Submitted:
07 November 2023
Posted:
08 November 2023
You are already at the latest version
Abstract
Keywords:
1. Introduction
2. Materials and Methods
2.1. Experimental diets
2.2. Growth trial
2.3. Apparent digestibility measurements
2.4. Analytical methods
2.4.1. Nutritional characterization
2.4.2. Microbiome
- DNA extraction
- High-throughput sequencing
- Bioinformatics
2.4.3. Histology
2.5. Zootechnical performance evaluation criteria
2.6. Statistical analysis
3. Results
3.1. Zootechnical performance
3.2. Histology
3.3. Microbiome
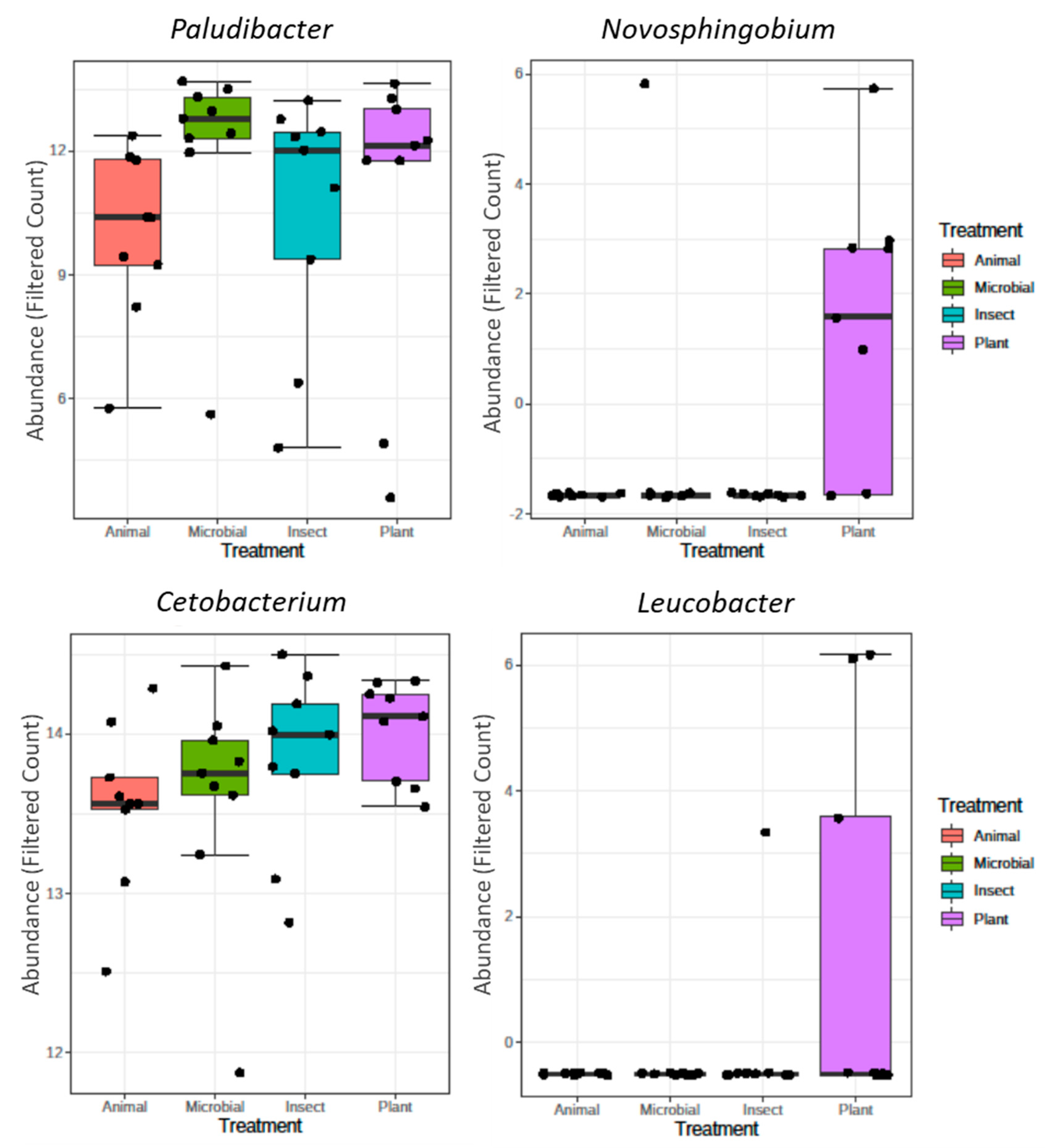
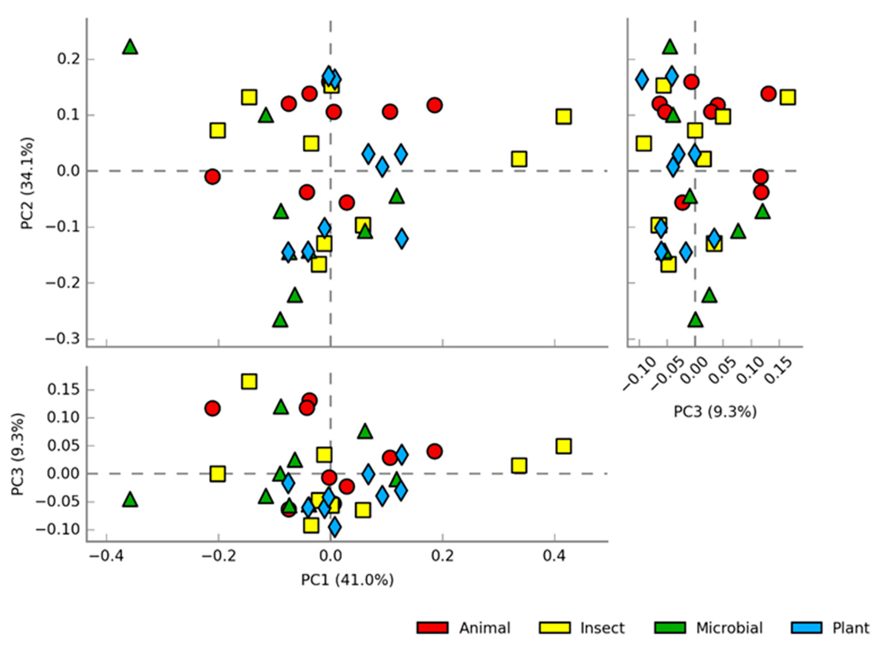
3.3.1. Descriptive microbiome results
3.3.2. Prediction analysis and correlations
4. Discussion
5. Conclusions
Supplementary Materials
Author Contributions
Funding
Institutional Review Board Statement
Data Availability Statement
Acknowledgments
Conflicts of Interest
Appendix A
References
- Lin, R.; Liu, W.; Piao, M.; et al. A review of the relationship between the gut microbiota and amino acid metabolism. Amino Acids 2017, 49, 2083–2090. [Google Scholar] [CrossRef]
- Yang, Z.; Liao, S. Physiological Effects of Dietary Amino Acids on Gut Health and Functions of Swine. Front. Vet. Sci 2019, 6, 2297–1769. [Google Scholar] [CrossRef]
- Zhao, J.; Zhang, X.; Liu, H.; Brown; M. A.; Qiao S. Dietary Protein and Gut Microbiota Composition and Function. Curr. Protein Pept. Sci. 2019, 20, 145–154. [Google Scholar] [CrossRef] [PubMed]
- Dawood, M. A, Nutritional immunity of fish intestines: important insights for sustainable aquaculture. Rev. Aquacult. 2021, 13, 642–663. [Google Scholar] [CrossRef]
- Beaumont, M.; Blachier, F. Amino Acids in Intestinal Physiology and Health. In Amino Acids in Nutrition and Health. Advances in Experimental Medicine and Biology. Wu, G., Eds.; Publisher: Springer, Cham., Switzerland, 2020; Volume 1265. [Google Scholar] [CrossRef]
- Food and Agriculture Organization of the United Nations (FAO). Top 10 species groups in global aquaculture 2017. Available online: https://www.fao.org/3/ca5224en/ca5224en.pdf (accessed on 15/11/2022).
- Tippayadara, N.; Dawood, M.A.O.; Krutmuang, P.; Hoseinifar, S.H.; Doan, H.V.; Paolucci, M. Replacement of Fish Meal by Black Soldier Fly (Hermetia illucens) Larvae Meal: Effects on Growth, Haematology, and Skin Mucus Immunity of Nile Tilapia, Oreochromis niloticus. Animals 2021, 11, 193. [Google Scholar] [CrossRef]
- Silva, D.M.; Valente, L.M.P.; Sousa-Pinto, I.; et al. Evaluation of IMTA-produced seaweeds (Gracilaria, Porphyra, and Ulva) as dietary ingredients in Nile tilapia, Oreochromis niloticus L., juveniles. Effects on growth performance and gut histology. J Appl Phycol 2015, 27, 1671–1680. [CrossRef]
- Sarker, P.K.; Kapuscinski, A.R.; McKuin, B.; et al. Microalgae-blend tilapia feed eliminates fishmeal and fish oil, improves growth, and is cost viable. Sci Rep 2020, 10, 19328. [Google Scholar] [CrossRef]
- Yossa, R.; Greiling, A. M.; Basiita, R. K.; Sakala, M. E.; Baumgartner, W. A.; Taylor, A.; Gatlin, D. M. Replacing fishmeal with a single cell protein feedstuff in Nile tilapia Oreochromis niloticus diets. Anim. Feed Sci. and Technol 2021, 281, 115089. [Google Scholar] [CrossRef]
- Chama, M. K. H.; Liang, H.; Huang, D.; Ge, X.; Ren, M.; Zhang, L.; Wu, L.; Ke, J. Methanotroph (Methylococcus capsulatus, Bath) as an alternative protein source for genetically improved farmed tilapia (GIFT: Oreochromis niloticus) and its effect on antioxidants and immune response. Aquac. Reports 2021, 21, 100871. [Google Scholar] [CrossRef]
- Sathishkumar, G. , Felix, N., & Elangovan, P. Effects of dietary protein substitution of fish meal with bioprocessed poultry by-product meal on growth performances, nutrient utilization, whole-body composition and haemato-biochemical responses of GIFT tilapia reared in floating cages. Aquac. Research 2021, 52, 5407–5418. [Google Scholar] [CrossRef]
- Pereira, G. V.; da Cunha, D. G.; Pedreira Mouriño, J. L.; Rodiles, A.; Jaramillo-Torres, A.; Merrifield, D. L. Characterization of microbiota in Arapaima gigas intestine and isolation of potential probiotic bacteria. J. of Appl. Microbiol 2017, 123, 1298–1311. [CrossRef]
- Illumina. 16S Metagenomic Sequencing Library Preparation. Preparing 16S Ribosomal RNA Gene Amplicons for the Illumina MiSeq System. 2013. Available online: https://emea.illumina.com/content/dam/illumina-support/documents/documentation/chemistry_documentation/16s/16s-metagenomic-library-prep-guide-15044223-b.pdf.
- Comeau, A.M.; Douglas, G.M.; Langille, M.G. Microbiome Helper: a Custom and Streamlined Workflow for Microbiome Research. mSystems 2017, 2, e00127–16. [Google Scholar] [CrossRef]
- Bolyen, E.; Rideout, J. R.; Dillon, M. R.; Bokulich, N. A.; Abnet, C. C.; Al-Ghalith, G. A.; Alexander, H.; Alm, E. J.; Arumugam, M.; Asnicar, F.; Bai, Y.; Bisanz, J. E.; Bittinger, K.; Brejnrod, A.; Brislawn, C. J.; Brown, C. T.; Callahan, B. J.; Caraballo-Rodríguez, A. M.; Chase, J.; Cope, E. K.; … Caporaso, J. G. Reproducible, interactive, scalable and extensible microbiome data science using QIIME 2. Nature biotech. 2019, 37, 852–857. [Google Scholar] [CrossRef] [PubMed]
- Callahan, B.; McMurdie, P.; Rosen, M.; et al. DADA2: High-resolution sample inference from Illumina amplicon data. Nat Methods 2016, 13, 581–583. [Google Scholar] [CrossRef] [PubMed]
- Katoh, K.; Misawa, K.; Kuma, K.; Miyata, T. MAFFT: a novel method for rapid multiple sequence alignment based on fast Fourier transform. Nucleic acids res 2002, 30, 3059–3066. [Google Scholar] [CrossRef] [PubMed]
- Price, M.N.; Dehal, P.S.; Arkin, A.P. FastTree 2 – Approximately Maximum-Likelihood Trees for Large Alignments. PLoS ONE 2010, 5, e9490. [Google Scholar] [CrossRef]
- Bokulich, N.A.; Kaehler, B.D.; Rideout, J.R.; et al. Optimizing taxonomic classification of marker-gene amplicon sequences with QIIME 2’s q2-feature-classifier plugin. Microbiome 2018, 6, 90. [Google Scholar] [CrossRef] [PubMed]
- McDonald, D.; Price, M.; Goodrich, J.; et al. An improved Greengenes taxonomy with explicit ranks for ecological and evolutionary analyses of bacteria and archaea. ISME J 2012, 6, 610–618. [Google Scholar] [CrossRef]
- Anderson, M.J.; Walsh, D.C.I. PERMANOVA, ANOSIM, and the Mantel test in the face of heterogeneous dispersions: What null hypothesis are you testing? Ecol. Monogr., 2013, 83, 557-574. [CrossRef]
- Anderson, M.J. Permutational Multivariate Analysis of Variance (PERMANOVA). In Wiley StatsRef: Statistics Reference Online, ed.; Balakrishnan, N., Colton, T., Everitt, B., Piegorsch, W., Ruggeri F., Teugels J.L., 2017. [CrossRef]
- Love, M.I.; Huber, W.; Anders, S. Moderated estimation of fold change and dispersion for RNA-seq data with DESeq2. Genome Biol 2014, 15, 550. [Google Scholar] [CrossRef]
- Douglas, G.M. , Maffei, V.J., Zaneveld, J.R. et al. PICRUSt2 for prediction of metagenome functions. Nat Biotechnol 2020, 38, 685–688. [Google Scholar] [CrossRef]
- Caspi, R.; Billington, R.; Keseler, I. M.; Kothari, A.; Krummenacker, M.; Midford, P. E.; Ong, W. K.; Paley, S.; Subhraveti, P.; Karp, P. D. The MetaCyc database of metabolic pathways and enzymes - a 2019 update. Nucl. acids res 2020, 48, 445–453. [Google Scholar] [CrossRef]
- Parks, D. H.; Tyson, G. W.; Hugenholtz, P.; Beiko, R. G. STAMP: statistical analysis of taxonomic and functional profiles. Bioinfo 2014, 30, 3123–3124. [Google Scholar] [CrossRef]
- Green, J.W.; Springer, T.A.; Saulnier, A.N.; Swintek, J. Statistical analysis of histopathological endpoints. Environ Toxicol Chem, 2014, (33), 1108-1116. 1108. [Google Scholar] [CrossRef]
- R version 4.1.0; R Core Team, 2021.
- Montoya-Camacho, N.; Marquez-Ríos, E.; Castillo-Yáñez, F.J.; Cárdenas López, J.L.; López-Elías, J.A.; Ruíz-Cruz, S.; Jiménez-Ruíz, E.I.; Rivas-Vega, M.E.; Ocaño-Higuera, V.M. Advances in the Use of Alternative Protein Sources for Tilapia Feeding. Rev Aquac 2019, 11, 515–526. [Google Scholar] [CrossRef]
- Bartlett, A.; Kleiner, M. Dietary Protein and the Intestinal Microbiota: An Understudied Relationship. iScience 2022, 25. [Google Scholar] [CrossRef]
- Chama, M.K.H.; Liang, H.; Huang, D.; Ge, X.; Ren, M.; Zhang, L.; Wu, L.; Ke, J. Methanotroph (Methylococcus Capsulatus, Bath) as an Alternative Protein Source for Genetically Improved Farmed Tilapia (GIFT: Oreochromis Niloticus) and Its Effect on Antioxidants and Immune Response. Aquac Rep 2021, 21, 100872. [Google Scholar] [CrossRef]
- Aragão, C.; Gonçalves, A.T.; Costas, B.; Azeredo, R.; Xavier, M.J.; Engrola, S. Alternative Proteins for Fish Diets: Implications beyond Growth. Animals 2022, 12, 1211. [Google Scholar] [CrossRef]
- Basto A, Marques A, Silva A, Sá T, Sousa V, Oliveira MBPP, et al. Nutritional, organoleptic and sensory quality of market-sized European sea bass (Dicentrarchus labrax) fed defatted Tenebrio molitor larvae meal as main protein source. Aquaculture [Internet]. 2023, 566, 739210. [CrossRef]
- Kishawy, A.T.Y.; Mohammed, H.A.; Zaglool, A.W.; Attia, M.S.; Hassan, F.A.M.; Roushdy, E.M.; Ismail, T.A.; Ibrahim, D. Partial Defatted Black Solider Larvae Meal as a Promising Strategy to Replace Fish Meal Protein in Diet for Nile Tilapia (Oreochromis Niloticus): Performance, Expression of Protein and Fat Transporters, and Cytokines Related Genes and Economic Efficiency. Aquaculture 2022, 555, 738195. [Google Scholar] [CrossRef]
- Ghanbari, M.; Kneifel, W.; Domig, K. J. A new view of the fish gut microbiome: Advances from next-generation sequencing. Aquaculture, 2015, 448, 464–475. [CrossRef]
- Naya-Català, F.; do Vale Pereira, G.; Piazzon, M. C.; Fernandes, A. M.; Calduch-Giner, J. A.; Sitjà-Bobadilla, A.; Conceição, L. E. C.; Pérez-Sánchez, J. Cross-Talk Between Intestinal Microbiota and Host Gene Expression in Gilthead Sea Bream (Sparus aurata) Juveniles: Insights in Fish Feeds for Increased Circularity and Resource Utilization. Front Physiol. 2021, 12, 748265. Available online: https://www.frontiersin.org/articles/10.3389/fphys.2021.748265. [CrossRef]
- Standen, B. T.; Rodiles, A.; Peggs, D. L.; Davies, S. J.; Santos, G. A.; Merrifield, D. L. Modulation of the intestinal microbiota and morphology of tilapia, Oreochromis niloticus, following the application of a multi-species probiotic. Appl microbiol biot, 2015, 99, 8403–8417. [CrossRef]
- Chen, J., Li, Q., Tan, C., Xie, L., Yang, X., Zhang, Q., & Deng, X. Effects of enrofloxacin’s exposure on the gut microbiota of Tilapia fish (Oreochromis niloticus). Comp biochem phys D, 2023, 46, 101077. [CrossRef]
- Xia, Y., Yu, E., Lu, M., & Xie, J. Effects of probiotic supplementation on gut microbiota as well as metabolite profiles within Nile tilapia, Oreochromis niloticus. Aquaculture, 2020, 527, 735428. [CrossRef]
- Adeoye, A. A.; Yomla, R.; Jaramillo-Torres, A.; Rodiles, A.; Merrifield, D. L.; Davies, S. J. Combined effects of exogenous enzymes and probiotic on Nile tilapia (Oreochromis niloticus) growth, intestinal morphology and microbiome. Aquaculture, 2016, 463, 61–70. [CrossRef]
- Shin, N.-R.; Whon, T. W.; Bae, J.-W. Proteobacteria: microbial signature of dysbiosis in gut microbiota. Trends biotechnol, 2015, 33, 496–503. [CrossRef]
- Kim, P. S.; Shin, N.-R.; Lee, J.-B.; Kim, M.-S.; Whon, T. W.; Hyun, D.-W.; Yun, J.-H.; Jung, M.-J.; Kim, J. Y.; Bae, J.-W. Host habitat is the major determinant of the gut microbiome of fish. Microbiome, 2021, 9, 166. 9. [CrossRef]
- Medina-Félix, D.; Garibay-Valdez, E.; Vargas-Albores, F.; Martínez-Porchas, M. Fish disease and intestinal microbiota: A close and indivisible relationship. Rev Aquac. 2023, 15 820-839. [CrossRef]
- de Cena, J. A.; Zhang, J.; Deng, D.; Damé-Teixeira, N.; Do, T. (2021). Low-Abundant Microorganisms: The Human Microbiome’s Dark Matter, a Scoping Review. Front cell infect mi, 11. [CrossRef]
- Han, G.; Luong, H.; Vaishnava, S. Low abundance members of the gut microbiome exhibit high immunogenicity. Gut Microbes, 2022, 14, 2104086. [CrossRef]
- Benjamino, J.; Lincoln, S.; Srivastava, R.; Graf, J. Low-abundant bacteria drive compositional changes in the gut microbiota after dietary alteration. Microbiome, 2018, 6, 86. [CrossRef]
- Han, G.; Luong, H.; Vaishnava, S. Low Abundance Members of the Gut Microbiome are Potent Drivers of Immune Cell Education. Research Square. 2021. [Google Scholar] [CrossRef]
- Mahmoud, M.A.A.; Magdy, M. Metabarcoding Profiling of Microbial Diversity Associated with Trout Fish Farming. Sci Rep 2021, 11, 421. [Google Scholar] [CrossRef] [PubMed]
- Xie, M.; Zhang, S.; Xu, L.; Wu, Z.; Yuan, J.; Chen, X. Comparison of the Intestinal Microbiota During the Different Growth Stages of Red Swamp Crayfish (Procambarus clarkii). Front Microbiol 2021, 12. [Google Scholar] [CrossRef] [PubMed]
- Tsuchiya, C.; Sakata, T.; Sugita, H. Novel ecological niche of Cetobacterium somerae, an anaerobic bacterium in the intestinal tracts of freshwater fish. Lett appl microbiol, 2008, 46, 43–48. [CrossRef]
- de Cena, J. A.; Zhang, J.; Deng, D.; Damé-Teixeira, N.; Do, T. (2021). Low-Abundant Microorganisms: The Human Microbiome’s Dark Matter, a Scoping Review. Front cell infect mi, 11. [CrossRef]
- Han, G.; Luong, H.; Vaishnava, S. Low abundance members of the gut microbiome exhibit high immunogenicity. Gut Microbes, 2022, 14, 2104086. [CrossRef]
- Sadsad Reese, A.T. , Pereira, F. C., Schintlmeister, A. et al. Microbial nitrogen limitation in the mammalian large intestine. Nat Microbiol 2018, 3, 1441–1450. [Google Scholar] [CrossRef]
- Benjamino, J.; Lincoln, S.; Srivastava, R.; Graf, J. Low-abundant bacteria drive compositional changes in the gut microbiota after dietary alteration. Microbiome, 2018, 6, 86. [CrossRef]
- Han, G.; Luong, H.; Vaishnava, S. Low Abundance Members of the Gut Microbiome are Potent Drivers of Immune Cell Education. Research Square. 2021. [Google Scholar] [CrossRef]
- Libao-Mercado, A.J., Zhu, C.L., Cant, J.P., Lapierre, H., Thibault, J.N., Sève, B., Fuller, M.F., de Lange, C.F. Dietary and endogenous amino acids are the main contributors to microbial protein in the upper gut of normally nourished pigs. J Nutr. 2009, 139, 1088–94. [CrossRef]
- Dai ZL, Zhang J, Wu G, Zhu WY. Utilization of amino acids by bacteria from the pig small intestine. Amino Acids. 2010, 39, 1201–15. [CrossRef]
- Dai ZL, Li XL, Xi PB, Zhang J, Wu G, Zhu WY. Metabolism of select amino acids in bacteria from the pig small intestine. Amino Acids. 2012, 42, 1597–608. [CrossRef]
- Pifer, R., Russell, R. M., Kumar, A., Curtis, M. M., Sperandio, V. Redox, amino acid, and fatty acid metabolism intersect with bacterial virulence in the gut. Proceedings of the National Academy of Sciences, 2018, 201813451. [CrossRef]
- Blachier, F., Andriamihaja, M. Effects of the L-tyrosine-derived bacterial metabolite p-cresol on colonic and peripheral cells. Amino Acids. 2022, 54, 325–338. 54. [CrossRef]
- Farris, N.W.; Hamidoghli, A.; Bae, J.; Won, S.; Choi, W.; Biró, J.; Lee, S.; Bai, S.C. Dietary Supplementation with γ-Aminobutyric Acid Improves Growth, Digestive Enzyme Activity, Non-Specific Immunity and Disease Resistance against Streptococcus iniae in Juvenile Olive Flounder, Paralichthys olivaceus. Animals 2022, 12, 248. [Google Scholar] [CrossRef] [PubMed]
- Andriamihaja, M.; Davila, A.M.; Eklou-Lawson, M.; Petit, N.; Delpal, S.; Allek, F.; Blais, A; Delteil, C.; Tomé, D.; Blachier, F. Colon luminal content and epithelial cell morphology are markedly modified in rats fed with a high-protein diet. Am J Physiol Gastrointest Liver Physiol. 2010, 299, G1030-7. [CrossRef]
- Villodre Tudela, C.; Boudry, C.; Stumpff, F.; Aschenbach, J.R.; Vahjen, W.; Zentek, J.; Pieper, R. Down-regulation of monocarboxylate transporter 1 (MCT1) gene expression in the colon of piglets is linked to bacterial protein fermentation and pro-inflammatory cytokine-mediated signalling. Br J Nutr. 2015, 113, 610–617. [Google Scholar] [CrossRef] [PubMed]
- Blachier, F.; Beaumont, M.; Kim, E. Cysteine-derived hydrogen sulfide and gut health: a matter of endogenous or bacterial origin. Curr Opin Clin Nutr Metab Care. 2019, 22, 68–75. [Google Scholar] [CrossRef] [PubMed]








| Ingredients, % | ANIMAL | PLANT | MICROBIAL | INSECT |
|---|---|---|---|---|
| Fishmeal 60 1 | 5.00 | |||
| Poultry meal 2 | 10.00 | |||
| Insect meal 3 | 13.00 | |||
| Microbial biomass (C. glutamicum) 4 | 6.50 | |||
| Microbial biomass (M. capsulatus) 5 | 6.50 | |||
| Corn gluten meal 6 | 10.00 | 15.00 | 10.00 | 10.00 |
| Soybean meal 48 7 | 15.00 | 30.75 | 15.00 | 15.00 |
| Rapeseed meal 8 | 15.00 | 15.00 | 15.00 | 15.00 |
| Wheat bran 9 | 10.00 | 10.00 | 10.00 | 10.00 |
| Rice bran 10 | 10.00 | 10.00 | 10.00 | 10.00 |
| Wheat meal 11 | 6.30 | 5.65 | 6.60 | |
| Corn meal 12 | 10.00 | 7.75 | 10.00 | 10.00 |
| Vitamin and mineral premix 13 | 1.00 | 1.00 | 1.00 | 1.00 |
| Antioxidant 14 | 0.30 | 0.30 | 0.30 | 0.30 |
| Monocalcium phosphate 15 | 1.10 | 2.60 | 2.40 | 2.50 |
| Guar gum 16 | 0.50 | 0.50 | 0.50 | 0.50 |
| L-Lysine 17 | 0.20 | 0.25 | 0.40 | 0.40 |
| L-Threonine 18 | 0.10 | |||
| DL-Methionine 19 | 0.10 | 0.15 | 0.25 | 0.20 |
| Chromium oxide 20 | 1.00 | 1.00 | 1.00 | 1.00 |
| Fish oil 21 | 1.00 | 1.40 | 1.40 | 1.40 |
| Soybean oil 22 | 3.50 | 4.30 | 4.10 | 3.00 |
| Proximate composition | ||||
| Moisture, % | 7.3 ± 0.0 | 6.5 ± 0.4 | 6.3 ± 0.0 | 6.3 ± 0.0 |
| Ash, % | 6.9 ± 0.0 | 6.6 ± 0.0 | 6.6 ± 0.0 | 6.9 ± 0.0 |
| Crude protein, % | 35.0 ± 0.1 | 34.8 ± 0.2 | 34.5 ± 0.1 | 35.1 ± 0.1 |
| Crude fat, % | 9.0 ± 0.1 | 9.1 ± 0.1 | 8.9 ± 0.2 | 8.9 ± 0.1 |
| Gross energy, MJ/kg | 18.7 ± 0.0 | 18.8 ± 0.0 | 18.8 ± 0.1 | 18.8 ± 0.1 |
| Chromium oxide, % | 0.9 ± 0.0 | 0.9 ± 0.0 | 1.0 ± 0.0 | 0.8 ± 0.0 |
| ANIMAL | PLANT | MICROBIAL | INSECT | P- value | |
|---|---|---|---|---|---|
| ADC Protein, % | 86.4 ± 0.9 | 85.2 ± 0.5 | 85.8 ± 1.4 | 84.5 ± 1.9 | 0.401 |
| ADC Lipid, % | 91.7 ± 1.9 | 90.3 ± 2.8 | 91.9 ± 1.0 | 93.3 ± 1.0 | 0.325 |
| ADC Energy, % | 75.9 ± 2.2 ab | 71.5 ± 0.4 a | 74.4 ± 1.0 ab | 78.5 ± 2.7 b | 0.034 |
| IBW (g) | 12.3 ± 0.3 | 12.0 ± 0.2 | 11.9 ± 0.2 | 12.4 ± 0.5 | |
| FBW (g) | 73.0 ± 1.3 b | 66.4 ± 0.9 a | 72.7 ± 2.9 b | 67.2 ±1.4 a | 0.003 |
| SGR (%/day) | 3.88 ± 0.07 b | 3.72 ± 0.07 a | 3.94 ± 0.09 b | 3.67 ± 0.06 a | 0.006 |
| FCR | 1.00 ± 0.03 a | 1.12 ± 0.07 b | 1.03 ± 0.04 ab | 1.13 ± 0.04 b | 0.026 |
| Intake (%BW/day) | 3.09 ± 0.08 | 3.39 ± 0.22 | 3.21 ± 0.10 | 3.37 ± 0.11 | 0.080 |
| PER | 2.86 ± 0.09 b | 2.56 ± 0.17 a | 2.82 ± 0.12 b | 2.53 ± 0.09 a | 0.018 |
| Retention | ANIMAL | PLANT | MICROBIAL | INSECT | P- value |
|---|---|---|---|---|---|
| Protein, % | 42.2 ± 0.4 a | 37.5 ± 2.5 ab | 41.3 ± 2.3 ab | 36.7 ± 3.0 a | 0.046 |
| Lipid, % | 85.5 ± 0.7 c | 76.9 ± 3.5 b | 77.4 ± 1.5 b | 69.2 ± 1.4 a | <0.001 |
| Energy, % | 36.6 ± 0.7 c | 30.2 ± 1.8 ab | 31.8 ± 0.8 b | 28.5 ± 1.4 a | <0.001 |
![]() |
| Diet | Diameter (mm) | Villi (mm) |
Mucus cells | |||
|---|---|---|---|---|---|---|
| Ratio S/M | Average height | Average width | % Neutral mucins | % Acid mucins | % Mixed mucin | |
| Animal | 4.03±2.06 | 0.27±0.03 | 0.17±0.06 | 8.38±10.38 | 76.98±18.5 | 14.65±12.14 |
| Microbial | 4.55±3.68 | 0.29±0.11 | 0.15±0.05 | 13.18±9.58 | 72.48±21.98 | 14.33±13.11 |
| Insect | 5.98±7.26 | 0.32±0.07 | 0.17±0.06 | 13.88±10.59 | 66.94±16.23 | 19.19±11.55 |
| Plant | 8.99±8.71 | 0.29±0.09 | 0.14±0.03 | 15.72±14.59 | 68.22±17.48 | 16.06±13.41 |
| Treatments | Shannon | faith_pd | observed features |
|---|---|---|---|
| Animal | 5.64±0.32 | 12.98±4.39 | 169.44±52.53 |
| Microbial | 5.35±0.82 | 11.63±8.77 | 149.44±88.20 |
| Insect | 5.31±0.87 | 15.51±10.08 | 155.88±94.32 |
| Plant | 5.38±0.42 | 13.55±4.38 | 177.22±55.62 |
Disclaimer/Publisher’s Note: The statements, opinions and data contained in all publications are solely those of the individual author(s) and contributor(s) and not of MDPI and/or the editor(s). MDPI and/or the editor(s) disclaim responsibility for any injury to people or property resulting from any ideas, methods, instructions or products referred to in the content. |
© 2023 by the authors. Licensee MDPI, Basel, Switzerland. This article is an open access article distributed under the terms and conditions of the Creative Commons Attribution (CC BY) license (http://creativecommons.org/licenses/by/4.0/).
