurve in starken Feldern. Z. Physik 1931, 69, 822–831. [CrossRef]
- Nosach, T.; Mullady, G.; Leifer, N.; Adyam, V.; Li, Q.; Greenbaum, S.; Ren, Y. Angular dependence of spin-wave resonance and relaxation in half-metallic Sr2FeMoO6 films. J. Appl. Phys. 2008, 103, 07E311. [CrossRef]
- Suchaneck, G.; Artiukh, E. Magnetoresistance of Antiphase Boundaries in Sr2FeMoO6-δ, Phys. Status Solidi B 2022, 259(8), 2100353. [CrossRef]
- Becker, R.; Polley, H. Der Einfluß innerer Spannungen auf das Einmüdungsgesetz bei Nickel. Ann. Physik 1940, 429(7), 534-540. [CrossRef]
- Bozorth, R.M.; Tilden, E.F.; Williams, A.J. Anisotropy and magnetostriction of some ferrites, Phys. Rev. 1955, 99(6), 1788-1798. [CrossRef]
- Alam M., Kalyan M., Khan G.G., Origin and tuning of room temperature ferromagnetism and ferroelectricity in double perovskite Y2NiMnO6 nanostructured thin films, J. Alloys Comp. 2020, 822, 153540. [CrossRef]
- Vergne, R. L'approche à la saturation de l'aimantation des corps ferromagnétiques polycristallins de structure cubique, Phys. Status Solidi 1966, 14(1), 143-147. [CrossRef]
- Grössinger, R. A Critical Examination of the Law of Approach to Saturation, I. Fit Procedure, Physica Status Solidi (a) 1981, 66(2), 665-674. [CrossRef]
- Evans, R.F.L.; Atxitia, U.; Chantrell, R.W. Quantitative simulation of temperature-dependent magnetization dynamics and equilibrium properties of elemental ferromagnets. Phys. Rev. B - Condens. Matter Mater. 2015, 91, 144425 (7pp). [CrossRef]
- Bean C.P.; Livingston, J.D., Superparamagnetism. J. Appl. Phys. 1959, 30(4), 120S-129S. [CrossRef]
- Pierce, D.T.; Celotta, R.J.; Unguris, J.; Siegmann, H. C. Spin-dependent elastic scattering of electrons from a ferromagnetic glass, Ni40Fe40B20, Phys. Rev. B - Condens. Matter Mater. 1982, 26(5), 2566-2574. [CrossRef]
- MacDonald, A.H.; Jungwirth, T.; Kasner, M. Temperature dependence of itinerant electron junction magnetoresistance, Phys. Rev. Lett. 1998, 81(3), 705-708. [CrossRef]
- Bloch F. Zur Theorie des Ferromagnetismus. Z. Physik 1930; 61, 206–219. [CrossRef]
- Mauri, D.; Scholl, D.; Siegmann, H.C.; Kay, E. Observation of the exchange interaction at the surface of a ferromagnet. Phys. Rev. Lett. 1988, 61(6), 758-761, DOI: PhysRevLett.61.758.
- Shang, C.H.; Nowak, J.; Jansen, R.; Moodera, J.S. Temperature dependence of magnetoresistance and surface magnetization in ferromagnetic tunnel junctions. Phys. Rev. B - Condens. Matter Mater. 1998, 58, R2917–R2920. [CrossRef]
- Garcia, V.; Bibes, M.; Barthélémy, A.; Bowen, M.; Jacquet, E.; Contour, J.-P.; Fert, A. Temperature dependence of the interfacial spin polarization of La2/3Sr1/3MnO3. Phys. Rev. B - Condens. Matter Mater. 2004, 69, 052403 (4pp). [CrossRef]
- Balcells, LI.; Navarro, J.; Bibes, M.; Roig, A.; Martínez, B.; Fontcuberta, J. Cationic ordering control of magnetization in Sr2FeMoO6 double perovskite, Appl. Phys. Lett. 2001, 78(6), 781-783. [CrossRef]
- Suchaneck, G. Tunnel Spin-Polarization of ferromagnetic metals and ferrimagnetic oxides and its effect on tunnel magnetoresistance. Electron. Mater. 2022, 3(3), 227-234. [CrossRef]
- Tedrow, P.M.; Meservey, R. Spin polarization of electrons tunneling from films of Fe, Co, Ni, and Gd. Phys. Rev. B - Condens. Matter Mater 1973, 7(1), 318–326. [CrossRef]
- Ferromagnetic Curie Temperatures. URL: http://hyperphysics.phy-astr.gsu.edu/hbase/Tables/Curie.html (accessed November12, 2023).
- Paul A.A. Estimation of Magnetic Anisotropy in Ferromagnetic Elements and Their Alloy Powders by the Law of Approach to Saturation (LAS), Msc thesis, Department of Mechanical Engineering in the University of Michigan-Dearborn, 2020, p.26. [CrossRef]
- Wang, J.-F.; Li, Z.; Xu, X.-J.; Gu, Z.-B.; Yuan, G.-L.; Zhang, S.-T. The competitive and combining effects of grain boundary and Fe/Mo antisite defects on the low-field magnetoresistance in Sr2FeMoO6. J. Am. Ceram. Soc., 2014, 97(4), 1137-1142. [CrossRef]




| K1, J m-3 | Ref. | b2MA, T2 |
|---|---|---|
| 5×103 | [37] | 8.468×10-5 |
| 1.99×104 | [38] | 1.341×10-3 |
| 1.99×104 | [38] | 2.921×10-3 1) |
| 2.74×104 | [40] | 2.543×10-3 |
| 1.7×105 | [41] | 9.789×10-2 |
| Compound | p | β |
|---|---|---|
| Fe | 2.876 | 0.339 |
| Co | 2.369 | 0.34 |
| Compound | P0 | Ref. | TC, K | Ref | ai | Ref. | bi/2, Ti/2 | Ref. |
|---|---|---|---|---|---|---|---|---|
| SFMO | 0.721) | [24] | 420 | [25] |
a1 = 1.89 a2 = -1.97 a3 = 2.2 a4 = -1.14 |
[24] |
b1/2 = 0 b1 = 0.085 b2 = 0.115 b3 = 0.118 |
[24] |
| Co | 0.34 | [57] | 1388 | [58] | eq. (19) | [47] | b2 = 0.042 | [46] |
| Fe | 0.44 | [57] | 1043 | [58] | eq. (19) | [47] | b2 = 0.050 | [59] |
Disclaimer/Publisher’s Note: The statements, opinions and data contained in all publications are solely those of the individual author(s) and contributor(s) and not of MDPI and/or the editor(s). MDPI and/or the editor(s) disclaim responsibility for any injury to people or property resulting from any ideas, methods, instructions or products referred to in the content. |
© 2023 by the authors. Licensee MDPI, Basel, Switzerland. This article is an open access article distributed under the terms and conditions of the Creative Commons Attribution (CC BY) license (http://creativecommons.org/licenses/by/4.0/).
