Preprint
Article

This version is not peer-reviewed.

SrTiO3: Thoroughly Investigated but Still Good for Surprises

A peer-reviewed article of this preprint also exists.

Submitted:

01 November 2023

Posted:

01 November 2023

You are already at the latest version

Abstract
For decades SrTiO3 is in the focus of research with seemingly never-ending new insights regarding its ground state properties, its application potentials, its surface and interface properties, the superconducting state, the twin boundaries and domain functionalities, etc. Here, we focus on the already well-investigated lattice dynamics of STO and show that four different temperature regimes can be identified which dominate the elastic properties, the thermal conductivity and the birefringence. These regimes are the low-temperature quantum fluctuation dominated one, followed by an intermediate regime, the region of the structural phase transition at ~105 K and its vicinity, and at high temperatures a regime characterized by precursor and saturation effects. They can all be elucidated by lattice dynamical aspects. The relevant temperature dependences of the soft modes are discussed and their relationship to lattice polarizability is emphasized.
Keywords: 
;  ;  

1. Introduction

SrTiO3 (STO), a cubic perovskite oxide, was synthesized in the early 50’th [1] and since then was intensively investigated. A breakthrough discovery was made by K. A. Müller in 1958 [2], when he unambiguously established the structural phase transition from cubic to tetragonal at around 105 K. Later he identified the tetragonal rotation angle of the oxygen octahedra as the order parameter [3]. Shortly after the discovery of the 105 K structural phase transition, Cochran predicted the occurrence of zone center transverse soft optic modes in perovskite oxides like SrTiO3 and BaTiO3 at the Γ-point [4]. Their existence was confirmed experimentally in the following years [5]. Related to the rotational instability in STO is a zone boundary transverse acoustic mode at the R-point which softens with decreasing temperature to become unstable at TS=105 K [6]. Below TS the mode folds back to the zone center and splits into three optic modes, two doubly degenerate and a single mode, the frequencies of which all follow the Curie Weiss law in temperature. We will show here that this point turns out to be important for the understanding of thermal conductivity TC and the birefringence Δn. Two important experiments were carried out already in the early years of research on STO, namely inelastic neutron scattering experiments where an anomalous acoustic mode dispersion was seen at small momenta q which was interpreted as originating from mode-mode coupling [7]. The other observation was that the dielectric permittivity did not peak at low temperatures but saturates to a plateau. This was interpreted as suppression of ferroelectricity by quantum fluctuations and was termed quantum paraelectricity [8].
While quantum paraelectricity attained enormous attention after its introduction, the acoustic phonon mode anomaly at small momentum was rarely addressed. It has, however, important consequences for the elastic properties and the origin of precursor phenomena as well as for dynamically driven elastically distorted domains appearing on specific length scales. We focus on this aspect by using results from theory obtained within the polarizability model and experiments from birefringence and elastic measurements. In addition, new measurements of the thermal conductivity to ultra-low temperatures are interpreted in terms of quantum effects and mode-mode coupling theory. Besides the importance of elastically distorted local regions newly obtained data from the formation of polar clusters are emphasized. Our results imply that polar and elastically distorted dynamical domains coexist at temperatures below the structural phase transition resulting from anharmonic mode-mode coupling [9]. A comparison with experimental data is made.

2. Theory

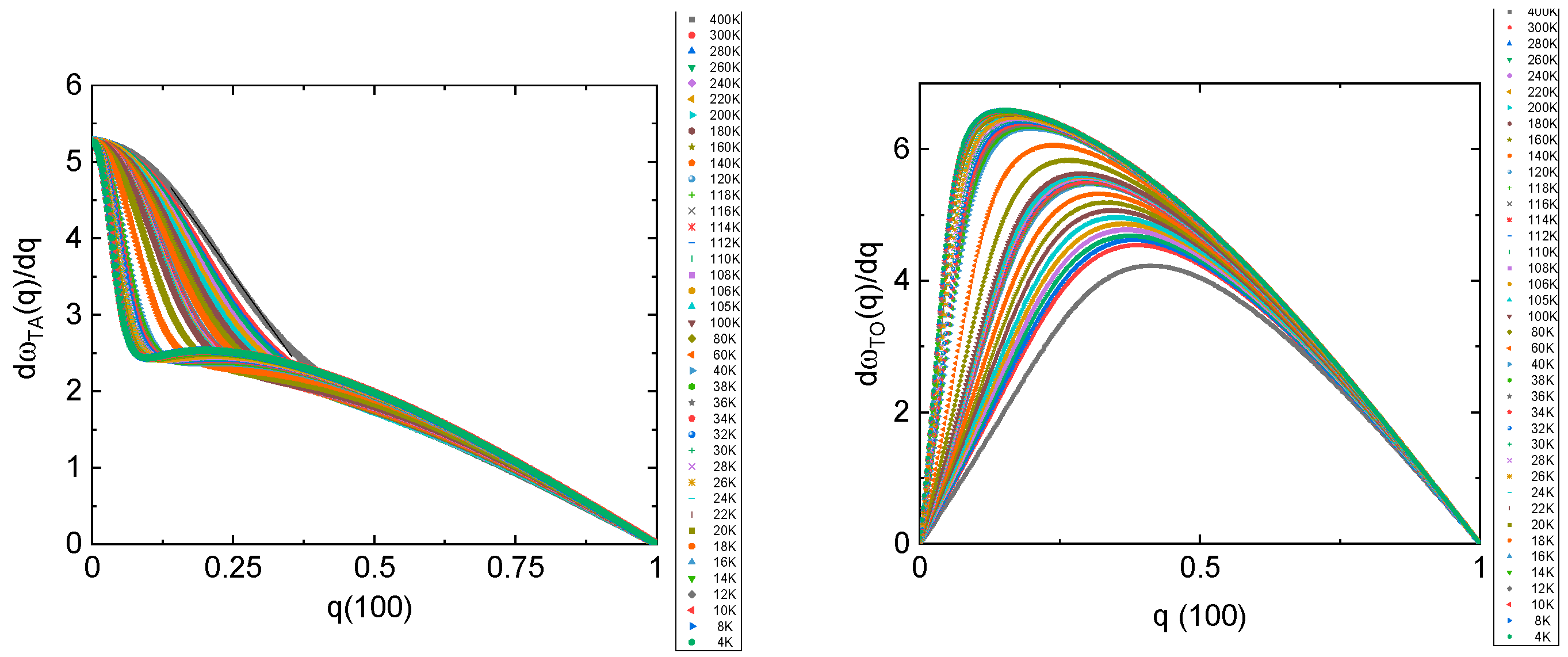
The dispersion relations for the lowest optic and acoustic modes ω T O q ,   ω T A q along (100) have been obtained within the polarizability model [10,11,12] as a function of temperature T and the momentum q. At high temperatures the optic and acoustic modes are well separated, and only negligible coupling or crossing occurs. Around and below the structural phase transition a tiny dip at small momentum q appears in the acoustic mode which becomes increasingly pronounced with decreasing temperature. Simultaneously the dip shifts to smaller momentum. A special feature, which has been rarely addressed so far, is the fact that ω T A q   softens at the zone boundary caused by optic-acoustic mode-mode coupling. This softening remains incomplete down to the lowest temperature of 4 K [13]. The anomalies at small momentum can be easily identified by taking the momentum derivatives of the two modes (Figure 1).
The q-dependent mode-mode coupling anomaly can be associated with the deviation from linearity which appears as the inversion point in d ω T A q d q and the maximum, i.e. the saddle point in d ω T O q d q . This choice is justified from the fact that the acoustic mode derivative smoothly decreases with q whereas the optic mode derivative exhibits no saddle point in the harmonic case. The corresponding momenta qc define the length scales of elastic and polar clusters which appear simultaneously at the same temperatures. Since the coupling stems from the off-diagonal matrix elements in the dynamical matrix, an analytic expression for both derivatives are rather difficult to obtain but they can be derived numerically (see Figure 1). Whereas elastic clusters appear on a rather large length scale as compared to polar clusters, both length scales start to diverge with decreasing temperature. A true divergence takes place in the elastically distorted areas whereas the polar clusters adopt a similar behavior as the dielectric permittivity, namely they saturate in the quantum fluctuation dominated region below ≈30 K. The calculated size of the elastically distorted areas is similar to those reported recently by inelastic neutron scattering, although by a factor of 2 smaller. This difference might be related to the too coarse q sampling in the calculations. Above TS precursor dynamics of the structural phase transition occurs as already reported previously for STO and several other perovskite oxides. If the linear regime for T > TS is subtracted from the data (inset to Figure 2), the precursors become more apparent as indicated by the shaded area in the inset to Figure 2. Experimentally, strong elastic precursor softening was observed at temperatures as high as ~125 K i.e. ~20 K above the actual transition point while analytical data fits show even higher precursor temperatures [14]. Similar conclusions were reached by birefringence measurements [15]. Theoretically, precursors have been predicted to be universal in perovskite oxides [16]. Evidence for polar nano-domain formation has been obtained by resonant piezoelectric spectroscopy [17], which has been interpreted in terms of ferroelastic twin walls which become polar at low temperatures.
The inset to Figure 2 also highlights what can be expected for the birefringence data and elastic effects, namely in a rather small temperature region below TS deviations from simple, one order parameter mean-field behavior should occur, whereas approaching the quantum fluctuation dominated regime, nonlinear elastic anomalies with the simultaneous appearance of polarization clusters are observed [18] which is consistent with the present results (Figure 2). It is important to emphasize that deviations from mean-field results have already been postulated by Müller and Berlinger [19] who argued that for temperatures very close to TS (t =( TST)/ TS > 0.9) the order parameter can be described by a critical exponent β≈0.33(2). Later, Salje et al. [20] showed that criticality occurs only in a very small interval near Ts while the temperature evolution of the excess entropy is fully compatible with a mean-field, near tricritical Landau potential. A weak singularity was seen for a maximum temperature interval of 2K. Below 103 K (0.981 TS) the order parameter follows a mean field behavior which is very well described by a 2-4-6 Landau behavior. Birefringence data by Geday and Glazer [21] concurred and did not find deviations from a mean field behavior
A closer look into the cluster formation below TS and especially in the quantum regime reveals that three novel regions in the cluster size can be identified (Figure 3) which can be related to the twin boundary formation below TS. For temperatures 60 K < T < TS a small but smooth increase in both cluster states takes place. Below 60 K and more pronounced below 40 K especially the elastic properties are strongly affected, and a rapid increase of the elastically deformed clusters takes place. The polar regions exhibit a similar but much less pronounced behavior. Below some 25 K to 20 K a steady state is reached characterized by scattering in the size and distribution around an average value of the polar elastic domains.
In the quantum paraelectric state a “quantum domain glass” at T < 40 K shows intense relaxation and temperature hysteresis of its nanostructure. This includes a high correlation between domains so that domains float collectively in a complex, smooth landscape with long relaxation times. In the “quantum domain solid” state below 25 K this correlation becomes very strong. Approaching zero Kelvin leads to a predominance of large coherently moving clusters [13].
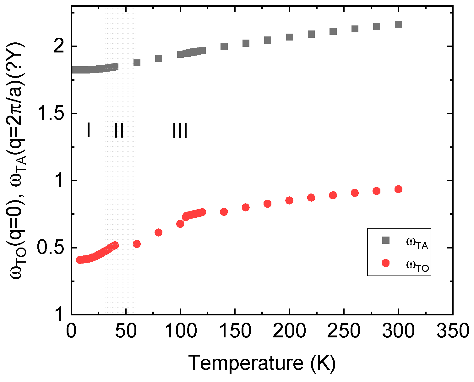
Motivated by recent inelastic neutron scattering data [22], the soft modes observed in STO have been reinvestigated. Special interest [22] was devoted to the transverse optic/acoustic mode-mode coupling region which followed to the quantum fluctuation dominated regime. The conclusions were that the ground state of STO is formed by a hybridized optical-acoustic phonon mode where quantum fluctuations are accompanied by fluctuating domains of mesoscopic length. In addition, the softening of the M and Γ point modes was followed over a large temperature range with the observation that their temperature dependence perfectly overlap on the whole temperature range when shifted by 9 meV. The origin of this observation has not been addressed yet. As is shown in Figure 4, this fact finds a natural explanation since both modes are dominated by the polarizability coordinate and consequently adopt analogous temperature behavior. In addition, also the soft acoustic zone boundary mode related to the TO Γ-point mode follows this temperature dependence, such that all three modes of STO overlap if shifted by a mode-specific energy. At very low energies the latter two modes saturate as a consequence of the onset of quantum fluctuations. A distinct difference between the three modes lies in their high temperature properties where deviations from mean-field behavior and saturation start near TS for the transverse optic mode. The R-point acoustic mode shows first deviations from mean field behavior below ca. 300K. This temperature evolution has been predicted in Refs. 9 – 11 and identified for the first time in the antimony-sulfo-iodide SbSI [23] and later also in STO [24].

3. Thermal Conductivity

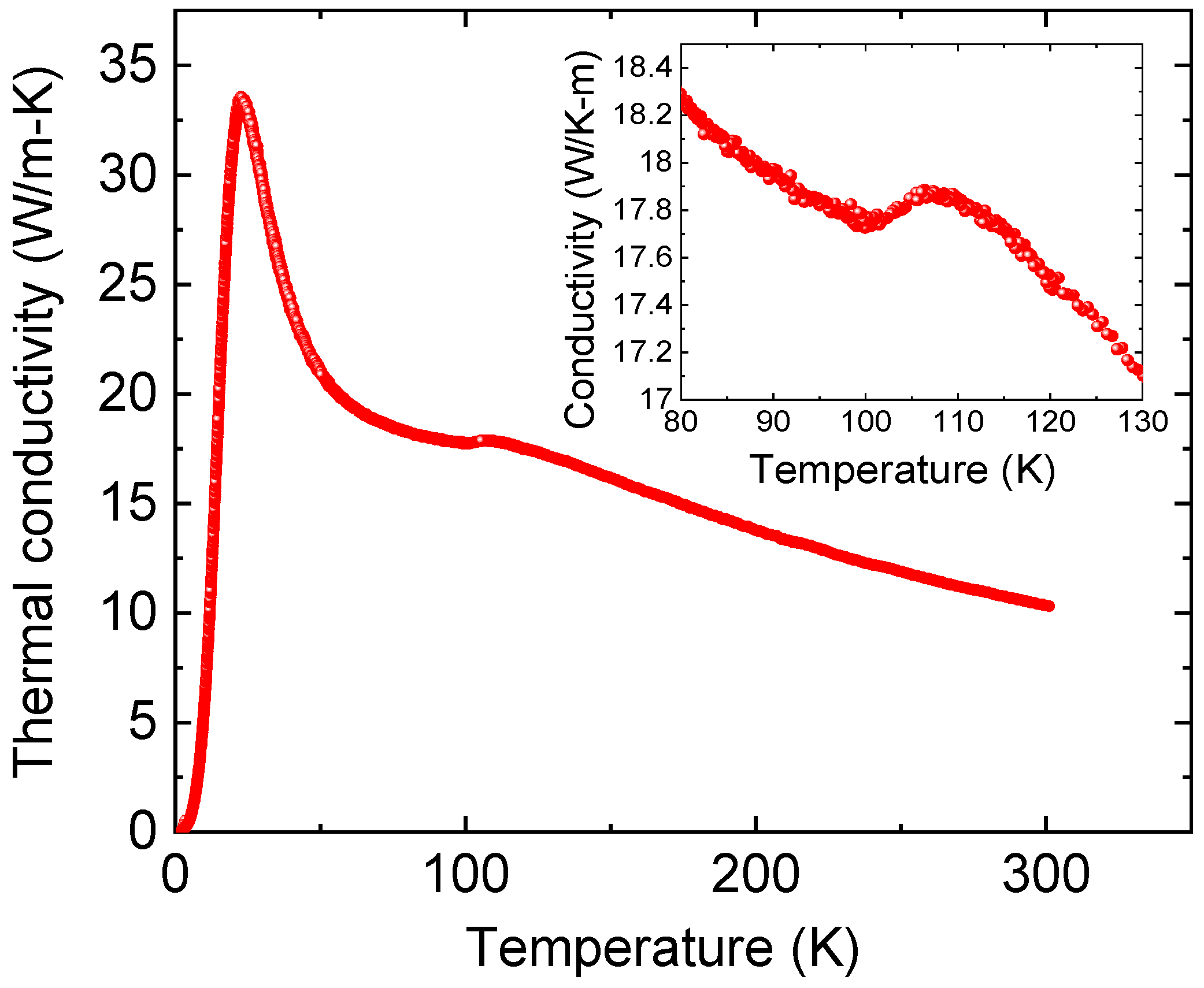
We now turn to the discussion of the thermal conductivity (TC). Experimentally the TC was measured with a conventional two-thermometer one heater arrangement using a commercial system (Quantum Design, PPMS) Our data (see Figure 5) which cover the temperature range from room temperature down to 2 K are similar to the results reported by Jaoui, et al. [25], Martelli, et al. [26] and Steigmeier [27]
The TC is a function of the specific heat cv, the phonon mean free path and the phonon group velocity. All paramters are specifically temperature dependent. The transverse optic soft mode and the related acoustic mode dominate TC at low temperatures since the crossing wave vector avoidance rule produces the dip in the acoustic mode dispersion and defines the mean-free path. The group velocities for these two modes are readily obtained from their dispersion where the one related to ω T A ( q ) is much larger than for the optic mode. Acoordingly, the contribution from the optic mode can be neglected for this discussion. A strong increase of TC [28,29,30] is seen near 40 K. Around TS a rather broad anomaly (see inset to Figure 5) in TC appears which signals the phase transition and possibly the nucleation of domain structures in the ferroelastic phase. In Figure 6 the frequencies of the TA and TO modes are plotted as function of temperature where the shaded regions labeled I, II, III denote the quantum domain solid, the quantum domain glass regime, and the region around the phase transition temperature where precursors and deviations from mean-field behavior are highlighted. Note, that above TS ≈ 105 K the calculated TC is in good agreement with the measured data [12]. For T > TS substantial corrections are needed which relate to the R-point acoustic soft mode.
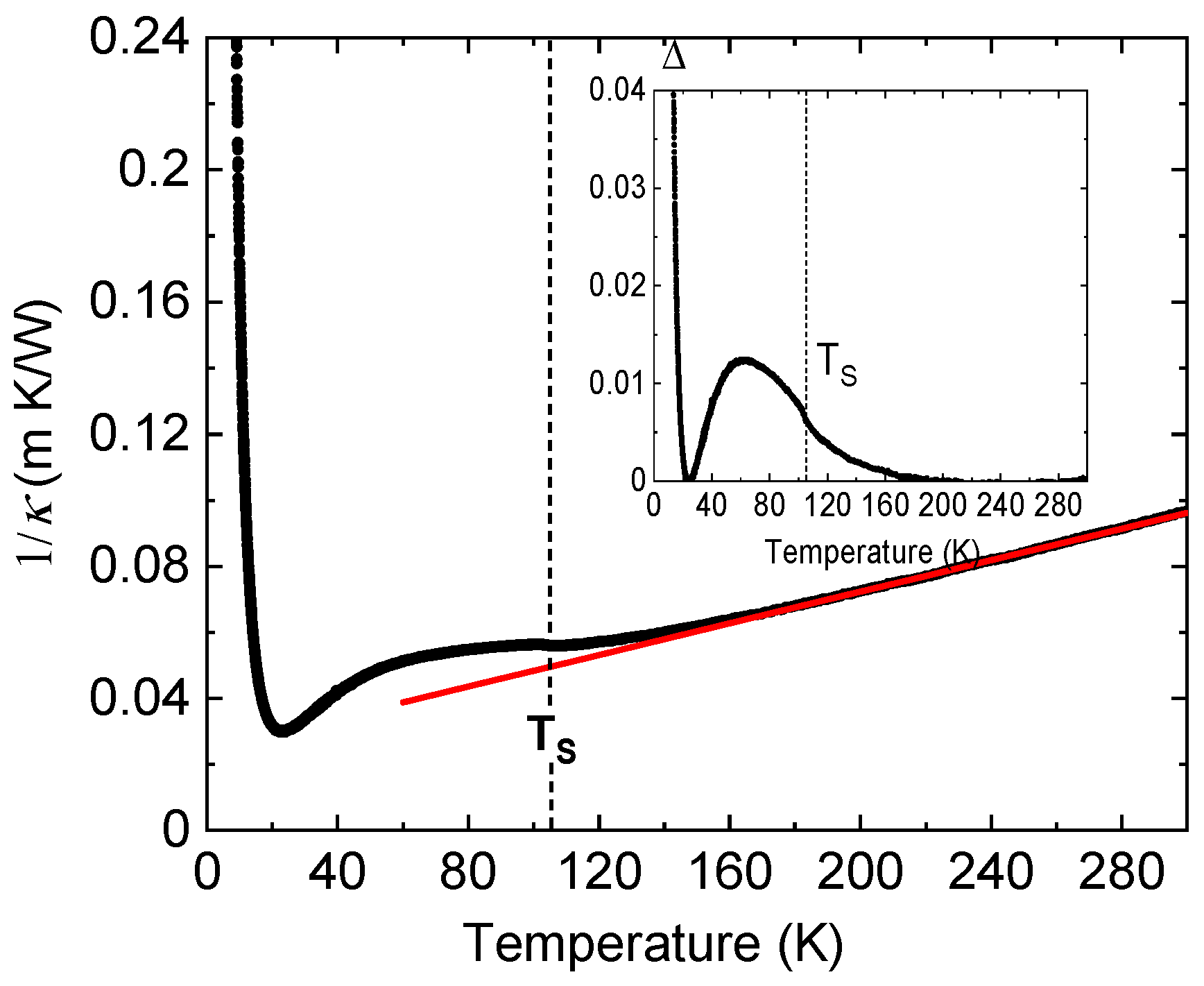
Above TS the R-point acoustic mode softens substantially and completely dominates the TC. This can be shown by replotting the inverse of TC (Figure 5) as a function of temperature (Figure 7). Above TS TC follows a Curie-Weiss law like the soft mode and shows deviations from it in the precursor region. Here the effect of other modes is apparently less relevant for the heat transport which is dominated by the acoustic R-point mode. Below TS this mode converts to optic modes and a more complex temperature evolution of TC is seen.
From these results we conclude that novel temperature scales have been observed which are needed to explain experimental observations Especially, we have shown that the quantum fluctuation dominated region has profound effects on TC followed by a crossover state where the lowest transverse optic and the related acoustic modes are the most important ingredients for the understanding of the dynamics and the TC. Above TS the zone boundary soft acoustic mode at the R-point gains importance and is the only relevant contributing to TC.

4. Birefringence

We now discuss birefringence measurements at low temperatures. These experiments have been performed analogously to the procedure reported in [20]. They are now analyzed in somewhat deeper detail and with emphasis on the critical regions discussed above. The results are displayed in Figure 8 for temperatures 80 K < T < 180 K. Below TS the data can be fitted linearly in accordance with simple Landau theory. Close to TS weak deviations are observable which cover a small interval around TS, small compared with results from measurements of the excess entropy and the structural order parameter Q [20]. Note that the birefringence data reveal small variations in TS with variable sample thickness.
Nominally, Δn should be zero above the phase transition temperature small but finite signals are observed at T >> TS defining a wide precursor regime. This behavior is analogous to elastic anomalies observed in [17]. The data above TS can be described in a related manner as the TC, namely as a function of t = (1 - T/TS) which is shown in Figure 8.
Figure 9. Double logarithmic plot of the birefringence Δn as function of the reduced temperature t. If it is assumed that below the continuous transition the critical exponent can be computed from the relationship Δn(T) ~ (TST) we find β to be almost 0.5 below 99 K.
Figure 9. Double logarithmic plot of the birefringence Δn as function of the reduced temperature t. If it is assumed that below the continuous transition the critical exponent can be computed from the relationship Δn(T) ~ (TST) we find β to be almost 0.5 below 99 K.
Preprints 89376 g009
An inversion point in the several data around identical temperatures. TC in Figure 7 follows a linear increase at higher temperatures which can be fitted by a Curie-Weiss law with a critical exponent β≈0.498, which is very close to the expected mean-field behavior. The question arises as to why the birefringence should exhibit the same temperature dependence as the zone boundary transverse acoustic mode? Whereas the TC dependence can be well explained by being dominated by this mode, this is not necessarily true for Δn. Here the softening of ω T A   2 ( q = 2 π a ) might lead to elastically distorted regions which adopt lower symmetry than the bulk and correspondingly allow for the observed weak birefringence. On the other hand, defects might also be a possible source of symmetry lowering, at present it is yet not clear which effect dominates.

5. Conclusions

In summary, by considering the lattice dynamics we have identified new temperature regimes. These can be classified as the quantum regime where quantum domain glass properties dominate, and the soft mode displacement coordinate is much smaller than the quantum fluctuations [32]. With increasing temperature mode-mode coupling dominates, accompanied by the formation of polar and elastic cluster formation to give place to mean-field behavior at higher temperatures. The region very close to TS is surprisingly close to the mean field behavior. Just above TS the precursor effects appear which reflect the fact that fluctuations in the order parameter precede the transition. At higher temperatures it appears that ω T A   2 ( q = 2 π a ) influences static as well as dynamic properties and is responsible for the thermal conductivity as only source. Interestingly, the soft zone boundary mode exhibits the same temperature dependence as the soft optic mode and its related acoustic mode, demonstrating that all modes are driven by the polarizability coordinate stemming from strong anharmonicity. The above conclusions are supported by new measurements of the thermal conductivity and complemented by novel birefringence data.

Author Contributions

A. B.-H. has developed the theoretical background; R. K. K. has carried out the thermal conductivity measurements; K. R. has measured the birefringence; E. K. H. S. has contributed through discussions and writing of the paper.

Conflicts of Interest

“The authors declare no conflict of interest”.

References

  1. Hulm, J. K. The dielectric properties of some alkaline earth titanates at low temperatures. Proc. Phys. Soc. London Ser. A 1950, 63, 1184–1185. [Google Scholar] [CrossRef]
  2. Müller, K.A. Doctoral Thesis, ETH Zürich, Prom. 1958, Nr. 2791;Müller, K.A. Paramagnetische Resonanz von Fe3+ in SrTiO3 Einkristallen. Helv. Phys. Acta 1958, 31, 173–433. [Google Scholar]
  3. Müller, K.A.; Berlinger, W.; Waldner, F. Characteristic Structural Phase Transitions in Perovskite-Type Compounds. Phys. Rev. Lett. 1968, 21, 814–817. [Google Scholar] [CrossRef]
  4. Cochran W, Crystal Stability and the Theory of Ferroelectricity. Phys. Rev. Lett. 1959, 3, 412–417. [CrossRef]
  5. Shirane G.; Yamada Y., Lattice-Dynamical Study of the 110°K Phase Transition in SrTiO3. Phys. Rev. 1969, 177, 858-862.; Yamada Y.; Shirane G. Neutron Scattering and Nature of the Soft Optical Phonon in SrTiO3. J. Phys. Soc. Jpn. 1969, 26, 396-403.
  6. Fleury, P.; Scott, J.; Worlock, J.M. Electric-Field-Induced Raman Scattering in SrTiO3 and KTaO3. Phys. Rev. Lett. 1968, 21, 16–20. [Google Scholar] [CrossRef]
  7. Cowley, R.A. Lattice Dynamics and Phase Transitions of Strontium Titanate. Phys. Rev. 1964, 134, A981–997. [Google Scholar] [CrossRef]
  8. Müller, K.A.; Burkard, H. “SrTiO3 An Intrinsic Quantum Paraelectric below 4 K,”. Physical Review B 1979, 19, 3593–3602. [Google Scholar] [CrossRef]
  9. Scott, J.F.; Ledbetter, H. Interpretation of Elastic Anomalies in SrTiO3 at 37 K. Z. Phys. B 1997, 104, 635–639. [Google Scholar] [CrossRef]
  10. Migoni, R.; Bäuerle, D.; Bilz, H. Origin of Raman Scattering and Ferroelectricity in Oxidic Perovskites. Phys. Rev. Lett. 1979, 37, 1155–1159. [Google Scholar] [CrossRef]
  11. Bilz, H.; Benedek, G.; Bussmann-Holder, A. Theory of ferroelectricity: The polarizability model. Phys. Rev. B 1987, 35, 4840–4849. [Google Scholar] [CrossRef] [PubMed]
  12. Bussmann-Holder, A. The polarizability model for ferroelectricity in perovskite oxides. J. Phys.: Cond. Mat. 2012, 24, 273202. [Google Scholar] [CrossRef] [PubMed]
  13. Bussmann-Holder, A. A simple recipe to calculate the thermal conductivity of anharmonic crystals: the case of SrTiO3. Ferroelectrics 2019, 553(1), 26–35. [Google Scholar] [CrossRef]
  14. Cordero, F.; Trequattrini, F.; da Silva, P.S., Jr.; Venet, M.; Aktas, O.; Salje, E.K.H. Elastic precursor effects during Ba1−xSrxTiO3 ferroelastic phase transitions. Phys. Rev. Res. 2023, 5, 013121. [Google Scholar] [CrossRef]
  15. Roleder, K.; Bussmann-Holder, A.; Górny, M.; Szot, K.; Glazer, A.M. Precursor dynamics to the structural instability in SrTiO3. Phase Transitions 2012, 85(11), 939–948. [Google Scholar] [CrossRef]
  16. A. Bussmann-Holder, H. Beige, and G. Völkel, Precursor effects, broken local symmetry, and coexistence of order-disorder and displacive dynamics in perovskite ferroelectrics. Phys. Rev. B 2009, 79, 184111. [CrossRef]
  17. Salje, E.K.H.; Aktas, O.; Carpenter, M.A.; Laguta, V.V.; Scott, J.F. Domains within Domains and Walls within Walls: Evidence for Polar Domains in Cryogenic SrTiO3. Phys. Rev. Lett. 2013, 111, 247603. [Google Scholar] [CrossRef]
  18. Kityk, A.V.; Schranz, W.; Sondergeld, P.; Havlik, D.; Salje, E.K.H.; Scott, J.F. Low-frequency superelasticity and nonlinear elastic behavior of SrTiO3 crystals. Phys. Rev. B 2000, 61, 946–956. [Google Scholar] [CrossRef]
  19. Müller, K.A.; Berlinger, W. Static Critical Exponents at Structural Phase Transitions. Phys. Rev. Lett. 1971, 26, 13–17. [Google Scholar] [CrossRef]
  20. Salje, E.K.H.; Gallardo, M.C.; Jimenez, J.; Romero, F.J.; del Cerro, J. The cubic-tetragonal phase transition in strontium titanate: excess specific heat measurements and evidence for a near-tricritical, mean field type transition mechanism. J. Phys.: Cond. Mat. 1998, 10(25), 5535–5543. [Google Scholar] [CrossRef]
  21. Geday, M.A.; Glazer, A.M. Birefringence of SrTiO3 at the ferroelastic phase transition. J. Phys.: Condens. Matter 2004, 16, 3303–3310. [Google Scholar] [CrossRef]
  22. Fauqué, B.; Bourges, Ph.; Subedi, A.; Behnia, K.; Baptiste, B.; Roessli, B.; Fennell, T.; Raymond, S.; Steffens, P. Mesoscopic fluctuating domains in strontium titanate. Phys. Rev. B 2022, 106, L14030. [Google Scholar] [CrossRef]
  23. Teng, M.K.; Balkanski, M.; Massot, M.; Ziolkiewicz, M.K. Optical Phonon Analysis in the AvBVICVII Compounds physica status solidi (b). 1974, 62, 173–182. [Google Scholar]
  24. Gryaznov, D.; Blokhin, E.; Sorokine, A.; Kotomin, E.A.; Evarestov, R.A.; Bussmann-Holder, A.; Maier, J. A Comparative Ab Initio Thermodynamic Study of Oxygen Vacancies in ZnO and SrTiO3: Emphasis on Phonon Contribution. The Journal of Physical Chemistry 2013, C 117, 13776–13784. [Google Scholar] [CrossRef]
  25. Jaoui, A.; et al. Glasslike thermal conductivity and narrow insulating gap of EuTiO3. Phys. Rev. Mat. 2023, 7, 094604. [Google Scholar] [CrossRef]
  26. Martelli, V.; Jiménez, J.L.; Continentino, M.; Baggio-Saitovitch, E.; Behnia, K. Thermal Transport and Phonon Hydrodynamics in Strontium Titanate. Phys. Rev. Lett. 2018, 120, 125901. [Google Scholar] [CrossRef] [PubMed]
  27. Steigmeier, E. F. Field Effect on the Cochran Modes in SrTiO3 and KTaO3. Phys. Rev. 1968, 168, 523–530. [Google Scholar] [CrossRef]
  28. Omini, M.; and Sparavigna, A. Beyond the isotropic-model approximation in the theory of thermal conductivity. Phys. Rev. B. 1996, 53(14), 9064–9073. [Google Scholar] [CrossRef] [PubMed]
  29. Omini, M.; Sparavigna, A. Heat transport in dielectric solids with diamond structure. Nuovo Cimento D. 1997, 19, 1537–1564. [Google Scholar]
  30. D. A. Broido, A. Ward, and N. Mingo, Lattice thermal conductivity of silicon from empirical interatomic potentials. Phys. Rev. B. 2005, 72 (1), 014308. [CrossRef]
  31. Lazar, I.; Szot, K.; Roleder, K. Influence of Defects-Induced Stresses on Birefringence in SrTiO3 Single Crystals. Crystals 2023, 13, 985. [Google Scholar] [CrossRef]
  32. Kustov, S.; Liubimova, I.; Salje, E.K.H. Domain Dynamics in Quantum-Paraelectric SrTiO3. Phys. Rev. Lett. 2020, 124, 016801. [Google Scholar]
Figure 1. (left) Derivative of the transverse acoustic mode with respect to momentum q. (right) Derivative of the transverse optic mode with respect to momentum q for multiple temperatures as indicated by the different color.
Figure 1. (left) Derivative of the transverse acoustic mode with respect to momentum q. (right) Derivative of the transverse optic mode with respect to momentum q for multiple temperatures as indicated by the different color.
Preprints 89376 g001
Figure 2. Size of polar (black) and elastically (red) distorted clusters as a function of temperature. The inset shows the same dependence with subtracted background as marked by red and black horizontal lines. The sizes are derived from the inverse momentum values a = 1/qc as defined in the text. Since these values are derived from an isotropic three dimensional integration in q space, the related objects seem to have a bubble-type shape. This changes when anisotropic, but ill defined integration is used which yields cigar shaped domains.
Figure 2. Size of polar (black) and elastically (red) distorted clusters as a function of temperature. The inset shows the same dependence with subtracted background as marked by red and black horizontal lines. The sizes are derived from the inverse momentum values a = 1/qc as defined in the text. Since these values are derived from an isotropic three dimensional integration in q space, the related objects seem to have a bubble-type shape. This changes when anisotropic, but ill defined integration is used which yields cigar shaped domains.
Preprints 89376 g002
Figure 3. Elastic and polar domain sizes as a function of temperature for low temperatures. The dashed vertical lines indicate the different regions discussed in the text.
Figure 3. Elastic and polar domain sizes as a function of temperature for low temperatures. The dashed vertical lines indicate the different regions discussed in the text.
Preprints 89376 g003
Figure 4. Temperature dependence of the squared soft modes of STO. Red lines are guides to the eye.
Figure 4. Temperature dependence of the squared soft modes of STO. Red lines are guides to the eye.
Preprints 89376 g004
Figure 5. Temperature dependence of the thermal conductivity of STO in the range 2-300K. The inset displays the temperature regime close to the cubic-to-tetragonal phase transition.
Figure 5. Temperature dependence of the thermal conductivity of STO in the range 2-300K. The inset displays the temperature regime close to the cubic-to-tetragonal phase transition.
Preprints 89376 g005
Figure 6. The transverse optic and acoustic mode frequencies as a function of temperature.
Figure 6. The transverse optic and acoustic mode frequencies as a function of temperature.
Preprints 89376 g006
Figure 7. Inverse thermal conductivity κ as a function of temperature. The red line is a linear fit to the experiential data above 200 K with an intersection 1/ = 0 at -106 K. In the inset, Δ represents the difference between the experimental data and the red line. Δ disappears at approximately 160 K on heating which coincides with its disappearance of birefringence (see Figure 8).
Figure 7. Inverse thermal conductivity κ as a function of temperature. The red line is a linear fit to the experiential data above 200 K with an intersection 1/ = 0 at -106 K. In the inset, Δ represents the difference between the experimental data and the red line. Δ disappears at approximately 160 K on heating which coincides with its disappearance of birefringence (see Figure 8).
Preprints 89376 g007
Figure 8. Birefringence Δn as a function of temperature for a [100] oriented STO single crystal. The dashed lines indicate the temperature region where deviations from Landau's theory occur. The birefringence measurements were performed using a birefringence imaging system (Metripol, Oxford, UK). Technical details can be found in [31]. The images taken at 80 K show a single domain region (seen as a homogeneous shadowed rectangle of 190 × 140 µm2 size) within a region with a dense domain structure. Δn values versus temperature were calculated for these rectangles.
Figure 8. Birefringence Δn as a function of temperature for a [100] oriented STO single crystal. The dashed lines indicate the temperature region where deviations from Landau's theory occur. The birefringence measurements were performed using a birefringence imaging system (Metripol, Oxford, UK). Technical details can be found in [31]. The images taken at 80 K show a single domain region (seen as a homogeneous shadowed rectangle of 190 × 140 µm2 size) within a region with a dense domain structure. Δn values versus temperature were calculated for these rectangles.
Preprints 89376 g008
Disclaimer/Publisher’s Note: The statements, opinions and data contained in all publications are solely those of the individual author(s) and contributor(s) and not of MDPI and/or the editor(s). MDPI and/or the editor(s) disclaim responsibility for any injury to people or property resulting from any ideas, methods, instructions or products referred to in the content.
Copyright: This open access article is published under a Creative Commons CC BY 4.0 license, which permit the free download, distribution, and reuse, provided that the author and preprint are cited in any reuse.
Prerpints.org logo

Preprints.org is a free preprint server supported by MDPI in Basel, Switzerland.

Subscribe

Disclaimer

Terms of Use

Privacy Policy

Privacy Settings

© 2026 MDPI (Basel, Switzerland) unless otherwise stated